The Potential of Spectral Measurements for Identifying Glyphosate Application to Agricultural Fields †
Abstract
1. Introduction
2. Materials and Methods
2.1. Experimental Design
2.2. Plant Sampling and Chemical Analysis
2.3. Spectral Measurements
2.4. Spectral Vegetation Indices
2.5. Statistical Analysis
3. Results
3.1. Photo-Optical Documentation
3.2. Statistical Analysis of Chemical Compounds
3.3. Spectral Reflectance Measurements
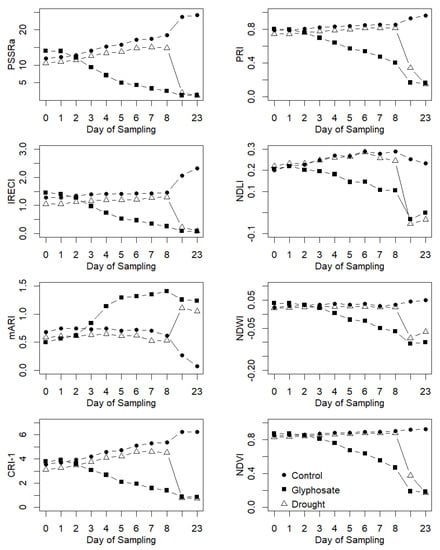
3.4. Spectral Vegetation Indices
4. Discussion
4.1. Change in Primary and Secondary Metabolism Caused by Glyphosate Treatment
4.2. Spectral Vegetation Indices for Early Detection of Changes in Vegetation Due to Glyphosate Treatment
4.3. Is It Possible to Get an Early Information on Glyphosate Application by Satellite Data?
5. Conclusions
Author Contributions
Funding
Conflicts of Interest
References
- Duke, S.O.; Powles, S.B. Glyphosate: A one-in-a–century herbicide. Pest Manag. Sci. 2008, 64, 319–325. [Google Scholar] [CrossRef] [PubMed]
- Dill, G.M. Glyphosate-resistant crops: History, status and future. Pest Manag. Sci. 2005, 61, 219–224. [Google Scholar] [CrossRef] [PubMed]
- Helander, M.; Saloniemi, I.; Saikkonen, K. Glyphosate in northern ecosystems. Trends Plant Sci. 2012, 17, 569–574. [Google Scholar] [CrossRef] [PubMed]
- Powles, S.B.; Wilcut, J. Review of evolved glyphosate-resistant weeds around the world: Lessons to be learnt. Pest Manag. Sci. 2008, 64, 360–365. [Google Scholar] [CrossRef] [PubMed]
- Beckie, H.J. Herbicide-resistant weed management: Focus on glyphosate. Pest Manag. Sci. 2011, 67, 1037–1048. [Google Scholar] [CrossRef] [PubMed]
- Busse, M.D.; Ratcliff, A.W.; Shestak, C.J.; Powers, R.F. Glyphosate toxicity and effects of long-term vegetation control on soil microbial communities. Soil Biol. Biochem. 2001, 33, 1777–1789. [Google Scholar] [CrossRef]
- Evans, S.C.; Show, E.M.; Rypstra, A.L. Exposure to a glyphosate-based herbicide affects agrobiont predatory arthropod behaviour and long-term survival. Ecotoxicology 2010, 19, 1249–1257. [Google Scholar] [CrossRef]
- Folmar, L.C.; Sanders, H.O.; Julin, A.M. Toxicity of the herbicide glyphosate and several of its formulations to fish and aquatic invertebrates. Arch. Environ. Contam. Toxicol. 1979, 8, 269–278. [Google Scholar] [CrossRef]
- Relyea, R.A. The lethal impact of Roundup on aquatic and terrestrial amphibians. Ecol. Appl. 2005, 15, 1118–1124. [Google Scholar] [CrossRef]
- Relyea, R.A. The impact of insecticides and herbicides on the biodiversity and productivity of aquatic communities. Ecol. Appl. 2005, 15, 618–627. [Google Scholar] [CrossRef]
- Ali, A.; Streibig, J.C.; Duus, J.; Andreasen, C. Use of image analysis to assess color response on plants caused by herbicide application. Weed Technol. 2013, 27, 604–611. [Google Scholar] [CrossRef]
- Lichtenthaler, H.K. Chlorophylls and Carotenoids: Pigments of Photosynthetic Biomembranes. In Methods in Enzymology; Douce, R., Parker, L., Eds.; Academic Press: New York, NY, USA, 1987; Volume 148, pp. 350–382. [Google Scholar]
- Abadia, J.; Abadia, A. Iron and plant pigments. In Iron Chelation in Plants and Soil Microorganisms; Barton, L., Hemming, B., Eds.; Academic Press: San Diego, CA, USA, 1993; pp. 327–344. [Google Scholar]
- Lichtenthaler, H.K.; Wellburn, A.R. Determinations of total carotenoids and chlorophyll a and b of leaf extracts in different solvents, 603rd Meeting, Liverpool. Biochem. Soc. Trans. 1983, 11, 591–592. [Google Scholar] [CrossRef]
- Savitzky, A.; Golay, M.J.E. Smoothing and differentiation of data by simplified least squares procedures. Anal. Chem. 1964, 36, 1627–1639. [Google Scholar] [CrossRef]
- Behmann, J.; Acebron, K.; Emin, D.; Bennertz, S.; Matsubara, S.; Thomas, S.; Bohnenkamp, D.; Kuska, M.T.; Jussila, J.; Salo, H.; et al. Specim IQ: Evaluation of a New, Miniaturized Handheld Hyperspectral Camera and Its Application for Plant Phenotyping and Disease Detection. Sensors 2018, 18, 441. [Google Scholar] [CrossRef]
- Roberts, D.A.; Roth, K.L.; Perroy, R.L. Hyperspectral Vegetation Indices. In Hyperspectral Remote Sensing of Vegetation; Thenkabail, P.S., Lyon, J.G., Huete, A., Eds.; CRC Press, Taylor & Francis Group, LLC: Boca Raton, FL, USA, 2012; pp. 309–328. [Google Scholar]
- Xue, J.; Su, B. Significant Remote Sensing Vegetation Indices: A Review of Developments and Applications. J. Sens. 2017, 2017, 1353691. [Google Scholar] [CrossRef]
- Broge, N.H.; Leblanc, E. Comparing prediction power and stability of broadband and hyperspectral vegetation indices for estimation of green leaf area index and canopy chlorophyll density. Remote Sens. Environ. 2000, 76, 156–172. [Google Scholar] [CrossRef]
- Blackburn, G.A. Quantifying chlorophylls and carotenoids at leaf canopy scales: An evaluation of some hyperspectral approaches. Remote Sens. Environ. 1998, 66, 273–285. [Google Scholar] [CrossRef]
- Frampton, W.J.; Dash, J.; Watmough, G.; Milton, E.J. Evaluating the capabilities of Sentinel-2 for quantitative estimation of biophysical variables in vegetation. ISPRS J. Photogramm. Remote Sens. 2013, 82, 83–92. [Google Scholar] [CrossRef]
- Gitelson, A.A.; Keydan, G.P.; Merzlyak, M.N. Three-band model for noninvasive estimation of chlorophyll, carotinoids, and anthocyanin content in higher plant leaves. Geophys. Res. Lett. 2006, 33, L11402. [Google Scholar] [CrossRef]
- Gamon, J.A.; Penuelas, J.; Field, C.B. A narrow-wave spectral index that tracks diurnal changes in photosynthetic efficiency. Remote Sens. Environ. 1992, 41, 35–44. [Google Scholar] [CrossRef]
- Peñuelas, J.; Filella, I.; Gamon, J.A. Assessment of photosynthetic radiation-use efficiency with spectral reflectance. New Phytol. 1995, 131, 291–296. [Google Scholar] [CrossRef]
- Serrano, L.; Peñuelas, J.; Ustin, S.L. Remote sensing of nitrogen and lignin in Mediterranean vegetation from AVIRIS data: Decomposing biochemical from structural signals. Remote Sens. Environ. 2002, 81, 355–364. [Google Scholar] [CrossRef]
- Rouse, J.W.; Haas, R.H.; Schell, J.A.; Deering, D.W.; Harlan, J.C. Monitoring the vernal advancements and retrogradation of natural vegetation. In NASA/GSFC; Final Report; Texas A&M University, Remote Sensing Center, Collage Station, Texas: Greenbelt, MD, USA, 1974. [Google Scholar]
- Gao, B.C. NDWI—A Normalized Difference Water Index for Remote Sensing of Vegetation Liquid Water form Space. Remote Sens. Environ. 1996, 58, 257–266. [Google Scholar] [CrossRef]
- Henry, W.B.; Shaw, D.R.; Reddy, K.R.; Bruce, L.M.; Tamhankar, H.D. Remote Sensing to Detect Herbicide Drift on Crops. Weed Technol. 2004, 18, 358–368. [Google Scholar] [CrossRef]
- Mahlein, A.K.; Oerke, E.C.; Steiner, U.; Dehne, H.W. Recent advances in sensing plant diseases for precision crop protection. Eur. J. Plant Pathol. 2012, 133, 197–209. [Google Scholar] [CrossRef]
- Mahlein, A.K. Plant disease detection by imaging sensors—Parallels and specific demands for precision agriculture and plant phenotyping. Plant Dis. 2016, 100, 241–251. [Google Scholar] [CrossRef] [PubMed]
- Gomes, M.P.; Le Manach, S.G.; Maccario, S.; Labrecque, M.; Lucotte, M.; Juneau, P. Differential effects of glyphosate and aminomethylphosphonic acid (AMPA) on photosynthesis and chlorophyll metabolism in willow plants. Pestic. Biochem. Physiol. 2016, 130, 65–70. [Google Scholar] [CrossRef] [PubMed]
- Huang, J.L.; Silva, E.N.; Shen, Z.G.; Jiang, B.; Lu, H.F. Effects of glyphosate on photosynthesis, chlorophyll fluorescence and physicochemical properties of cogongrass (Imperata cylindrical L.). Plant Omics 2012, 5, 177–183. [Google Scholar]
- Ananga, A.; Georgiev, V.; Tsolova, V. Manipulation and Engineering of Metabolic and Biosynthetic Pathway of Plant Polyphenols. Curr. Pharm. Des. 2013, 19, 6186–6206. [Google Scholar] [CrossRef]
- Ignat, I.; Volf, I.; Popa, V.I. A critical review of methods for characterisation of polyphenolic compounds in fruits and vegetables. Food Chem. 2011, 126, 1821–1835. [Google Scholar] [CrossRef]
- Agati, G.; Azzarello, E.; Pollastri, S.; Tattini, M. Flavonoids as antioxidants in plants: Location and functional significance. Plant Sci. 2012, 196, 67–76. [Google Scholar] [CrossRef] [PubMed]
- Di Ferdinando, M.; Brunetti, C.; Agati, G.; Tattini, M. Multiple functions of polyphenols in plants inhabiting unfavourable Mediterranean areas. Environ. Exp. Bot. 2014, 103, 107–116. [Google Scholar] [CrossRef]
- Close, D.C.; McArthur, C. Rethinking the role of many plant phenolics—Protection from photodamage not herbivores? OIKOS 2002, 99, 166–172. [Google Scholar] [CrossRef]
- Berger, K.; Verrelst, J.; Feret, J.B.; Wang, Z.H.; Wocher, M.; Strathmann, M.; Danner, M.; Mauser, W.; Hank, T. Crop nitrogen monitoring: Recent progress and principal developments in the context of imaging spectroscopy missions. Remote Sens. Environ. 2020, 242, 111758. [Google Scholar] [CrossRef]
- Berdugo, C.A.; Mahlein, A.K.; Steiner, U.; Dehne, H.W.; Oerke, E.C. Sensors and imaging techniques for the assessment of the delay of wheat senescence induced by fungicides. Funct. Plant Biol. 2013, 40, 677–689. [Google Scholar] [CrossRef]
- Skidmore, A.K.; Ferwerda, J.G.; Mutanga, O.; Van Wieren, S.E.; Peel, M.; Grant, R.C.; Prins, H.H.T.; Bektas Balcik, F.; Venus, V. Forage quality of savannas—Simultaneously mapping foliar protein and polyphenols for trees and grass using hyperspectral imagery. Remote Sens. Environ. 2010, 114, 64–72. [Google Scholar] [CrossRef]
- Thenkabail, P.; Smith, R.B.; De Pauw, E. Evaluation of Narrowband and Broadband Vegetation Indices for Determining Optimal Hyperspectral Wavebands for Agricultural Crop Characterization. Photogrammetric Eng. Remote Sens. 2010, 68, 607–621. [Google Scholar]
- Reddy, K.N.; Huang, Y.; Lee, M.A.; Nandula, V.K.; Fletcher, R.S.; Thomson, S.J.; Zhao, F. Glyphosate-resistant and glyphosate-susceptible Palmer amaranth (Amaranthus palmeri S.Wats.): Hyperspectral reflectance properties of plants and potential for classification. Pest Manag. Sci. 2014, 70, 1910–1917. [Google Scholar] [CrossRef]
- Fourty, T.; Baret, F.; Jacquemoud, S.; Schmuck, G.; Verdebout, J. Leaf optical properties with explicit description of its biochemical composition: Direct and inverse problems. Remote Sens. Environ. 1996, 54, 104–117. [Google Scholar] [CrossRef]
- Loizzo, R.; Guarini, R.; Longo, F.; Scopa, T.; Formaro, R.; Facchinetti, C.; Varacalli, G. PRISMA: The Italian Hyperspectral Mission. In Proceedings of the IGARSS 2018 IEEE International Geoscience and Remote Sensing Symposium, Valencia, Spain, 22–27 July 2018. [Google Scholar] [CrossRef]
- Carmona, E.; Alonso-González, K.; Bachmann, M.; Cerra, D.; Dietrich, D.; Heiden, U.; Knodt, U.; Krutz, D.; Müller, R.; de los Reyes, R.; et al. First results of the DESI imaging spectrometer on board the international space station. In Proceedings of the IGARSS 2019 IEEE International Geoscience and Remote Sensing Symposium, Yokohama, Japan, 28 July–2 August 2019. [Google Scholar] [CrossRef]
- Krutz, D.; Müller, R.; Knodt, U.; Günther, B.; Walter, I.; Sebastian, I.; Säuberlich, T.; Reulke, R.; Carmona, E.; Eckardt, A.; et al. The Instrument Design of the DLR Earth Sensing Imaging Spectrometer (DESIS). Sensors 2019, 19, 1622. [Google Scholar] [CrossRef]
- Matsunaga, T.; Iwasaki, A.; Tsuchida, S.; Iwao, K.; Tanii, J.; Kashimura, O.; Nakamura, R.; Yamamoto, H.; Kato, S.; Obata, K.; et al. Current status of Hyperspectral Imager Suite (HISUI) onboard International Space Station (ISS). In Proceedings of the IGARSS 2017 IEEE International Geoscience and Remote Sensing Symposium, Fort Worth, TX, USA, 23–28 July 2017. [Google Scholar] [CrossRef]
- Guanter, L.; Kaufmann, H.; Segl, K.; Foerster, S.; Rogass, C.; Chabrillat, S.; Kuester, T.; Hollstein, A.; Rossner, G.; Chlebek, C.; et al. The EnMAP Spaceborne Imaging Spectroscopy Mission for Earth Observation. Remote Sens. 2015, 7, 8830–8857. [Google Scholar] [CrossRef]
- Nieke, J.; Rast, M. Towards the Copernicus Hyperspectral Imaging Mission for The Environment (CHIME). In Proceedings of the IGARSS 2018 IEEE International Geoscience and Remote Sensing Symposium, Valencia, Spain, 22–27 July 2018. [Google Scholar] [CrossRef]








| Index | Full Name | Formula (Wavelength λ in [nm]) | Sensitivity | Reference |
|---|---|---|---|---|
| PSSRa | Pigment specific simple ratio (chlorophyll) index | (λ800/λ680) | Chlorophyll a | [20] |
| IRECI | Inverted red-edge chlorophyll index | (λ783 − λ665)/(λ700/λ740) | Chlorophyll | [21] |
| mARI | Modified anthocyanin reflectance index | (1/λ550 − 1/λ700) × λ780 | Anthocyanin | [22] |
| CRI-1 | Carotenoid reflectance index | (1/λ515 − 1/λ565) × λ790 | Carotenoids | [22] |
| PRI | Photochemical reflectance index | (λ531 − λ570)/(λ531 + λ570) | Photosynthetic activity | [23,24] |
| NDLI | Normalized difference lignin index | (log(1/λ1754) − log(1/λ1680))/(log(1/λ1754) + log(1/λ1680)) | Lignin | [25] |
| NDVI | Normalized difference vegetation index | (λ800 − λ670)/(λ800 + λ670) | Plant structure | [26] |
| NDWI | Normalized difference water index | (λ860 − λ1240)/(λ860 + λ1240) | Canopy water | [27] |
| DAA | Treatment | DM | Chla | Chlb | Chlab | Car | PP |
|---|---|---|---|---|---|---|---|
| (%) | (mg/g FM) | ||||||
| 0 | Ctr | 19.0 a | 1.14 a | 0.247 a | 1.39 a | 0.417 a | 0.74 a |
| Gly | 18.3 a | 1.08 a | 0.234 a | 1.31 a | 0.403 a | 0.80 a | |
| Dry | 18.7 a | 1.09 a | 0.242 a | 1.34 a | 0.407 a | 0.98 a | |
| LSD5% | 3.5 | 0.31 | 0.068 | 0.38 | 0.102 | 0.27 | |
| 1 | Ctr | 17.7 a | 1.00 a | 0.209 a | 1.21 a | 0.366 a | 0.99 a |
| Gly | 17.0 a | 0.93 a | 0.200 a | 1.13 a | 0.346 a | 1.01 a | |
| Dry | 16.6 a | 1.02 a | 0.210 a | 1.23 a | 0.374 a | 0.88 a | |
| LSD5% | 2.7 | 0.20 | 0.047 | 0.25 | 0.063 | 0.49 | |
| 2 | Ctr | 17.5 a | 1.27 a | 0.259 a | 1.53 a | 0.486 a | 0.84 a |
| Gly | 17.1 a | 0.98 b | 0.213 a | 1.19 b | 0.396 b | 0.61 a | |
| Dry | 15.4 a | 1.18 ab | 0.237 a | 1.42 ab | 0.452 ab | 0.80 a | |
| LSD5% | 3.1 | 0.17 | 0.041 | 0.21 | 0.063 | 0.28 | |
| 3 | Ctr | 16.9 a | 1.37 a | 0.288 a | 1.66 a | 0.503 a | 0.93 a |
| Gly | 18.9 a | 1.01 b | 0.228 a | 1.23 a | 0.403 a | 0.72 a | |
| Dry | 16.7 a | 1.08 ab | 0.227 a | 1.30 a | 0.397 a | 0.92 a | |
| LSD5% | 3.1 | 0.28 | 0.066 | 0.34 | 0.112 | 0.39 | |
| 4 | Ctr | 17.2 a | 1.45 a | 0.305 a | 1.75 a | 0.526 a | 0.88 a |
| Gly | 20.8 a | 0.93 b | 0.206 b | 1.14 b | 0.383 b | 0.78 a | |
| Dry | 17.1 a | 1.39 a | 0.288 a | 1.67 a | 0.504 a | 1.12 a | |
| LSD5% | 3.2 | 0.23 | 0.049 | 0.29 | 0.084 | 0.54 | |
| 5 | Ctr | 17.9 a | 1.43 a | 0.296 a | 1.72 a | 0.505 a | 0.84 a |
| Gly | 30.6 a | 1.08 a | 0.247 a | 1.33 a | 0.466 a | 1.13 a | |
| Dry | 18.5 a | 1.34 a | 0.276 a | 1.62 a | 0.473 a | 0.90 a | |
| LSD5% | 10.8 | 0.46 | 0.107 | 0.56 | 0.199 | 0.56 | |
| 6 | Ctr | 16.5 a | 1.48 a | 0.310 a | 1.79 a | 0.526 a | 1.02 a |
| Gly | 38.7 a | 1.09 a | 0.257 a | 1.35 a | 0.466 a | 1.25 a | |
| Dry | 17.4 a | 1.39 a | 0.292 a | 1.68 a | 0.498 a | 0.79 a | |
| LSD5% | 18.7 | 0.37 | 0.094 | 0.460 | 0.161 | 0.63 | |
| 7 | Ctr | 17.1 b | 1.68 a | 0.358 a | 2.04 a | 0.601 a | 0.81 b |
| Gly | 50.6 a | 0.86 c | 0.237 b | 1.10 c | 0.374 c | 1.76 a | |
| Dry | 16.8 b | 1.41 b | 0.302 a | 1.72 b | 0.503 b | 0.93 b | |
| LSD5% | 18.2 | 0.19 | 0.050 | 0.25 | 0.061 | 0.65 | |
| 8 | Ctr | 17.8 b | 1.54 a | 0.330 a | 1.87 a | 0.546 a | 0.92 b |
| Gly | 62.9 a | 0.68 b | 0.199 b | 0.88 b | 0.292 b | 2.16 a | |
| Dry | 17.3 b | 1.54 a | 0.336 a | 1.87 a | 0.536 a | 1.25 b | |
| LSD5% | 16.3 | 0.33 | 0.063 | 0.39 | 0.140 | 0.51 | |
| 16 | Ctr | 18.9 b | 1.93 a | 0.460 a | 2.40 a | 0.711 a | 1.31 b |
| Gly | 90.7 a | 0.01 b | 0.005 b | 0.02 b | 0.008 c | 3.83 a | |
| Dry | 92.5 a | 1.37 a | 0.564 a | 1.94 a | 0.433 b | 3.67 a | |
| LSD5% | 1.5 | 0.58 | 0.207 | 0.78 | 0.181 | 0.37 | |
| 23 | Ctr | 20.4 b | 2.11 a | 0.514 a | 2.62 a | 0.770 a | 1.65 b |
| Gly | 86.5 a | 0.01 b | 0.003 b | 0.01 b | 0.006 b | 3.56 a | |
| Dry | 87.2 a | 0.05 b | 0.026 b | 0.07 b | 0.023 b | 3.87 a | |
| LSD5% | 0.7 | 0.16 | 0.055 | 0.21 | 0.036 | 0.58 | |
| DAA | Treatment | Chla | Chlb | Chlab | Car | PP |
|---|---|---|---|---|---|---|
| (mg/g DM) | ||||||
| 0 | Ctr | 5.95 a | 1.29 a | 7.25 a | 2.18 a | 3.93 a |
| Gly | 5.91 a | 1.29 a | 7.20 a | 2.21 a | 4.37 a | |
| Dry | 5.88 a | 1.29 a | 7.17 a | 2.18 a | 5.29 a | |
| LSD5% | 1.12 | 0.25 | 1.37 | 0.36 | 1.83 | |
| 1 | Ctr | 5.73 a | 1.19 a | 6.92 a | 2.09 a | 5.50 a |
| Gly | 5.45 a | 1.17 a | 6.62 a | 2.03 a | 5.95 a | |
| Dry | 6.16 a | 1.26 a | 7.42 a | 2.26 a | 5.30 a | |
| LSD5% | 1.13 | 0.25 | 1.37 | 0.34 | 2.15 | |
| 2 | Ctr | 7.30 a | 1.48 a | 8.79 a | 2.79 ab | 4.85 a |
| Gly | 5.75 b | 1.25 b | 7.00 b | 2.33 b | 3.56 a | |
| Dry | 7.71a | 1.55 a | 9.26 a | 2.95 a | 5.29 a | |
| LSD5% | 1.03 | 0.18 | 1.22 | 0.40 | 2.20 | |
| 3 | Ctr | 8.11 a | 1.70 a | 9.81 a | 2.97 a | 5.54 a |
| Gly | 5.36 b | 1.21 b | 6.58 b | 2.15 b | 3.87 a | |
| Dry | 6.44 b | 1.36 ab | 7.80 b | 2.38 ab | 5.50 a | |
| LSD5% | 1.29 | 0.29 | 1.57 | 0.53 | 2.16 | |
| 4 | Ctr | 8.40 a | 1.77 a | 10.17 a | 3.06 a | 5.04 a |
| Gly | 4.53 b | 1.00 b | 5.53 b | 1.86 b | 3.79 a | |
| Dry | 8.14 a | 1.70 a | 9.83 a | 2.96 a | 6.61 a | |
| LSD5% | 1.42 | 0.29 | 1.70 | 0.52 | 3.05 | |
| 5 | Ctr | 7.96 a | 1.65 a | 9.61 a | 2.81 a | 4.65 a |
| Gly | 3.53 b | 0.80 b | 4.33 b | 1.50 b | 3.65 a | |
| Dry | 7.39 a | 1.52 a | 8.91 a | 2.60 a | 4.90 a | |
| LSD5% | 1.54 | 0.32 | 1.88 | 0.55 | 1.52 | |
| 6 | Ctr | 8.98 a | 1.88 a | 10.88 a | 3.19 a | 6.22 a |
| Gly | 3.12 b | 0.71 b | 3.84 b | 1.32 b | 3.27 b | |
| Dry | 8.02 a | 1.68 a | 9.69 a | 2.87 a | 4.64 a | |
| LSD5% | 1.59 | 0.28 | 1.86 | 0.61 | 2.03 | |
| 7 | Ctr | 9.84 a | 2.10 a | 11.93 a | 3.52 a | 4.78 a |
| Gly | 1.88 b | 0.52 b | 2.40 b | 0.82 b | 3.54 a | |
| Dry | 8.43 a | 1.80 a | 10.23 a | 3.00 a | 5.55 a | |
| LSD5% | 1.16 | 0.30 | 1.46 | 0.47 | 2.59 | |
| 8 | Ctr | 8.66 a | 1.85 a | 10.52 a | 3.07 a | 5.18 b |
| Gly | 1.18 b | 0.33 b | 1.51 b | 0.51 b | 3.45 c | |
| Dry | 8.87 a | 1.94 a | 10.80 a | 3.09 a | 7.25a | |
| LSD5% | 0.91 | 0.18 | 1.07 | 0.37 | 0.57 | |
| 16 | Ctr | 10.21 a | 2.43 a | 12.64 a | 3.76 a | 6.99 a |
| Gly | 0.01 c | 0.01 c | 0.02 c | 0.01 c | 4.23 b | |
| Dry | 1.48 b | 0.61 b | 2.09 b | 0.47 b | 3.97 b | |
| LSD5% | 1.10 | 0.34 | 1.44 | 0.33 | 1.33 | |
| 23 | Ctr | 10.36 a | 2.53 a | 12.89 a | 3.78 a | 8.09 a |
| Gly | 0.01 b | 0.003 b | 0.01 b | 0.01 b | 4.11 b | |
| Dry | 0.05 b | 0.033 b | 0.08 b | 0.02 b | 4.43 b | |
| LSD5% | 0.95 | 0.306 | 1.25 | 0.23 | 1.90 | |
| DAA | Treatment | Spectral Vegetation Indices * | |||||||
|---|---|---|---|---|---|---|---|---|---|
| PSSRa | IRECI | mARI | CRI-1 | PRI | NDLI | NDVI | NDWI | ||
| 0 | Ctr | 12.0 a | 1.31 a | 0.66 a | 3.57 a | 0.79 a | 0.20 a | 0.85 a | 0.30 a |
| Gly | 14.6 a | 1.49 a | 0.47 a | 3.81 a | 0.80 a | 0.21 a | 0.87 a | 0.32 a | |
| Dry | 10.6 a | 1.05 a | 0.59 a | 3.14 a | 0.74 a | 0.22 a | 0.83 a | 0.28 a | |
| LSD5% | 5.7 | 0.69 | 0.34 | 0.89 | 0.10 | 0.02 | 0.05 | 0.07 | |
| 1 | Ctr | 12.3 a | 1.31 a | 0.73 a | 3.71 a | 0.79 a | 0.22 a | 0.85 a | 0.31 a |
| Gly | 14.7 a | 1.44 a | 0.52 a | 3.94 a | 0.80 a | 0.22 a | 0.87 a | 0.33 a | |
| Dry | 10.9 a | 1.05 a | 0.60 a | 3.26 a | 0.75 a | 0.23 a | 0.84 a | 0.29 a | |
| LSD5% | 6.4 | 0.68 | 0.34 | 1.05 | 0.10 | 0.02 | 0.05 | 0.07 | |
| 2 | Ctr | 12.9 a | 1.38 a | 0.73 a | 3.92 a | 0.80 a | 0.23 a | 0.86 a | 0.32 a |
| Gly | 13.0 a | 1.31 a | 0.58 a | 3.64 a | 0.76 a | 0.20 a | 0.85 a | 0.31 a | |
| Dry | 11.5 a | 1.12 a | 0.61 a | 3.50 a | 0.76 a | 0.23 a | 0.84 a | 0.29 a | |
| LSD5% | 6.5 | 0.72 | 0.31 | 1.06 | 0.10 | 0.03 | 0.06 | 0.08 | |
| 3 | Ctr | 14.2 a | 1.42 a | 0.71 a | 4.20 a | 0.82 a | 0.25 a | 0.87 a | 0.33 a |
| Gly | 10.6 a | 1.03 a | 0.77 a | 3.15 a | 0.69 a | 0.20 b | 0.81 a | 0.28 a | |
| Dry | 12.7 a | 1.17 a | 0.63 a | 3.77 a | 0.78 a | 0.25 a | 0.86 a | 0.30 a | |
| LSD5% | 7.0 | 0.74 | 0.40 | 1.13 | 0.12 | 0.03 | 0.09 | 0.10 | |
| 4 | Ctr | 15.4 a | 1.44 a | 0.73 a | 4.59 a | 0.83 a | 0.27 a | 0.88 a | 0.34 a |
| Gly | 8.4 a | 0.80 a | 1.04 a | 2.77 b | 0.63 b | 0.18 b | 0.75 a | 0.24 a | |
| Dry | 13.5 a | 1.19 a | 0.64 a | 4.11 ab | 0.79 ab | 0.26 a | 0.86 a | 0.30 a | |
| LSD5% | 7.3 | 0.76 | 0.50 | 1.34 | 0.15 | 0.04 | 0.13 | 0.13 | |
| 5 | Ctr | 16.0 a | 1.43 a | 0.68 ab | 4.72 a | 0.84 a | 0.27 a | 0.88 a | 0.33 a |
| Gly | 6.3 b | 0.60 a | 1.19 a | 2.22 b | 0.56 b | 0.15 b | 0.66 a | 0.16 a | |
| Dry | 13.9 a | 1.20 a | 0.61 b | 4.25 a | 0.80 a | 0.27 a | 0.87 a | 0.30 a | |
| LSD5% | 6.9 | 0.73 | 0.42 | 1.53 | 0.18 | 0.07 | 0.19 | 0.18 | |
| 6 | Ctr | 17.4 a | 1.46 a | 0.69 b | 5.09 a | 0.85 a | 0.29 a | 0.89 a | 0.34 a |
| Gly | 5.5 b | 0.53 b | 1.23 a | 2.05 b | 0.53 b | 0.15 b | 0.62 b | 0.16 a | |
| Dry | 15.0 a | 1.21 ab | 0.61 b | 4.61 a | 0.81 a | 0.29 a | 0.88 ab | 0.30 a | |
| LSD5% | 6.6 | 0.71 | 0.41 | 1.50 | 0.19 | 0.08 | 0.21 | 0.17 | |
| 7 | Ctr | 17.5 a | 1.46 a | 0.68 b | 5.28 a | 0.85 a | 0.28 a | 0.89 a | 0.33 a |
| Gly | 4.1 b | 0.39 b | 1.29 a | 1.69 b | 0.46 b | 0.11 b | 0.55 b | 0.10 b | |
| Dry | 15.3 a | 1.28 a | 0.52 b | 4.61 a | 0.82 a | 0.26 a | 0.88 a | 0.29 a | |
| LSD5% | 5.4 | 0.63 | 0.37 | 1.29 | 0.19 | 0.07 | 0.22 | 0.15 | |
| 8 | Ctr | 18.6 a | 1.49 a | 0.60 b | 5.39 a | 0.85 a | 0.29 a | 0.90 a | 0.34 a |
| Gly | 3.0 b | 0.28 b | 1.38 a | 1.45 b | 0.40 b | 0.11 b | 0.47 b | 0.08 b | |
| Dry | 15.0 a | 1.30 a | 0.53 b | 4.53 a | 0.81 a | 0.25 a | 0.88 a | 0.29 a | |
| LSD5% | 4.5 | 0.57 | 0.23 | 1.07 | 0.17 | 0.04 | 0.21 | 0.12 | |
| 16 | Ctr | 24.0 a | 2.08 a | 0.26 c | 6.27 a | 0.93 a | 0.25 a | 0.92 a | 0.35 a |
| Gly | 1.4 b | 0.09 b | 1.26 a | 0.88 b | 0.17 c | −0.03 b | 0.19 c | −0.07 b | |
| Dry | 2.1 b | 0.22 b | 1.11 b | 0.79 b | 0.34 b | −0.05 b | 0.38 b | −0.05 b | |
| LSD5% | 4.1 | 0.35 | 0.12 | 0.68 | 0.06 | 0.03 | 0.03 | 0.04 | |
| 23 | Ctr | 24.4 a | 2.34 a | 0.07 c | 6.27 a | 0.96 a | 0.23 a | 0.92 a | 0.36 a |
| Gly | 1.4 b | 0.08 b | 1.24 a | 0.87 b | 0.16 b | 0.00 b | 0.19 b | −0.06 b | |
| Dry | 1.4 b | 0.10 b | 1.05 b | 0.76 b | 0.15 b | −0.03 b | 0.17 b | −0.01 b | |
| LSD5% | 4.2 | 0.41 | 0.08 | 0.82 | 0.06 | 0.03 | 0.02 | 0.05 | |
| Spectral Index | Dry Matter (%) | Chlorophyll ab (mg/g DM) | Carotenoids (mg/g DM) | Polyphenols (mg/g DM) | ||||
|---|---|---|---|---|---|---|---|---|
| R2 | Sig. | R2 | Sig. | R2 | Sig. | R2 | Sig. | |
| PSSRa | 0.55 | *** | 0.80 | *** | 0.79 | *** | 0.31 | *** |
| IRECI | 0.56 | *** | 0.71 | *** | 0.72 | *** | 0.28 | *** |
| mARI | 0.46 | *** | 0.63 | *** | 0.62 | *** | 0.32 | *** |
| CRI-1 | 0.63 | *** | 0.87 | *** | 0.86 | *** | 0.31 | *** |
| PRI | 0.86 | *** | 0.85 | *** | 0.87 | *** | 0.22 | *** |
| NDLI | 0.91 | *** | 0.79 | *** | 0.82 | *** | 0.15 | *** |
| NDVI | 0.93 | *** | 0.78 | *** | 0.82 | *** | 0.16 | *** |
| NDWI | 0.88 | *** | 0.72 | *** | 0.75 | *** | 0.19 | *** |
© 2020 by the authors. Licensee MDPI, Basel, Switzerland. This article is an open access article distributed under the terms and conditions of the Creative Commons Attribution (CC BY) license (http://creativecommons.org/licenses/by/4.0/).
Share and Cite
Bloem, E.; Gerighausen, H.; Chen, X.; Schnug, E. The Potential of Spectral Measurements for Identifying Glyphosate Application to Agricultural Fields. Agronomy 2020, 10, 1409. https://doi.org/10.3390/agronomy10091409
Bloem E, Gerighausen H, Chen X, Schnug E. The Potential of Spectral Measurements for Identifying Glyphosate Application to Agricultural Fields. Agronomy. 2020; 10(9):1409. https://doi.org/10.3390/agronomy10091409
Chicago/Turabian StyleBloem, Elke, Heike Gerighausen, Xijuan Chen, and Ewald Schnug. 2020. "The Potential of Spectral Measurements for Identifying Glyphosate Application to Agricultural Fields" Agronomy 10, no. 9: 1409. https://doi.org/10.3390/agronomy10091409
APA StyleBloem, E., Gerighausen, H., Chen, X., & Schnug, E. (2020). The Potential of Spectral Measurements for Identifying Glyphosate Application to Agricultural Fields. Agronomy, 10(9), 1409. https://doi.org/10.3390/agronomy10091409

