Analytical Concentrations of Some Elements in Seeds and Crude Extracts from Aesculus hippocastanum, by ICP-OES Technique
Abstract
1. Introduction
2. Materials and Methods
2.1. Samples Preparation and Treatment
2.2. Mineralization of the Samples
2.3. ICP-OES Determinations
2.4. PCA Analysis
3. Results
- flours from native A. hippocastanum horse chestnuts collected from the 5 trees of each group for the two different species (AHP and AHH);
- the ashes obtained from the flour samples;
- TISS fractions obtained by hydrothermal treatment of the seeds flour;
- samples of crude extract prepared by us, representative of the AHP and AHH seeds populations;
- a commercial sample (COMM) of crude extract or mother tincture, an herbal product purchased in 2016, with similar overall characteristics, voluntarily anonymized.
3.1. Assessing Laboratory Performances for ICP-OES Measurements
3.2. Flours Samples
- it is possible to detect a fair continuity of the measured values for each group, in the time window considered, and in accordance with the values measured in 2004 [10];
- the average values of THC% (Total Humidity Content, measured as a mass loss after heating to 105 °C) are always greater for the AHP group by an amount Δm% in the range 1.2 ≤ Δm% ≤ 1.4 compared to the AHH group;
- the minimum and maximum values of THC% were detected in the years 2018 and 2017, respectively, for both groups of genotypes. Obviously, these fluctuations are related to the site’s meteoclimatic trend.
3.3. Ashes and TISS
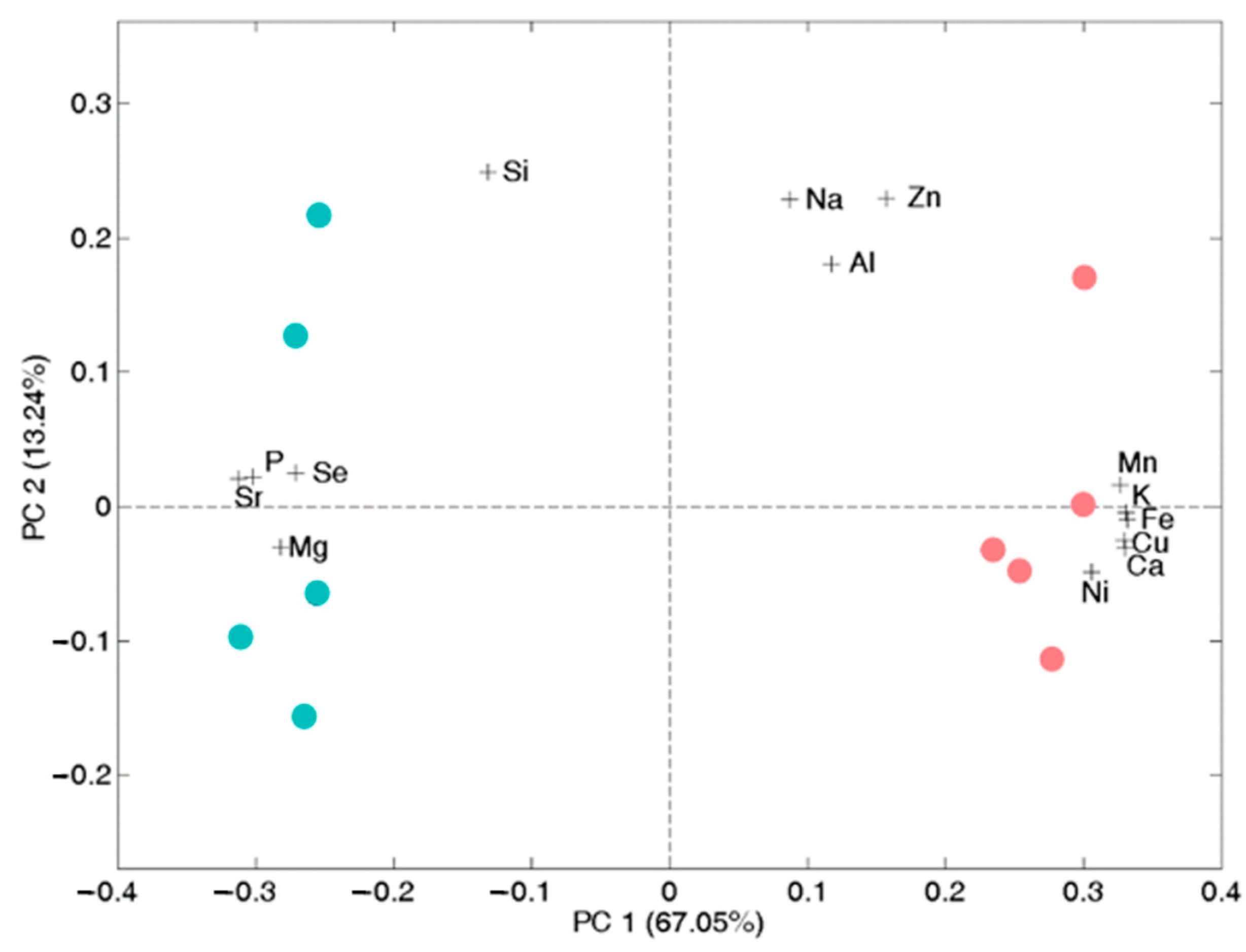
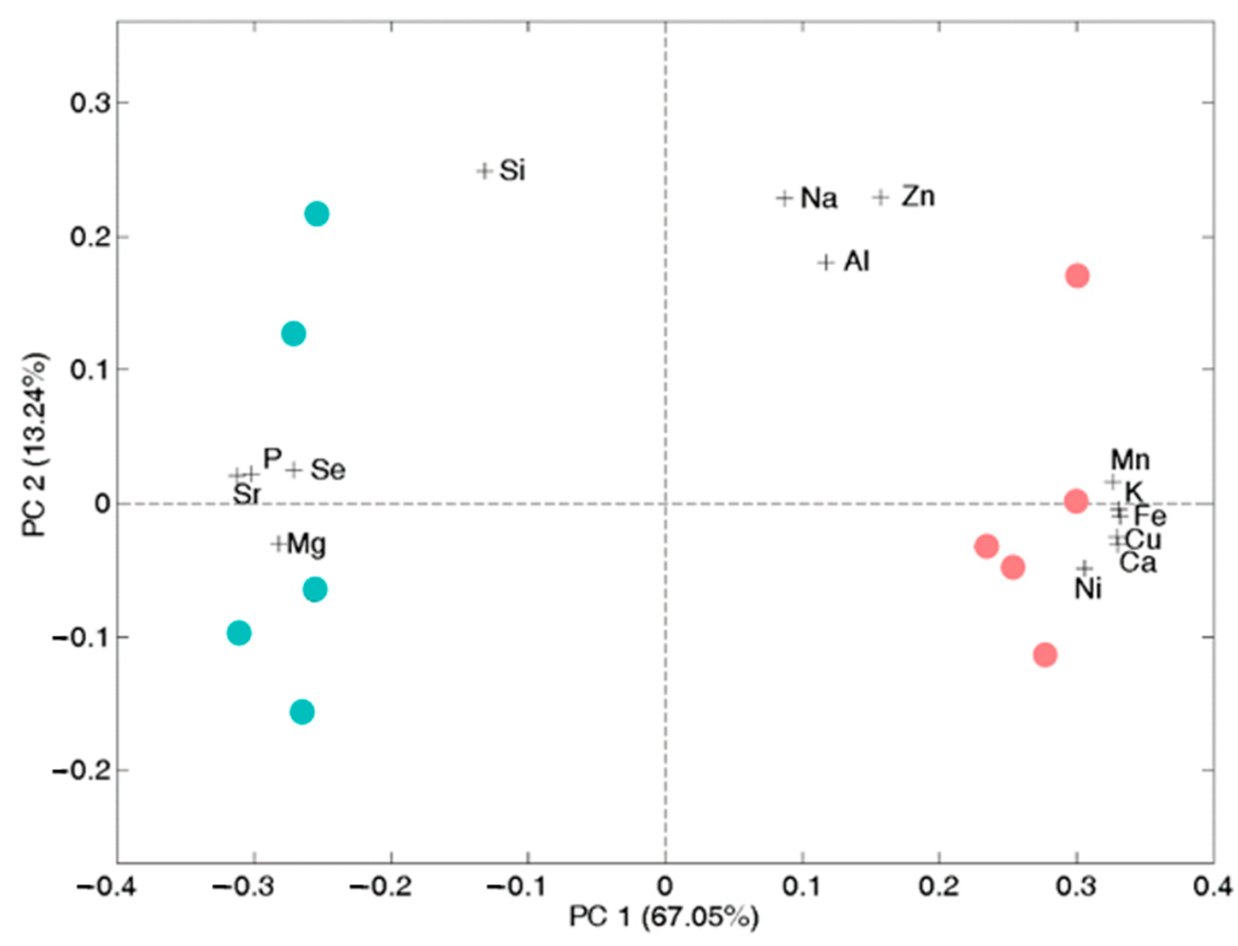
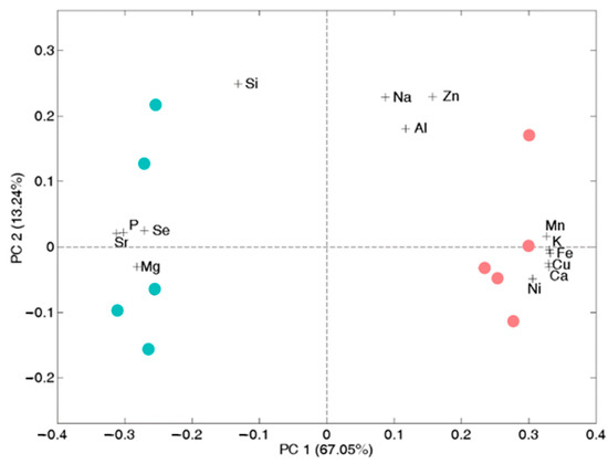
3.4. Statistical Analysis
3.5. Crude Extracts Analysis
3.6. Soil Analysis
4. Discussion
5. Conclusions
- from the chemical point of view, it is necessary to collect more information about their different physico-chemical variability and their composition in order to increase the database of knowledge about these natural materials, even if in presence of their apparent marginality.
- from the agronomic and botanical point of view, to better understand the specific taxa, or to consolidate the background about other features and relevant topics to these disciplines [34].
- from the pharmacological–nutraceutical point of view, to eventually establish specific applications for each variety, if they exist to some extent [24,25]. This is not a negligible fact a priori as it could identify applications to promote health and prevent diseases [35,36] or establish the presence of adverse effects, allergic reactions, and relative toxicity for each species, respectively [37,38].
Supplementary Materials
Author Contributions
Funding
Institutional Review Board Statement
Informed Consent Statement
Data Availability Statement
Conflicts of Interest
References
- Salinas, F.M.; Vázquez, L.; Gentilini, M.V.; O’Donohoe, A.; Regueira, E.; Jodar, M.S.N.; Viegas, M.; Michelini, F.M.; Hermida, G.; Alché, L.E.; et al. Aesculus hippocastanum L. seed extract shows virucidal and antiviral activities against respiratory syncytial virus (RSV) and reduces lung inflammation in vivo. Antivir. Res. 2019, 164, 1–11. [Google Scholar] [CrossRef] [PubMed]
- Sirtori, C.M. Aescin: Pharmacology, pharmacokinetics and therapeutic profile. Pharmacol. Res. 2001, 44, 183–193. [Google Scholar] [CrossRef]
- Newall, C.A.; Anderson, L.A.; Phillipson, J.D. Herbal Medicines. A guide for Health-Care Professionals; The Pharmaceutical Press: London, UK, 1996. [Google Scholar]
- Leung, A.Y.; Foster, S. Encyclopaedia of Common Natural Ingredients Used in Food, Drugs and Cosmetics, 2nd ed.; J. Wiley & Sons, Inc.: New York, NY, USA, 1996. [Google Scholar]
- Jarzębski, M.; Smułek, W.; Siejak, P.; Kobus-Cisowska, J.; Pieczyrak, D.; Baranowska, H.M.; Jakubowicz, J.; Sopata, M.; Białopiotrowicz, T.; Kaczorek, E. Aesculus hippocastanum L. extract as a potential emulsion stabilizer. Food Hydrocoll. 2019, 97, 105237. [Google Scholar] [CrossRef]
- Zhang, Z.; Li, S.; Lian, X.Y. An overview of genus Aesculus L.: Ethnobotany, phytochemistry, and pharmacological activities. Pharm. Crop. 2010, 1, 24–51. [Google Scholar] [CrossRef]
- Deutsches Arzneibuch (DAB): Amtliche Ausgabe; Deutscher Apotheker Verlag: Stuttgart, Germany, 1997; ISBN 9783769221930.
- Farmacopea Italiana, (F.U.), 11th ed.; Istituto Poligrafico dello Stato: Roma, Italy, 2002.
- Blumenthal, M. The German Commission E Monograph system for phytomedicines: A model for regulatory reform in the United States. In Phytomedicines of Europe, 1st ed.; ACS Symposium Series; American Botanical Council: Austin, TX, USA, 1998; Volume 691, pp. 30–36. [Google Scholar]
- Baraldi, C.; Bodecchi, L.M.; Cocchi, M.; Durante, C.; Ferrari, G.; Foca, G.; Grandi, M.; Marchetti, A.; Tassi, L.; Ulrici, A. Chemical composition and characterisation of seeds from two varieties (pure and hybrid) of Aesculus hippocastanum. Food Chem. 2007, 104, 229–236. [Google Scholar] [CrossRef]
- Foca, G.; Ulrici, A.; Cocchi, M.; Durante, C.; Li Vigni, M.; Marchetti, A.; Sighinolfi, S.; Tassi, L. Seeds of Horse Chestnut (Aesculus hippocastanum L.) and Their Possible Utilization for Human Consumption. In Nuts & Seeds in Health and Disease Prevention; Preedy, V.R., Watson, R.R., Patel, V.B., Eds.; Elsevier Inc.: London, UK, 2011; pp. 653–661. [Google Scholar]
- Deli, J.; Matus, Z.; Toth, G. Comparative study on the carotenoid composition in the buds and flowers of different Aesculus species. Chromatographia 2000, 51, 179–182. [Google Scholar] [CrossRef]
- Konoshima, T.; Lee, K.H. Antitumor agents, 82. cytotoxic saponogenols from Aesculus hippocastanum. J. Nat. Prod. 1986, 49, 650–656. [Google Scholar] [CrossRef]
- Oda, K.; Matsuda, H.; Murakami, T.; Katayama, S.; Ohgitani, T.; Yoshikawa, M. Adjuvant and haemolytic activities of 47 saponins derived from medicinal and food plants. Biol. Chem. 2000, 381, 67–74. [Google Scholar] [CrossRef]
- Pittler, M.H.; Ernst, E. Horse-chestnut seed extract for chronic venous insufficiency. A criteria-based systematic review. Arch. Dermatol. 1998, 134, 1356–1360. [Google Scholar] [CrossRef]
- Bruneton, J. Pharmacognosy, Phytochemistry, Medicinal Plants; Lavoisier Publishing: Paris, France, 1996. [Google Scholar]
- Bombardelli, E.; Morazzoni, P.; Griffini, A. Aesculus hippocastanum L. Fitoterapia 1996, 67, 483–511. [Google Scholar]
- Facino, R.M.; Carini, M.; Stefani, R.; Aldani, G.; Saibene, L. Anti-elastase and anti-hyaluronidase activities of saponins and sapogenins from Hedera helix, Aesculus hippocastanum, and Ruscus aculeatus: Factors contributing to their efficacy in the treatment of venous insufficiency. Arch. Pharm. 1995, 328, 720–724. [Google Scholar] [CrossRef] [PubMed]
- AOAC–Official Methods of Analysis, 14th ed.; Association of Official Analytical Chemists: Arlington, VA, USA, 1984.
- Eastman, J.E.; Moore, C.O. Cold-Water-Soluble Granular Starch for Gelled Food Compositions. U.S. Patent 4,465,702, 14 August 1984. [Google Scholar]
- Wold, S.; Esbensen, K.; Geladi, P. Principal component analysis. Chemometr. Intell. Lab. Syst. 1987, 2, 37–52. [Google Scholar] [CrossRef]
- Čukanović, J.; Ninić-Todorović, J.; Ognjanov, V.; Mladenović, E.; Ljubojević, M.; Kurjakov, A. Biochemical composition of the horse chestnut seed (Aesculus hippocastanum L.). Arch. Biol. Sci. 2011, 63, 345–351. [Google Scholar] [CrossRef]
- Bisset, N.G. (Ed.) Herbal Drugs and Phytopharmaceuticals–A Handbook for Practice on a Scientific basis; Medpharm Scientific Publishers: Stuttgart, Germany, 1994. [Google Scholar]
- WHO (World Health Organization) Guidelines for Assessing Quality of Herbal Medicines with Reference to Contaminants and Residues, Switzerland; WHO: Geneva, Switzerland, 2007.
- EMA (European Medicines Agency)-Committee on Herbal Medicinal Products (HMPC/638244). Assessment Report on Aesculus hippocastanum L. Semen; EMA: Amsterdam, The Nederlands, 2020. [Google Scholar]
- Dudek-Makuch, M.; Studzińska-Sroka, E.; Korybalska, K.; Czepulis, N.; Łuczak, J.; Rutkowski, R.; Marczak, L.; Długaszewska, J.; Grabowska, K.; Stobiecki, M.; et al. Biological activity of Aesculus hippocastanum flower extracts on vascular endothelial cells cultured in vitro. Phytochem. Lett. 2019, 30, 367–375. [Google Scholar] [CrossRef]
- Olenovych, O. Effects of Aescusan on Fibrinolytic Plasma Activity in Patients with Hypothyroidism. Pharm. Crop. 2012, 3, 84–87. [Google Scholar] [CrossRef]
- Bonomo, M.G.; Cafaro, C.; Russo, D.; Calabrone, L.; Milella, L.; Saturnino, C.; Capasso, A.; Salzano, G. Antimicrobial activity, antioxidant properties and phytochemical screening of Aesculus hippocastanum mother tincture against food-borne bacteria. Lett. Drug Des. Discov. 2020, 17. [Google Scholar] [CrossRef]
- Wang, Y.; Xu, X.; Zhao, P.; Tong, B.; Wei, Z.; Dai, Y. Escin Ia suppresses the metastasis of triple-negative breast cancer by inhibiting epithelial-mesenchymal transition via down-regulating LOXL2 expression. Oncotarget 2016, 7, 23684–23699. [Google Scholar] [CrossRef]
- Čukanović, J.; Jadranin, M.; Ljubojević, M.; Mladenović, E.; Kostić, S. Horse chestnut (Aesculus hippocastanum L.) seed fatty acids, flavonoids and heavy metals plasticity to different urban environments. Biochem. System. Ecol. 2020, 89, 103980. [Google Scholar] [CrossRef]
- Kedzierski, B.; KukulaKoch, W.; Widelski, J.; Glowniak, K. Impact of harvest time of Aesculus hippocastanum seeds on the composition, antioxidant capacity and total phenolic content. Ind. Crop. Prod. 2016, 86, 68–72. [Google Scholar] [CrossRef]
- Gullón, P.; Gullón, B.; Muñiz-Mouro, A.; Lú-Chau, T.A.; Eibes, G. Valorization of horse chestnut burs to produce simultaneously valuable compounds under a green integrated biorefinery approach. Sci. Total Environ. 2020, 730, 139143. [Google Scholar] [CrossRef]
- Owczarek, A.; Olszewska, M.A. Development and validation of UHPLC-PDA method for simultaneous determination of bioactive polyphenols of horse-chestnut bark using numerical optimization with MS Excel Solver. J. Pharm. Biomed. Anal. 2020, 190, 113544. [Google Scholar] [CrossRef] [PubMed]
- Kapusta, I.; Janda, B.; Szajwaj, B.; Stochmal, A.; Piacente, S.; Pizza, C.; Franceschi, F.; Franz, C.; Oleszek, W. Flavonoids in horse chestnut (Aesculus hippocastanum) seeds and powdered waste water byproducts. J. Agric. Food Chem. 2007, 55, 8485–8490. [Google Scholar] [CrossRef] [PubMed]
- Varinská, L.; Fáber, L.; Kello, M.; Petrovová, E.; Balážová, L.; Solar, P.; Čoma, M.; Urdzík, P.; Mojžiš, J.; Švajdlenka, E.; et al. β-Escin effectively modulates HUVECs proliferation and tube formation. Molecules 2018, 23, 197. [Google Scholar] [CrossRef] [PubMed]
- Kucukkurt, I.; Ince, S.; Keles, H.; Kupeli Akkol, E.; Avci, G.; Yesilada, E.; Bacak, E. Beneficial effects of Aesculus hippocastanum L. seed extract on the body’s own antioxidant defense system on subacute administration. J. Ethnopharmacol. 2010, 129, 18–22. [Google Scholar] [CrossRef]
- Lanzotti, V.; Termolino, P.; Dolci, M.; Curir, P. Paviosides A–H, eight new oleane type saponins from Aesculus pavia with cytotoxic activity. Bioorganic Med. Chem. 2012, 20, 3280–3286. [Google Scholar] [CrossRef]
- Ciftci, G.A.; Iscan, A.; Kutlu, M. Escin reduces cell proliferation and induces apoptosis on glioma and lung adenocarcinoma cell lines. Cytotechnology 2015, 67, 893–904. [Google Scholar] [CrossRef]




| Year 2016 | Year 2017 | Year 2018 | Year 2019 | Soil Samples Year 2016 | |
|---|---|---|---|---|---|
| N° of trees–specimen AHP | 5 | 5 | 5 | 5 | 5 |
| N° of trees–specimen AHH | 5 | 5 | 5 | 5 | 5 |
| N° of independent replicas for each specimen tree, or soil sample | 2 + 1 spiked + 1 fortified | 2 + 1 spiked + 1 fortified | 2 + 1 spiked + 1 fortified | 2 + 1 spiked + 1 fortified | 1 + 1 spiked + 1 fortified |
| Total n° of replicas for each variety (AHP and AHH) | 10 + 5 spiked + 5 fortified | 10 + 5 spiked + 5 fortified | 10 + 5 spiked + 5 fortified | 10 + 5 spiked + 5 fortified | 5 + 5 spiked + 5 fortified |
| Crude extracts (starting from floured mixed seeds of each variety) | AHP : 3 + 1 spiked AHH : 3 + 1 spiked COMM : 3 + 1 spiked | AHP : 3 + 1 spiked AHH : 3 + 1 spiked | AHP : 3 + 1 spiked AHH : 3 + 1 spiked | AHP : 3 + 1 spiked AHH : 3 + 1 spiked | |
| TISS (total independent samples for each variety); wet method | 5 + 1 spiked + 1 fortified | 5 + 1 spiked + 1 fortified | 5 + 1 spiked + 1 fortified | 5 + 1 spiked + 1 fortified | |
| Ashes (total independent samples for each variety); dry method | 5 + 1 spiked | 5 + 1 spiked | 5 + 1 spiked | 5 + 1 spiked |
| AHP | AHH | |
|---|---|---|
| Mass * (g) (min ÷ max) | 12.53 (9.38 ÷ 28.13) | 11.08 (8.51 ÷ 19.97) |
| N° of semen in 1 kg | 79.8 | 90.3 |
| Bark–crust (%) | 23.5 | 19.1 |
| Nub (%) | 76.5 | 80.9 |
| Shape | Typical, almost regular, egg or rounded flattened | Typical, almost irregular, flattened |
| 2016 | 2017 | 2018 | 2019 | ||
|---|---|---|---|---|---|
| AHP | THC% | 50.1 ± 0.7 | 50.9 ± 0.5 | 49.9 ± 0.9 | 50.5 ± 0.8 |
| hr % | 6.91 ± 0.31 | 6.77 ± 0.27 | 6.85 ± 0.36 | 6.68 ± 0.40 | |
| AHH | THC% | 49.5 ± 0.6 | 50.3 ± 0.6 | 49.2 ± 0.5 | 49.8 ± 0.7 |
| hr % | 6.56 ± 0.29 | 6.49 ± 0.32 | 6.40 ± 0.28 | 6.43 ± 0.35 | |
| Element | 2016 | 2017 | 2018 | 2019 |
|---|---|---|---|---|
| Al | 2.81 ± 0.20 | 2.52 ± 0.15 | 2.65 ± 0.25 | 2.78 ± 0.21 |
| Ca | 48.8 ± 1.1 | 49.2 ± 0.9 | 46.7 ± 1.3 | 49.9 ± 1.4 |
| Cu | 3.45 ± 0.27 | 3.37 ± 0.34 | 3.62 ± 0.38 | 3.54 ± 0.36 |
| Fe | 80.0 ± 3.1 | 77.1 ± 2.2 | 78.6 ± 2.2 | 79.0 ± 2.8 |
| K | 1264 ± 31 | 1182 ± 52 | 1205 ± 66 | 1158 ± 76 |
| Mg | 73.3 ± 2.1 | 72.8 ± 1.3 | 71.8 ± 1.5 | 70.9 ± 1.5 |
| Mn | 1.16 ± 0.19 | 1.20 ± 0.11 | 1.09 ± 0.21 | 1.27 ± 0.22 |
| Na | 9.82 ± 1.16 | 8.97 ± 1.68 | 9.48 ± 0.88 | 9.04 ± 0.87 |
| Ni | 4.04 ± 0.74 | 4.50 ± 0.56 | 4.56 ± 0.75 | 4.42 ± 0.57 |
| P | 714 ± 41 | 727 ± 63 | 687 ± 61 | 708 ± 51 |
| Se | 0.026 ± 0.004 | 0.022 ± 0.007 | 0.023 ± 0.004 | 0.025 ± 0.006 |
| Si | 0.81 ± 0.09 | 0.88 ± 0.10 | 0.76 ± 0.09 | 0.83 ± 0.13 |
| Sr | 0.02 ± 0.01 | 0.02 ± 0.01 | 0.03 ± 0.02 | 0.02 ± 0.01 |
| Zn | 1.69 ± 0.08 | 1.56 ± 0.12 | 1.41 ± 0.19 | 1.54 ± 0.14 |
| Element | 2016 | 2017 | 2018 | 2019 |
|---|---|---|---|---|
| Al | 2.74 ± 0.15 | 2.76 ± 0.25 | 2.52 ± 0.15 | 2.81 ± 0.19 |
| Ca | 37.2 ± 1.4 | 37.5 ± 0.9 | 36.6 ± 1.9 | 34.1 ± 1.1 |
| Cu | 1.21 ± 0.08 | 1.13 ± 0.15 | 1.21 ± 0.12 | 1.36 ± 0.20 |
| Fe | 1.42 ± 0.18 | 1.53 ± 0.14 | 1.82 ± 0.30 | 1.62 ± 0.30 |
| K | 1035 ± 30 | 1072 ± 41 | 1024 ± 45 | 1014 ± 72 |
| Mg | 77.6 ± 1.6 | 77.8 ± 1.5 | 78.6 ± 1.2 | 79.7 ± 1.7 |
| Mn | 0.18 ± 0.03 | 0.22 ± 0.06 | 0.21 ± 0.08 | 0.20 ± 0.07 |
| Na | 9.47 ± 0.87 | 9.93 ± 1.02 | 9.68 ± 0.48 | 9.19 ± 0.89 |
| Ni | 1.57 ± 0.11 | 1.61 ± 0.12 | 1.34 ± 0.15 | 1.58 ± 0.29 |
| P | 807 ± 57 | 828 ± 54 | 819 ± 49 | 840 ± 55 |
| Se | 0.029 ± 0.004 | 0.025 ± 0.007 | 0.027 ± 0.004 | 0.030 ± 0.005 |
| Si | 0.89 ± 0.12 | 0.91 ± 0.15 | 0.90 ± 0.08 | 0.84 ± 0.14 |
| Sr | 0.08 ± 0.02 | 0.08 ± 0.02 | 0.09 ± 0.03 | 0.08 ± 0.02 |
| Zn | 1.33 ± 0.32 | 1.55 ± 0.31 | 1.28 ± 0.17 | 1.40 ± 0.23 |
| Element | 2016 | 2017 | 2018 | 2019 |
|---|---|---|---|---|
| Al | 2.62 ± 0.24 | 2.53 ± 0.33 | 2.51 ± 0.16 | 2.74 ± 0.29 |
| Ca | 46.28 ± 1.09 | 47.44 ± 1.12 | 48.59 ± 1.68 | 46.00 ± 1.15 |
| Cu | 3.25 ± 0.29 | 3.32 ± 0.23 | 3.49 ± 0.43 | 3.43 ± 0.32 |
| Fe | 78.09 ± 2.94 | 75.24 ± 1.98 | 74.19 ± 4.45 | 74.95 ± 3.04 |
| K | 1186 ± 57 | 1113 ± 74 | 1154 ± 62 | 1217 ± 55 |
| Mg | 69.95 ± 1.54 | 70.92 ± 2.53 | 70.79 ± 3.60 | 69.23 ± 2.27 |
| Mn | 1.14 ± 0.13 | 1.17 ± 0.11 | 1.03 ± 0.26 | 1.20 ± 0.19 |
| Na | 9.16 ± 0.94 | 9.40 ± 0.65 | 9.28 ± 0.87 | 8.92 ± 0.57 |
| Ni | 3.93 ± 0.60 | 4.31 ± 0.47 | 4.37 ± 0.42 | 4.26 ± 0.49 |
| P | 702 ± 44 | 711 ± 32 | 675 ± 52 | 718 ± 53 |
| Se | 0.019 ± 0.004 | 0.020 ± 0.003 | 0.017± 0.005 | 0.014 ± 0.003 |
| Si | 0.79 ± 0.11 | 0.80 ± 0.09 | 0.71 ± 0.07 | 0.76 ± 0.09 |
| Sr | 0.01 ± 0.01 | 0.02 ± 0.01 | 0.03 ± 0.02 | 0.02 ± 0.01 |
| Zn | 1.47 ± 0.17 | 1.50 ± 0.13 | 1.29 ± 0.21 | 1.32 ± 0.16 |
| Element | 2016 | 2017 | 2018 | 2019 |
|---|---|---|---|---|
| Al | 2.61 ± 0.27 | 2.76 ± 0.25 | 2.43 ± 0.21 | 2.71 ± 0.30 |
| Ca | 35.57 ± 1.39 | 36.16 ± 2.07 | 35.64 ± 1.97 | 33.93 ± 1.28 |
| Cu | 1.19 ± 0.11 | 1.17 ± 0.13 | 1.13 ± 0.11 | 1.32 ± 0.21 |
| Fe | 1.29 ± 0.19 | 1.40 ± 0.17 | 1.77 ± 0.33 | 1.55 ± 0.31 |
| K | 981 ± 51 | 1005 ± 62 | 959 ± 57 | 1044 ± 77 |
| Mg | 70.83 ± 1.26 | 71.08 ± 1.69 | 73.64 ± 2.18 | 72.51 ± 3.65 |
| Mn | 0.17 ± 0.03 | 0.18 ± 0.07 | 0.20 ± 0.04 | 0.19 ± 0.08 |
| Na | 9.31 ± 0.61 | 9.61 ± 0.87 | 9.44 ± 0.50 | 8.94 ± 0.72 |
| Ni | 1.42 ± 0.13 | 1.52 ± 0.19 | 1.05 ± 0.12 | 1.50 ± 0.21 |
| P | 809 ± 55 | 822 ± 44 | 807 ± 52 | 833 ± 66 |
| Se | 0.017 ± 0.005 | 0.018 ± 0.006 | 0.013 ± 0.005 | 0.019 ± 0.007 |
| Si | 0.82 ± 0.12 | 0.85 ± 0.13 | 0.81 ± 0.10 | 0.79 ± 0.12 |
| Sr | 0.07 ± 0.02 | 0.07 ± 0.02 | 0.06 ± 0.02 | 0.08 ± 0.02 |
| Zn | 1.16 ± 0.32 | 1.24 ± 0.26 | 1.12 ± 0.12 | 1.27 ± 0.20 |
| Element | 2016 | 2017 | 2018 | 2019 |
|---|---|---|---|---|
| Al | 2.01 ± 0.23 | 2.05 ± 0.20 | 2.07 ± 0.23 | 1.95 ± 0.33 |
| Ca | 30.71 ± 1.47 | 32.38 ± 1.43 | 35.10 ± 2.09 | 33.19 ± 1.19 |
| Cu | 2.55 ± 0.26 | 2.42 ± 0.28 | 2.59 ± 0.24 | 2.54 ± 0.33 |
| Fe | 75.45 ± 2.81 | 72.90 ± 2.42 | 70.36 ± 3.11 | 69.49 ± 3.08 |
| K | 1141 ± 61 | 1111 ± 43 | 1105 ± 62 | 1125 ± 59 |
| Mg | 64.80 ± 0.92 | 65.06 ± 1.39 | 64.52 ± 3.51 | 63.18 ± 3.19 |
| Mn | 1.01 ± 0.14 | 1.05 ± 0.18 | 0.97 ± 0.24 | 0.92 ± 0.13 |
| Na | 8.91 ± 1.01 | 9.08 ± 0.92 | 9.35 ± 0.96 | 8.96 ± 0.75 |
| Ni | 2.41 ± 0.56 | 2.54 ± 0.54 | 2.69 ± 0.41 | 2.60 ± 0.49 |
| P | 603 ± 46 | 625 ± 58 | 610 ± 66 | 606 ± 54 |
| Se | 0.014 ± 0.005 | 0.012 ± 0.003 | 0.017 ± 0.004 | 0.011 ± 0.003 |
| Si | 0.11 ± 0.08 | 0.12 ± 0.06 | 0.18 ± 0.06 | 0.12 ± 0.04 |
| Sr | 0.01 ± 0.01 | 0.02 ± 0.01 | 0.02 ± 0.01 | 0.01 ± 0.01 |
| Zn | 1.30 ± 0.15 | 1.20 ± 0.14 | 1.22 ± 0.17 | 1.16 ± 0.22 |
| Element | 2016 | 2017 | 2018 | 2019 |
|---|---|---|---|---|
| Al | 1.95 ± 0.08 | 2.07 ± 0.24 | 1.88 ± 0.23 | 2.01 ± 0.27 |
| Ca | 23.20 ± 0.85 | 25.51 ± 1.54 | 28.47 ± 2.90 | 25.60 ± 2.16 |
| Cu | 0.94 ± 0.11 | 0.82 ± 0.20 | 1.02 ± 0.15 | 1.01 ± 0.20 |
| Fe | 1.07 ± 0.04 | 1.25 ± 0.16 | 1.56 ± 0.28 | 1.28 ± 0.19 |
| K | 905 ± 45 | 983 ± 63 | 968 ± 69 | 913 ± 73 |
| Mg | 66.47 ± 1.08 | 67.52 ± 2.58 | 67.63 ± 3.57 | 71.81 ± 3.22 |
| Mn | 0.16 ± 0.03 | 0.18 ± 0.05 | 0.17 ± 0.05 | 0.19 ± 0.03 |
| Na | 9.11 ± 0.80 | 9.83 ± 0.67 | 9.26 ± 0.43 | 8.99 ± 0.64 |
| Ni | 1.02 ± 0.10 | 0.95 ± 0.21 | 0.94 ± 0.11 | 1.14 ± 0.17 |
| P | 718 ± 24.3 | 720 ± 38 | 744 ± 55 | 769 ± 52 |
| Se | 0.014 ± 0.009 | 0.019 ± 0.006 | 0.011 ± 0.003 | 0.011 ± 0.004 |
| Si | 0.19 ± 0.10 | 0.22 ± 0.10 | 0.27 ± 0.08 | 0.19 ± 0.04 |
| Sr | 0.03 ± 0.02 | 0.03 ± 0.02 | 0.04 ± 0.02 | 0.04 ± 0.02 |
| Zn | 1.02 ± 0.34 | 0.93 ± 0.27 | 0.95 ± 0.10 | 1.11 ± 0.16 |
| Element | AHP | Herbal Product COMM # 2016 | AHH | ||||||
|---|---|---|---|---|---|---|---|---|---|
| 2016 | 2017 | 2018 | 2019 | 2016 | 2017 | 2018 | 2019 | ||
| Al | 0.29 ± 0.02 | 0.23 ± 0.01 | 0.18 ± 0.02 | 0.12 ± 0.03 | 0.10 ± 0.02 | 0.32 ± 0.02 | 0.25 ± 0.03 | 0.27 ± 0.04 | 0.16 ± 0.03 |
| Ca | 1.31 ± 0.05 | 1.42 ± 0.03 | 1.17 ± 0.04 | 1.55 ± 0.04 | 0.35 ± 0.04 | 1.08 ± 0.04 | 1.02 ± 0.05 | 1.13 ± 0.07 | 0.93 ± 0.04 |
| Cu | 0.25 ± 0.03 | 0.14 ± 0.01 | 0.19 ± 0.02 | 0.33 ± 0.02 | 0.04 ± 0.02 | 0.13 ± 0.02 | 0.12 ± 0.03 | 0.14 ± 0.02 | 0.18 ± 0.04 |
| Fe | 4.14 ± 0.05 | 5.26 ± 0.04 | 3.85 ± 0.04 | 6.44 ± 0.06 | 0.12 ± 0.03 | 0.07 ± 0.01 | 0.11 ± 0.03 | 0.16 ± 0.02 | 0.17 ± 0.03 |
| K | 96.32 ± 0.10 | 88.75 ± 0.15 | 78.41 ± 0.18 | 106.3 ± 0.12 | 14.34 ± 0.08 | 72.47 ± 0.11 | 79.53 ± 0.14 | 70.58 ± 0.20 | 91.45 ± 0.13 |
| Mg | 1.90 ± 0.06 | 2.06 ± 0.03 | 1.72 ± 0.05 | 2.17 ± 0.04 | 0.66 ± 0.05 | 2.14 ± 0.06 | 2.09 ± 0.05 | 2.31 ± 0.06 | 2.09 ± 0.05 |
| Mn | 0.10 ± 0.02 | 0.07 ± 0.03 | 0.12 ± 0.02 | 0.18 ± 0.04 | 0.03 ± 0.01 | 0.02 ± 0.01 | 0.03 ± 0.01 | 0.03 ± 0.01 | 0.02 ± 0.01 |
| Na | 1.41 ± 0.04 | 1.22 ± 0.05 | 2.05 ± 0.03 | 1.28 ± 0.05 | 0.81 ± 0.05 | 1.33 ± 0.03 | 1.03 ± 0.04 | 1.44 ± 0.04 | 1.24 ± 0.05 |
| Ni | 0.42 ± 0.04 | 0.30 ± 0.02 | 0.26 ± 0.03 | 0.25 ± 0.03 | 0.08 ± 0.02 | 0.19 ± 0.04 | 0.22 ± 0.04 | 0.12 ± 0.03 | 0.12 ± 0.04 |
| P | 10.63 ± 0.11 | 13.58 ± 0.16 | 9.74 ± 0.12 | 8.94 ± 0.15 | 2.46 ± 0.12 | 14.25 ± 0.27 | 19.04 ± 0.18 | 11.65 ± 0.21 | 15.88 ± 0.19 |
| Se | 0.004 ± 0.001 | 0.003 ± 0.001 | 0.002 ± 0.001 | 0.001 ± 0.001 | 0.001 ± 0.001 | 0.005 ± 0.001 | 0.003 ± 0.001 | 0.004 ± 0.001 | 0.002 ± 0.001 |
| Si | 0.03 ± 0.02 | 0.02 ± 0.02 | 0.02 ± 0.02 | 0.01 ± 0.01 | 0.01 ± 0.01 | 0.03 ± 0.01 | 0.02 ± 0.02 | 0.01 ± 0.01 | 0.01 ± 0.01 |
| Sr | n.d. | 0.01 ± 0.01 | 0.01 ± 0.01 | 0.01 ± 0.01 | n.d. | 0.01 ± 0.01 | 0.01 ± 0.01 | 0.01 ± 0.01 | 0.01 ± 0.01 |
| Zn | 0.12 ± 0.03 | 0.11 ± 0.02 | 0.08 ± 0.04 | 0.11 ± 0.04 | 0.03 ± 0.01 | 0.11 ± 0.02 | 0.10 ± 0.02 | 0.08 ± 0.03 | 0.12 ± 0.03 |
| Element | AHP | AHH |
|---|---|---|
| Ag | 0.0002 ± 0.0004 | 0.0004 ± 0.0005 |
| Al | 5812 ± 93 | 5855 ± 124 |
| Bi | 1.83 ± 0.10 | 1.84 ± 0.07 |
| Ca | 3840 ± 387 | 4009 ± 236 |
| Cd | 0.20 ± 0.02 | 0.19 ± 0.02 |
| Co | 2.37 ± 0.14 | 2.39 ± 0.18 |
| Cr | 9.30 ± 0.16 | 9.34 ± 0.16 |
| Cu | 10.70 ± 0.49 | 10.42 ± 0.71 |
| Fe | 3165 ± 174 | 3195 ± 132 |
| Ga | 2.89 ± 0.15 | 2.89 ± 0.14 |
| In | 1.38 ± 0.26 | 1.28 ± 0.12 |
| K | 2918 ± 148 | 2937 ± 155 |
| Mg | 430.3 ± 32.0 | 419.9 ± 49.6 |
| Mn | 122.9 ± 6.1 | 123.5 ± 7.8 |
| Na | 2947 ± 144 | 2986 ± 109 |
| Ni | 5.90 ± 0.22 | 5.82 ± 0.27 |
| P | 55.8 ± 2.9 | 56.1 ± 2.3 |
| Pb | 10.59 ± 0.63 | 10.32 ± 0.69 |
| Se | 0.042 ± 0.004 | 0.044 ± 0.004 |
| Si (%) | 20.7 ± 0.2 | 20.8 ± 0.2 |
| Sr | 31.4 ± 2.4 | 32.2 ± 2.6 |
| Zn | 14.8 ± 1.2 | 14.9 ± 0.8 |
| Locality/smpl | Al | Cr | Cu | Fe | Mn | Ni | Zn |
|---|---|---|---|---|---|---|---|
| Bačka Palanka * | 0.95 | 0.05 | 8.40 | 7.30 | 2.40 | 0.50 | 8.30 |
| Novi Sad * | 1.70 | 0.10 | 9.04 | 8.60 | 2.28 | 0.58 | 10.92 |
| Sremski Karlovci * | 0.97 | 0.07 | 10.40 | 10.03 | 2.33 | 0.68 | 10.57 |
| average | 1.30 | 0.07 | 9.23 | 8.63 | 2.33 | 0.59 | 10.11 |
| Modena/AHP ≠ | 13.3 | n.d. | 17.4 | 390.3 | 5.9 | 21.7 | 7.7 |
| Modena/AHH ≠ | 13.6 | n.d. | 6.2 | 8.1 | 1.0 | 7.6 | 7.0 |
Publisher’s Note: MDPI stays neutral with regard to jurisdictional claims in published maps and institutional affiliations. |
© 2020 by the authors. Licensee MDPI, Basel, Switzerland. This article is an open access article distributed under the terms and conditions of the Creative Commons Attribution (CC BY) license (http://creativecommons.org/licenses/by/4.0/).
Share and Cite
Durante, C.; Cocchi, M.; Lancellotti, L.; Maletti, L.; Marchetti, A.; Roncaglia, F.; Sighinolfi, S.; Tassi, L. Analytical Concentrations of Some Elements in Seeds and Crude Extracts from Aesculus hippocastanum, by ICP-OES Technique. Agronomy 2021, 11, 47. https://doi.org/10.3390/agronomy11010047
Durante C, Cocchi M, Lancellotti L, Maletti L, Marchetti A, Roncaglia F, Sighinolfi S, Tassi L. Analytical Concentrations of Some Elements in Seeds and Crude Extracts from Aesculus hippocastanum, by ICP-OES Technique. Agronomy. 2021; 11(1):47. https://doi.org/10.3390/agronomy11010047
Chicago/Turabian StyleDurante, Caterina, Marina Cocchi, Lisa Lancellotti, Laura Maletti, Andrea Marchetti, Fabrizio Roncaglia, Simona Sighinolfi, and Lorenzo Tassi. 2021. "Analytical Concentrations of Some Elements in Seeds and Crude Extracts from Aesculus hippocastanum, by ICP-OES Technique" Agronomy 11, no. 1: 47. https://doi.org/10.3390/agronomy11010047
APA StyleDurante, C., Cocchi, M., Lancellotti, L., Maletti, L., Marchetti, A., Roncaglia, F., Sighinolfi, S., & Tassi, L. (2021). Analytical Concentrations of Some Elements in Seeds and Crude Extracts from Aesculus hippocastanum, by ICP-OES Technique. Agronomy, 11(1), 47. https://doi.org/10.3390/agronomy11010047

