Temporal Variations of Soil Organic Carbon and pH at Landscape Scale and the Implications for Cropping Intensity in Rice-Based Cropping Systems
Abstract
1. Introduction
2. Materials and Methods
2.1. Study Area Description
2.2. Soil Legacy Data, Cropping Intensity and Fertilizer
2.3. Statistical Analysis
3. Results
3.1. Soil Organic Carbon (SOC)
3.1.1. Spatial Pattern of SOC in the Physiography and Land Types
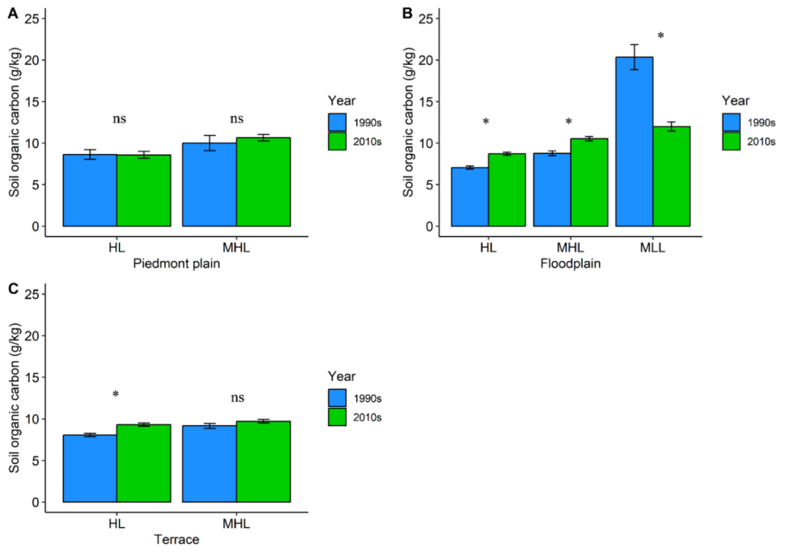
3.1.2. Temporal Changes in SOC and Effects of Physiography and Land Types
3.2. Soil pH
3.2.1. Spatial Pattern of Soil pH in the Physiography and Land Types
3.2.2. Temporal Changes in Soil pH and Effects of Physiography and Land Types
3.2.3. Comparing Soil pH Categories in the 1990s and 2010s
3.3. Trend in Cropping Intensity and Fertilizer Use over Time
4. Discussion
4.1. Geomorphological Setting and Effect of Land Types on SOC
4.2. Potential Influence of Cropping Intensity on SOC over Time
4.3. Soil pH as Affected by Physiography, Land Type and Agriculture Intensification over Time
4.4. Temporal Variation of Temperature and Rainfall in Dinajpur
5. Conclusions
Supplementary Materials
Author Contributions
Funding
Acknowledgments
Conflicts of Interest
References
- Yang, T.; Siddique, K.H.M.; Liu, K. Cropping systems in agriculture and their impact on soil health-A review. Glob. Ecol. Conserv. 2020, 23, e01118. [Google Scholar] [CrossRef]
- Kumar, V.; Jat, H.S.; Sharma, P.C.; Balwinder, S.; Gathala, M.K.; Malik, R.K.; Kamboj, B.R.; Yadav, A.K.; Ladha, J.K.; Raman, A.; et al. Can productivity and profitability be enhanced in intensively managed cereal systems while reducing the environmental footprint of production? Assessing sustainable intensification options in the breadbasket of India. Agric. Ecosyst. Environ. 2018, 252, 132–147. [Google Scholar] [CrossRef] [PubMed]
- Liu, X.; Shi, H.; Bai, Z.; Liu, X.; Yang, B.; Yan, D. Assessing soil acidification of croplands in the poyang lake basin of China from 2012 to 2018. Sustainability 2020, 12, 3072. [Google Scholar] [CrossRef]
- Ou, Y.; Rousseau, A.N.; Wang, L.; Yan, B. Spatio-temporal patterns of soil organic carbon and pH in relation to environmental factors—A case study of the Black Soil Region of Northeastern China. Agric. Ecosyst. Environ. 2017, 245, 22–31. [Google Scholar] [CrossRef]
- Minasny, B.; Hong, S.Y.; Hartemink, A.E.; Kim, Y.H.; Kang, S.S. Soil pH increase under paddy in South Korea between 2000 and 2012. Agric. Ecosyst. Environ. 2016, 221, 205–213. [Google Scholar] [CrossRef]
- Marchant, B.P.; Crawford, D.M.; Robinson, N.J. What can legacy datasets tell us about soil quality trends? Soil acidity in Victoria. IOP Conf. Ser. Earth Environ. Sci. 2015, 25, 012015. [Google Scholar] [CrossRef]
- Guo, X.; Li, H.; Yu, H.; Li, W.; Ye, Y.; Biswas, A. Drivers of spatio-temporal changes in paddy soil pH in Jiangxi Province, China from 1980 to 2010. Sci. Rep. 2018, 8, 2702. [Google Scholar] [CrossRef]
- Uddin, M.J.; Hooda, P.S.; Mohiuddin, A.S.M.; Smith, M.; Waller, M. Land inundation and cropping intensity influences on organic carbon in the agricultural soils of Bangladesh. Catena 2019, 178, 11–19. [Google Scholar] [CrossRef]
- Li, M.; Zhang, X.; Pang, G.; Han, F. The estimation of soil organic carbon distribution and storage in a small catchment area of the Loess Plateau. Catena 2013, 101, 11–16. [Google Scholar] [CrossRef]
- Telo da Gama, J.; Rato Nunes, J.; Loures, L.; Lopez Piñeiro, A.; Vivas, P. Assessing spatial and temporal variability for some edaphic characteristics of mediterranean rainfed and irrigated soils. Agronomy 2019, 9, 132. [Google Scholar] [CrossRef]
- Zhang, M.K.; Chang, Y.C. Changing characteristics of organic matter and pH of cultivated soils in Zhejiang province over the last 50 years. Huan Jing Ke Xue 2013, 34, 4399–4404. [Google Scholar] [PubMed]
- Qi, L.; Wang, S.; Zhuang, Q.; Yang, Z.; Bai, S.; Jin, X.; Lei, G. Spatial-temporal changes in soil organic carbon and pH in the liaoning province of China: A modeling analysis based on observational data. Sustainability 2019, 11, 3569. [Google Scholar] [CrossRef]
- Kiani, M.; Hernandez-Ramirez, G.; Quideau, S.; Smith, E.; Janzen, H.; Larney, F.J.; Puurveen, D. Quantifying sensitive soil quality indicators across contrasting long-term land management systems: Crop rotations and nutrient regimes. Agric. Ecosyst. Environ. 2017, 248, 123–135. [Google Scholar] [CrossRef]
- Lal, R. Soil carbon sequestration impacts on global climate change and food security. Science 2004, 304, 1623–1627. [Google Scholar] [CrossRef]
- Lal, R. Soil carbon sequestration to mitigate climate change. Geoderma 2004, 123, 1–22. [Google Scholar] [CrossRef]
- Guo, J.H.; Liu, X.J.; Zhang, Y.; Shen, J.L.; Han, W.X.; Zhang, W.F.; Christie, P.; Goulding, K.W.; Vitousek, P.M.; Zhang, F.S. Significant acidification in major Chinese croplands. Science 2010, 327, 1008–1010. [Google Scholar] [CrossRef]
- Haynes, R.J.; Naidu, R. Influence of lime, fertilizer and manure applications on soil organic matter content and soil physical conditions: A review. Nutr. Cycl. Agroecosyst. 1998, 51, 123–137. [Google Scholar] [CrossRef]
- Chadwick, O.A.; Chorover, J. The chemistry of pedogenic thresholds. Geoderma 2001, 100, 321–353. [Google Scholar] [CrossRef]
- Sultana, B.M.M.; Jahiruddin, M.; Rahman, M.M.; Siddique, M.N.E.; Sultana, J. Liming and soil amendments for acidity regulation and nutrients uptake by potato-mungbean-rice cropping pattern in the old himalayan piedmont plain. AJAHR 2019, 3, 1–15. [Google Scholar] [CrossRef]
- Tian, D.; Niu, S. A global analysis of soil acidification caused by nitrogen addition. Environ. Res. Lett. 2015, 10, 024019. [Google Scholar] [CrossRef]
- Ghimire, R.; Lamichhane, S.; Acharya, B.S.; Bista, P.; Sainju, U.M. Tillage, crop residue, and nutrient management effects on soil organic carbon in rice-based cropping systems: A review. J. Integr. Agric. 2017, 16, 1–15. [Google Scholar] [CrossRef]
- Lal, R. Soil carbon sequestration in China through agricultural intensification, and restoration of degraded and desertified ecosystems. Land Degrad. Dev. 2002, 13, 469–478. [Google Scholar] [CrossRef]
- Song, G.; Li, L.; Pan, G.; Zhang, Q. Topsoil organic carbon storage of China and its loss by cultivation. Biogeochemistry 2005, 74, 47–62. [Google Scholar] [CrossRef]
- Xie, Z.; Zhu, J.; Liu, G.; Cadisch, G.; Hasegawa, T.; Chen, C.; Sun, H.; Tang, H.; Zeng, Q. Soil organic carbon stocks in China and changes from 1980s to 2000s. Glob. Chang. Biol. 2007, 13, 1989–2007. [Google Scholar] [CrossRef]
- Hossain, M.A.S.; Siddique, M.N.A. Online fertilizer recommendation system (OFRS): A step towards precision agriculture and optimized fertilizer usage by smallholder farmers in Bangladesh. EJGEO 2020, 1, 1–9. [Google Scholar] [CrossRef]
- Chen, S.; Arrouays, D.; Angers, D.A.; Martin, M.P.; Walter, C. Soil carbon stocks under different land uses and the applicability of the soil carbon saturation concept. Soil Tillage Res. 2019, 188, 53–58. [Google Scholar] [CrossRef]
- Lehmann, A.; Stahr, K. The potential of soil functions and planner-oriented soil evaluation to achieve sustainable land use. J. Soils Sediments 2010, 10, 1092–1102. [Google Scholar] [CrossRef]
- Wiesmeier, M.; Urbanski, L.; Hobley, E.; Lang, B.; von Lützow, M.; Marin-Spiotta, E.; van Wesemael, B.; Rabot, E.; Ließ, M.; Garcia-Franco, N.; et al. Soil organic carbon storage as a key function of soils-A review of drivers and indicators at various scales. Geoderma 2019, 333, 149–162. [Google Scholar] [CrossRef]
- Skinner, R.J.; Todd, A.D. Twenty-five years of monitoring pH and nutrient status of soils in England and Wales. Soil Use Manag. 1998, 14, 162–169. [Google Scholar] [CrossRef]
- Bangladesh Bureau of Statistics (BBS). Zila Statistics 2011; Bangladesh Bureau of Statistics (BBS): Dhaka, Bangladesh, 2011. [Google Scholar]
- Bangladesh Bureau of Statistics (BBS). Agricultural Yearbook 2015; Bangladesh Bureau of Statistics: Dhaka, Bangladesh, 2015. [Google Scholar]
- Huq, S.I.S.; Shoaib, J.M. The Soils of Bangladesh; Springer: Berlin/Heidelberg, Germany, 2016. [Google Scholar]
- Hassan, A.A.; Jahiruddin, M.; Shamsun, N.; Jalal, U.S.; Abdul, L.S.; Monowar, K.K.; Bokhtiar, S.M.; Quddus, A.; Nazmul, H.; Sultana, R.; et al. FRG. Fertilizer Recommendation Guide; Bangladesh Agricultural Research Council: Dhaka, Bangladesh, 2012. [Google Scholar]
- Jackson, M.L. Soil Chemical Analysis; Prentice Hall Inc: Englewood Cliffs, NJ, USA, 1976. [Google Scholar]
- Hounkpatin, K.O.L.; Schmidt, K.; Stumpf, F.; Forkuor, G.; Behrens, T.; Scholten, T.; Amelung, W.; Welp, G. Predicting reference soil groups using legacy data: A data pruning and Random Forest approach for tropical environment (Dano catchment, Burkina Faso). Sci. Rep. 2018, 8, 9959. [Google Scholar] [CrossRef]
- DAO—District Agriculture Office, Dinajpur. Cropping Intensity and Fertilizer Data of Dinajpur District; Departmnet of Agriculture Extension: Khamarbari, Dinajpur, 2019; p. 5200. [Google Scholar]
- Brammer, H. The Geography of the Soils of Bangladesh; The University Press Limited: Dhaka, Bangladesh, 1996. [Google Scholar]
- Hossain, M.B. SPGR Sub-Project Completion Report. In Coordinated Sub-Project on Carbon Sequestration in Soils of Bangladesh (BINA Component); Soil Science Division Bangladesh Institute of Nuclear Agriculture: Mymensingh, Bangladesh, 2014; pp. 1–50. [Google Scholar]
- Saha, P.R.; Khatun, M.; Hossain, A.; Saleque, M. Bangladesh journal of agricultural research. Assess. Soil Carbon Stock Some Sel. Agroecol. Zones Bangladesh 2013, 38, 625–635. [Google Scholar]
- Chaplot, V.; Cooper, M. Soil aggregate stability to predict organic carbon outputs from soils. Geoderma 2015, 243, 205–213. [Google Scholar] [CrossRef]
- Musinguzi, P.; Tenywa, J.S.; Ebanyat, P.; Tenywa, M.M.; Mubiru, D.N.; Basamba, T.A.; Leip, A. Soil organic carbon thresholds and nitrogen management in tropical agroecosystems: Concepts and prospects. J. Sustain. Dev. 2013, 6. [Google Scholar] [CrossRef]
- Lal, R. Soil erosion and the global carbon budget. Environ. Int. 2003, 29, 437–450. [Google Scholar] [CrossRef]
- Ritchie, J.C.; McCarty, G.W.; Venteris, E.R.; Kaspar, T.C. Soil and soil organic carbon redistribution on the landscape. Geomorphology 2007, 89, 163–171. [Google Scholar] [CrossRef]
- Quinton, J.N.; Govers, G.; van Oost, K.; Bardgett, R.D. The impact of agricultural soil erosion on biogeochemical cycling. Nat. Geosci. 2010, 3, 311–314. [Google Scholar] [CrossRef]
- Rahman, S. Six decades of agricultural land use change in Bangladesh: Effects on crop diversity, productivity, food availability and the environment, 1948–2006. Singap. J. Trop. Geogr. 2010, 31, 254–269. [Google Scholar] [CrossRef]
- Sultana, J.; Siddique, M.; Abdullah, M. Fertilizer recommendation for agriculture: Practice, practicalities and adaptation in Bangladesh and The Netherlands. Int. J. Bus. Manag. Soc. Res. 2015, 1, 21–40. [Google Scholar] [CrossRef]
- Karmakar, S. Patterns of climate change and its impact in northwestern Bangladesh. J. Eng. Sci. 2019, 10, 33–48. [Google Scholar]










| Variables | df | SOC | |
|---|---|---|---|
| F | P | ||
| Spatial | |||
| Physiography | 2 | 2.48 | 0.084ns |
| Land type | 2 | 77.30 | 0.000 *** |
| Physiography: Land type | 2 | 5.61 | 0.004 ** |
| Temporal | |||
| Year (1990s, 2010s) | 1 | 75.00 | 0.000 *** |
| Year: Physiography | 2 | 4.54 | 0.011 * |
| Year: Land type | 2 | 15.58 | 0.000 *** |
| Year: Physiography: Land type | 2 | 0.83 | 0.435ns |
| Variables | pH | ||
|---|---|---|---|
| df | F | P | |
| Spatial | |||
| Physiography | 2 | 25.63 | 0.000 *** |
| Land type | 2 | 4.95 | 0.007 ** |
| Physiography: Land type | 2 | 5.01 | 0.007 ** |
| Temporal | |||
| Year (1990s, 2010s) | 1 | 128.31 | 0.000 *** |
| Year: Physiography | 2 | 4.61 | 0.010 * |
| Year: Land type | 2 | 0.48 | 0.618ns |
| Year: Physiography: Land type | 2 | 0.47 | 0.628ns |
Publisher’s Note: MDPI stays neutral with regard to jurisdictional claims in published maps and institutional affiliations. |
© 2020 by the authors. Licensee MDPI, Basel, Switzerland. This article is an open access article distributed under the terms and conditions of the Creative Commons Attribution (CC BY) license (http://creativecommons.org/licenses/by/4.0/).
Share and Cite
Siddique, M.N.E.A.; Lobry de Bruyn, L.; Guppy, C.N.; Osanai, Y. Temporal Variations of Soil Organic Carbon and pH at Landscape Scale and the Implications for Cropping Intensity in Rice-Based Cropping Systems. Agronomy 2021, 11, 59. https://doi.org/10.3390/agronomy11010059
Siddique MNEA, Lobry de Bruyn L, Guppy CN, Osanai Y. Temporal Variations of Soil Organic Carbon and pH at Landscape Scale and the Implications for Cropping Intensity in Rice-Based Cropping Systems. Agronomy. 2021; 11(1):59. https://doi.org/10.3390/agronomy11010059
Chicago/Turabian StyleSiddique, Md. Noor E. Alam, Lisa Lobry de Bruyn, Chris N. Guppy, and Yui Osanai. 2021. "Temporal Variations of Soil Organic Carbon and pH at Landscape Scale and the Implications for Cropping Intensity in Rice-Based Cropping Systems" Agronomy 11, no. 1: 59. https://doi.org/10.3390/agronomy11010059
APA StyleSiddique, M. N. E. A., Lobry de Bruyn, L., Guppy, C. N., & Osanai, Y. (2021). Temporal Variations of Soil Organic Carbon and pH at Landscape Scale and the Implications for Cropping Intensity in Rice-Based Cropping Systems. Agronomy, 11(1), 59. https://doi.org/10.3390/agronomy11010059

