Long-Term Effect of Manure and Mineral Fertilizer Application Rate on Maize Yield and Accumulated Nutrients Use Efficiencies in North China Plain
Abstract
1. Introduction
2. Materials and Methods
2.1. Study Site
2.2. Experimental Design and Field Management
2.3. Sampling and Measurements
2.4. Calculation and Statistical Analysis
3. Results
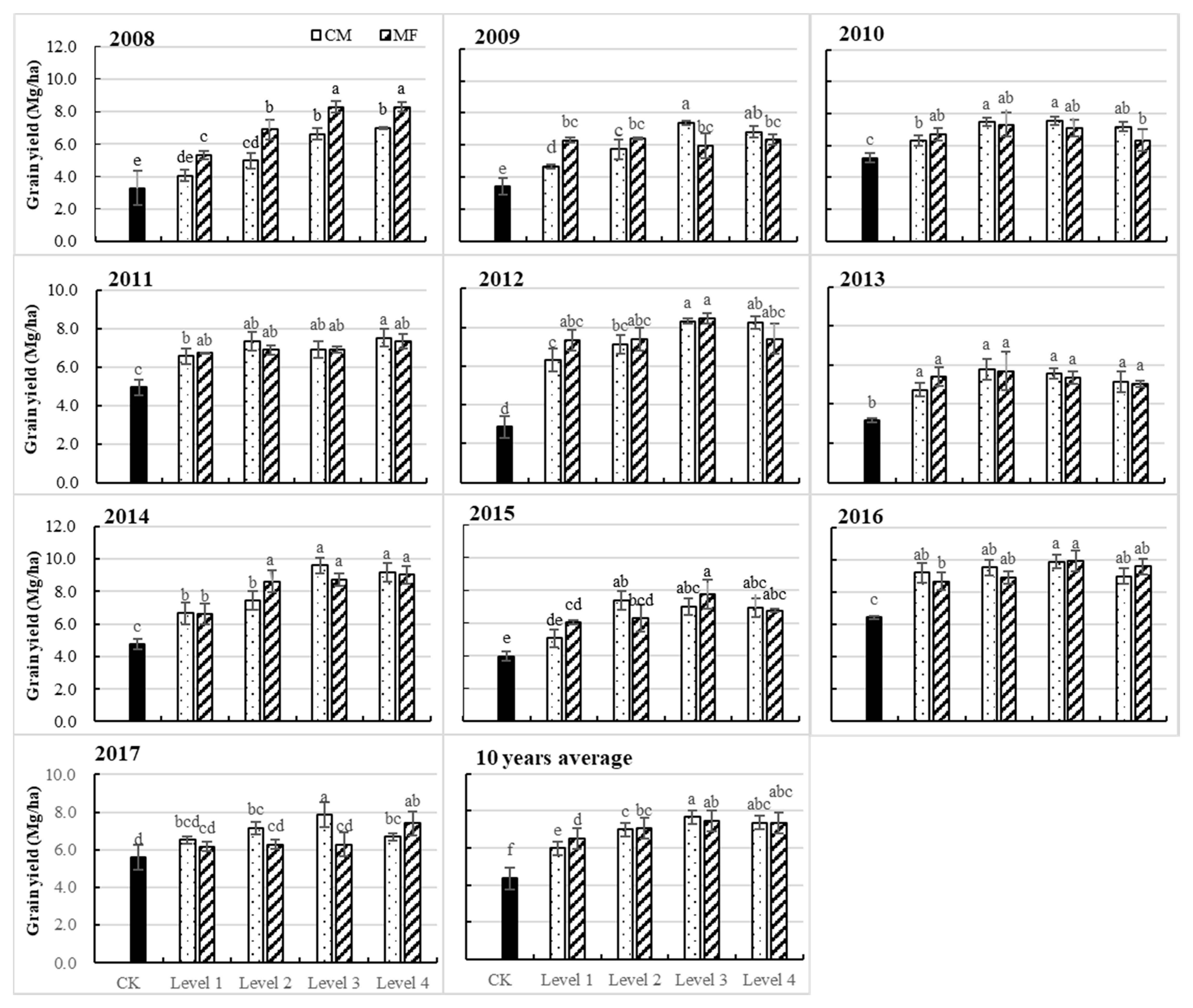
3.1. Grain Yield
3.2. Nutrient Content
3.3. Nutrients Uptake
3.4. Accumulated Nutrients Use Efficiencies
3.5. Soil Nutrients
4. Discussion
4.1. Response of Yield to Fertilizer Treatments
4.2. Accumulated Nutrients Use Efficiencies
4.3. Nutrient Balance and Loss
5. Conclusions
Supplementary Materials
Author Contributions
Funding
Acknowledgments
Conflicts of Interest
References
- National Bureau of Statistics (NSB). 2019. Available online: http://www.stats.gov.cn/ (accessed on 25 April 2020).
- Gong, P.; Liang, L.; Zhang, Q. China must reduce fertilizer use too. Nature 2011, 473, 284–285. [Google Scholar] [CrossRef]
- Zhen, L.; Zoebisch, M.A.; Chen, G.; Feng, Z. Sustainability of farmers’ soil fertility management practices: A case study in the North China Plain. J. Environ. Manag. 2006, 79, 409–419. [Google Scholar] [CrossRef]
- Wang, Y.; Yuchun, Z.; Zhang, S.; Wang, Y. What could promote farmers to replace chemical fertilizers with organic fertilizers? J. Clean. Prod. 2018, 199, 882–890. [Google Scholar] [CrossRef]
- Bao, W.; Yang, Y.; Fu, T.; Xie, G.-H. Estimation of livestock excrement and its biogas production potential in China. J. Clean. Prod. 2019, 229, 1158–1166. [Google Scholar] [CrossRef]
- Cai, A.; Xu, M.; Wang, B.; Zhang, W.; Liang, G.; Hou, E.; Luo, Y. Manure acts as a better fertilizer for increasing crop yields than synthetic fertilizer does by improving soil fertility. Soil Tillage Res. 2019, 189, 168–175. [Google Scholar] [CrossRef]
- Xia, L.; Lam, S.K.; Yan, X.; Chen, D. How Does Recycling of Livestock Manure in Agroecosystems Affect Crop Productivity, Reactive Nitrogen Losses, and Soil Carbon Balance? Environ. Sci. Technol. 2017, 51, 7450–7457. [Google Scholar] [CrossRef]
- Ghimire, R.; Machado, S.; Bista, P. Soil pH, Soil Organic Matter, and Crop Yields in Winter Wheat-Summer Fallow Systems. Agron. J. 2017, 109, 706–717. [Google Scholar] [CrossRef]
- Tang, H.; Xiao, X.; Tang, W.; Li, C.; Wang, K.; Li, W.; Cheng, K.; Pan, X. Long-term effects of NPK fertilizers and organic manures on soil organic carbon and carbon management index under a double-cropping rice system in Southern China. Commun. Soil Sci. Plant Anal. 2018, 49, 1976–1989. [Google Scholar] [CrossRef]
- Gai, X.; Liu, H.; Liu, J.; Zhai, L.; Yang, B.; Wu, S.; Ren, T.; Lei, Q.; Wang, H. Long-term benefits of combining chemical fertilizer and manure applications on crop yields and soil carbon and nitrogen stocks in North China Plain. Agric. Water Manag. 2018, 208, 384–392. [Google Scholar] [CrossRef]
- Liu, S.; Zhang, H.; Liu, Q.J.; Zong, H.; Yu, X. Effect of long-term application of manure and nitrogen fertilizer on infiltration for a wheat-maize rotation system. Land Degrad. Dev. 2018, 29, 3250–3261. [Google Scholar] [CrossRef]
- Gattinger, A.; Muller, A.; Haeni, M.; Skinner, C.; Fliessbach, A.; Buchmann, N.; Mäder, P.; Stolze, M.; Smith, P.; Scialabba, N.E.-H.; et al. Enhanced top soil carbon stocks under organic farming. Proc. Natl. Acad. Sci. USA 2012, 109, 18226–18231. [Google Scholar] [CrossRef] [PubMed]
- Hu, C.; Xia, X.; Han, X.; Chen, Y.; Qiao, Y.; Liu, D.; Li, S. Soil organic carbon sequestration as influenced by long-term manuring and fertilization in the rice-wheat cropping system. Carbon Manag. 2018, 9, 619–629. [Google Scholar] [CrossRef]
- Su, Y.-Z.; Wang, F.; Suo, D.-R.; Zhang, Z.-H.; Du, M.-W. Long-term effect of fertilizer and manure application on soil-carbon sequestration and soil fertility under the wheat–wheat–maize cropping system in northwest China. Nutr. Cycl. Agroecosyst. 2006, 75, 285–295. [Google Scholar] [CrossRef]
- Jokela, W.E. Nitrogen Fertilizer and Dairy Manure Effects on Corn Yield and Soil Nitrate. Soil Sci. Soc. Am. J. 1992, 56, 148–154. [Google Scholar] [CrossRef]
- Jiang, H.; Han, X.; Zou, W.; Hao, X.; Zhang, B. Seasonal and long-term changes in soil physical properties and organic carbon fractions as affected by manure application rates in the Mollisol region of Northeast China. Agric. Ecosyst. Environ. 2018, 268, 133–143. [Google Scholar] [CrossRef]
- Bao, S. Soil Agrochemical Analysis; China Agricultural Press: Beijing, China, 2000; pp. 25–114. (In Chinese) [Google Scholar]
- Wolf, B. A comprehensive system of leaf analyses and its use for diagnosing crop nutrient status. Commun. Soil Sci. Plant Anal. 1982, 13, 1035–1059. [Google Scholar] [CrossRef]
- Horowitz, W. Official Methods of Analysis, 11th ed.; The Association of Official Agricultural Chemists: Washington, DC, USA, 1970. [Google Scholar]
- Jackson, M. Soil Chemical Analysis; Prentice Hall Inc.: Englewood Cliffs, NJ, USA, 1958; pp. 183–204. [Google Scholar]
- Olsen, S.R.; Cole, C.V.; Watanabe, F.S.; Dean, L.A. Estimation of Available Phosphorus in Soils by Extraction with Sodium Bicarbonate; Circular No. 939, 1–19; U.S. Government Printing Office: Washington, DC, USA, 1954.
- Knudsen, D.; Peterson, G.; Pratt, P. Lithium, sodium, and potassium. In Methods of Soil Analysis: Part 2 Chemical and Microbiological Properties; Monograph Number 9; ASA: Madison, WI, USA, 1983; Volume 9, pp. 225–246. [Google Scholar]
- Zhao, S.; Qiu, S.; Cao, C.; Zheng, C.; Zhou, W.; He, P. Responses of soil properties, microbial community and crop yields to various rates of nitrogen fertilization in a wheat–maize cropping system in north-central China. Agric. Ecosyst. Environ. 2014, 194, 29–37. [Google Scholar] [CrossRef]
- Zhao, B.; Li, X.; Liu, H.; Wang, B.; Zhu, P.; Huang, S.-M.; Bao, D.; Li, Y.; So, H. Results from long-term fertilizer experiments in China: The risk of groundwater pollution by nitrate. NJAS Wagening. J. Life Sci. 2011, 58, 177–183. [Google Scholar] [CrossRef]
- Yang, Z.C.; Zhou, L.-D.; Lv, Y.Z.; Li, H. Long-Term Effects of Crop Residual and Inorganic Fertilizers on Yield and Soil Organic Matter for a Winter Wheat-Maize System in North China Plain. Adv. Mater. Res. 2011, 356, 2523–2530. [Google Scholar] [CrossRef]
- Zhang, H.; Yu, X.; Jin, Z.; Zheng, W.; Zhai, B.; Li, Z. Improving grain yield and water use efficiency of winter wheat through a combination of manure and chemical nitrogen fertilizer on the Loess plateau, China. J. Soil Sci. Plant Nutr. 2017, 17, 461–474. [Google Scholar] [CrossRef]
- Xin, X.; Qin, S.; Zhang, J.; Zhu, A.; Yang, W.; Zhang, X. Yield, phosphorus use efficiency and balance response to substituting long-term chemical fertilizer use with organic manure in a wheat-maize system. Field Crop. Res. 2017, 208, 27–33. [Google Scholar] [CrossRef]
- Berry, P.; Sylvester-Bradley, R.; Philipps, L.; Hatch, D.; Cuttle, S.; Rayns, F.; Gosling, P. Is the productivity of organic farms restricted by the supply of available nitrogen? Soil Use Manag. 2002, 18, 248–255. [Google Scholar] [CrossRef]
- Zhao, Y.; Wang, P.; Li, J.; Chen, Y.; Ying, X.; Liu, S. The effects of two organic manures on soil properties and crop yields on a temperate calcareous soil under a wheat–maize cropping system. Eur. J. Agron. 2009, 31, 36–42. [Google Scholar] [CrossRef]
- Liu, E.; Yan, C.; Mei, X.; He, W.; Bing, S.H.; Ding, L.; Liu, Q.; Liu, S.; Fan, T. Long-term effect of chemical fertilizer, straw, and manure on soil chemical and biological properties in northwest China. Geoderma 2010, 158, 173–180. [Google Scholar] [CrossRef]
- Zhang, X.; Fang, Q.; Zhang, T.; Ma, W.; Velthof, G.L.; Hou, Y.; Oenema, O.; Zhang, F. Benefits and trade-offs of replacing synthetic fertilizers by animal manures in crop production in China: A meta-analysis. Glob. Chang. Boil. 2019, 26, 888–900. [Google Scholar] [CrossRef]
- Fan, F.; Henriksen, C.B.; Porter, J. Long-term effects of conversion to organic farming on ecosystem services—A model simulation case study and on-farm case study in Denmark. Agroecol. Sustain. Food Syst. 2017, 42, 504–529. [Google Scholar] [CrossRef]
- Kato, Y.; Yamagishi, J. Long-term effects of organic manure application on the productivity of winter wheat grown in a crop rotation with maize in Japan. Field Crop. Res. 2011, 120, 387–395. [Google Scholar] [CrossRef]
- Duan, Y.; Xu, M.; Gao, S.; Yang, X.; Huang, S.; Liu, H.; Wang, B. Nitrogen use efficiency in a wheat–corn cropping system from 15 years of manure and fertilizer applications. Field Crop. Res. 2014, 157, 47–56. [Google Scholar] [CrossRef]
- Vanlauwe, B.; Kihara, J.; Chivenge, P.; Pypers, P.; Coe, R.; Six, J. Agronomic use efficiency of N fertilizer in maize-based systems in sub-Saharan Africa within the context of integrated soil fertility management. Plant Soil 2010, 339, 35–50. [Google Scholar] [CrossRef]
- Ju, X.; Gu, B. Indexes of nitrogen management. Acta Pedol. Sin. 2017, 54, 281–296. [Google Scholar]
- Zhong, X.; Zhao, X.; Bao, H.; Li, H.; Li, G.; Lin, Q. The evaluation of phosphorus leaching risk of 23 Chinese soils I. Leaching criterion. Acta Ecol. Sin. 2014, 24, 2275–2280. [Google Scholar]





| Soil Layer | Organic Matter | Total N | Total P | Total K | Olsen-P | Available K | pH |
|---|---|---|---|---|---|---|---|
| cm | g kg−1 | g kg−1 | g kg−1 | g kg−1 | mg kg−1 | mg kg−1 | |
| 0–20 | 14.3 | 0.8 | 0.8 | 18.1 | 11.1 | 122.0 | 8.2 |
| Nutrient | 2008 | 2009 | 2010 | 2011 | 2012 | 2013 | 2014 | 2015 | 2016 | 2017 | Average |
|---|---|---|---|---|---|---|---|---|---|---|---|
| N | 64.0 | 63.0 | 45.0 | 68.0 | 79.1 | 51.4 | 46.0 | 42.0 | 57.0 | 40.2 | 55.6 |
| P2O5 | 71.0 | 59.1 | 33.0 | 26.1 | 33.4 | 50.2 | 63.2 | 23.5 | 42.4 | 34.1 | 43.6 |
| K2O | 82.1 | 59.1 | 67.0 | 48.0 | 32.4 | 42.2 | 54.2 | 28.3 | 52.5 | 37.7 | 50.4 |
| Level 1 | Level 2 | Level 3 | Level 4 | ||||||
|---|---|---|---|---|---|---|---|---|---|
| Year | CK | CM | MF | CM | MF | CM | MF | CM | MF |
| 1000-kernel weight (g) | |||||||||
| 2008 | 207.6 b | 213.1 b | 246.4 a | 226.1 a,b | 255.2 a | 250.9 a | 255.4 a | 241.2 a | 248.6 a |
| 2009 | 227.2 | 244.2 | 260.8 | 252.2 | 263.4 | 262.7 | 256.4 | 256.3 | 265.1 |
| 2010 | 247.2 b | 269.2 a,b | 289.8 a | 275.4 a,b | 278.4 a,b | 270.9 a,b | 259.9 a,b | 261.4 a,b | 270 a,b |
| 2011 | 236.1 d | 246.8 b,c,d | 251.1 a,b,c | 243.2 c,d | 255.1 a,b,c | 258.4 a,b | 262.6 a | 255.8 a,b,c | 264.6 a |
| 2012 | 233.2 c | 264.2 b | 273.7 a,b | 281.3 a,b | 282.6 a,b | 288.6 a,b | 264.8 a | 283.9 a,b | 295.2 a |
| 2013 | 224.6 | 225.0 | 221.5 | 228.7 | 208.4 | 220.4 | 207.5 | 214.7 | 214.0 |
| 2014 | 240.1 b | 266.4 a | 267.2 a | 271.4 a | 261.7 a | 264.1 a | 268.3 a | 263.7 a | 269.1 a |
| 2015 | 230.0 c | 255.7 b | 259.5 a,b | 275.5 a | 270.2 a,b | 263.0 a,b | 277.0 a | 256.2 b | 276 a |
| 2016 | 247.0 | 266.1 | 280.3 | 249.4 | 263.5 | 252.2 | 275.9 | 248.5 | 250.0 |
| 2017 | 270.1 | 282.8 | 280.5 | 301.5 | 275.2 | 295.5 | 294.6 | 293.6 | 297.9 |
| mean | 237.3 | 254.4 | 263.3 | 261.4 | 261.1 | 262.7 | 262.9 | 257.7 | 265.0 |
| Kernel number per ear | |||||||||
| 2008 | 362 b | 432 a | 433 a | 462 a | 479 a | 480 a | 466 a | 499 a | 460 a |
| 2009 | 272 d | 340.5 c | 359 b,c | 407 a,b | 407 a,b | 432 a | 426 a | 433 a | 427 a |
| 2010 | 432 c | 452 b,c | 444 b,c | 485 a,b,c | 490 a,b | 500 ab | 491 a,b | 515 a | 478 a,b,c |
| 2011 | 395 b | 471 a | 479 a | 488 a | 472 a | 475 a | 478 a | 483 a | 464 a |
| 2012 | 263 d | 393 c | 398 c | 437 b,c | 498 a,b | 490 a,b | 453 a,b,c | 523 a | 463 a,b,c |
| 2013 | 308 c | 397 b | 418 b,c | 440 a,b | 465 a | 470 a | 447 a,b | 477 a | 446 a,b |
| 2014 | 278 c | 365 b | 366 b | 420 a,b | 441 a | 475 a | 460 a | 462 a | 489 a |
| 2015 | 243 d | 277 c,d | 313 b,c | 380 a,b | 336 a,b,c | 373 a,b | 391 a | 381 a,b | 368 a,b |
| 2016 | 350 c | 477 a,b | 463 b | 518 a,b | 485 a,b | 505 a,b | 505 a,b | 474 a,b | 531 a |
| 2017 | 293 | 337 | 318 | 329 | 345 | 374 | 335 | 310 | 357 |
| mean | 320 | 396 | 400 | 437 | 442 | 458 | 445 | 453 | 450 |
| Harvest ear density | |||||||||
| 2011 | 7.13 | 7.48 | 7.44 | 7.44 | 7.43 | 7.3 | 7.07 | 7.46 | 7.41 |
| 2012 | 7.31 | 7.20 | 7.45 | 7.53 | 7.34 | 7.34 | 7.42 | 7.31 | 7.48 |
| 2013 | 6.97 | 6.58 | 6.67 | 6.17 | 6.61 | 5.97 | 6.44 | 6.56 | 6.53 |
| 2014 | 7.67 a,b | 8.03 a | 7.94 a | 7.17 c | 7.56 a,b,c | 7.83 b,c | 7.42 a,b | 7.69 a,b | 7.58 a,b,c |
| 2015 | 7.47 | 7.42 | 7.47 | 7.14 | 6.86 | 7.36 | 7.22 | 7.33 | 6.92 |
| 2016 | 7.92 | 7.50 | 7.28 | 7.47 | 7.25 | 7.72 | 7.31 | 7.64 | 7.81 |
| 2017 | 7.81 a | 7.64 a,b | 7.86 a | 7.78 a | 6.98 b | 7.84 a | 7.34 a,b | 7.20 a,b | 7.28 a,b |
| mean | 7.47 | 7.41 | 7.44 | 7.24 | 7.15 | 7.34 | 7.17 | 7.31 | 7.29 |
| Item | Plant Part | Treatments | ||||||||
|---|---|---|---|---|---|---|---|---|---|---|
| CK | Level 1 | Level 2 | Level 3 | Level 4 | ||||||
| CM | MF | CM | MF | CM | MF | CM | MF | |||
| N content | Grain | 9.32 f | 10.05 e,f | 10.51 d,e | 11.12 c,d | 11.81 b,c | 11.74 b,c | 12.63 a,b | 12.45 a,b | 12.88 a |
| (g kg−1) | Straw | 5.24 h | 5.79 g,h | 6.19 f,g | 6.81 e,f | 7.74 c,d | 7.06 d,e | 8.56 a,b | 8.11 b,c | 9.26 a |
| N uptake | Grain | 41.31 f | 61.60 e | 68.92 d,e | 78.48 c,d | 83.39 b,c | 90.16 a,b | 93.58 a,b | 91.35 a,b | 94.39 a |
| (kg ha−1) | Straw | 25.83 g | 37.78 f | 40.93 e,f | 49.26 d,e | 58.42 c,d | 51.29 c,d | 70.43 a | 60.58 b,c | 69.21 a,b |
| P content | Grain | 2.54 a,b | 2.73 a | 2.42 b | 2.56 a,b | 2.41 a,b | 2.67 a,b | 2.53 a,b | 2.68 a,b | 2.54 a,b |
| (g kg−1) | Straw | 1.03 b | 1.28 a | 0.67 d | 0.92 b,c | 0.78 c,d | 0.98 b,c | 0.76 c,d | 0.96 b,c | 0.82 b,c,d |
| P uptake | Grain | 10.91 e | 16.53 c,d | 15.77 d | 17.70 b,c,d | 17.02 b,c,d | 20.48 a | 19.01 a,b,c | 19.65 a,b | 18.78 a,b,c |
| (kg ha−1) | Straw | 4.77 c,d | 7.83 a | 4.38 c,d | 6.11 b,c | 5.87 b,c | 6.63 a,b | 6.31 b | 6.85 a,b | 6.12 b,c |
| K content | Grain | 2.44 | 2.55 | 2.49 | 2.46 | 2.56 | 2.44 | 2.54 | 2.50 | 2.58 |
| (g kg−1) | Straw | 14.06 e | 15.88 d,e | 15.80 d,e | 17.87 b,c,d | 17.51 c,d | 18.42 a,b,c,d | 19.28 a,b,c | 20.30 a,b | 20.67 a |
| K uptake | Grain | 10.80 b | 15.49 a | 16.10 a | 17.30 a | 18.13 a | 18.72 a | 19.41 a | 18.49 a | 19.60 a |
| (kg ha−1) | Straw | 70.12 e | 101.7 d | 107.97 c,d | 125.72 b,c,d | 130.75 b,c | 130.82 a,b | 160.10 a | 149.40 a,b | 150.65 a,b |
© 2020 by the authors. Licensee MDPI, Basel, Switzerland. This article is an open access article distributed under the terms and conditions of the Creative Commons Attribution (CC BY) license (http://creativecommons.org/licenses/by/4.0/).
Share and Cite
Fan, F.; Zhang, H.; Alandia, G.; Luo, L.; Cui, Z.; Niu, X.; Liu, R.; Zhang, X.; Zhang, Y.; Zhang, F. Long-Term Effect of Manure and Mineral Fertilizer Application Rate on Maize Yield and Accumulated Nutrients Use Efficiencies in North China Plain. Agronomy 2020, 10, 1329. https://doi.org/10.3390/agronomy10091329
Fan F, Zhang H, Alandia G, Luo L, Cui Z, Niu X, Liu R, Zhang X, Zhang Y, Zhang F. Long-Term Effect of Manure and Mineral Fertilizer Application Rate on Maize Yield and Accumulated Nutrients Use Efficiencies in North China Plain. Agronomy. 2020; 10(9):1329. https://doi.org/10.3390/agronomy10091329
Chicago/Turabian StyleFan, Fan, Hongyan Zhang, Gabriela Alandia, Laichao Luo, Zhenling Cui, Xinsheng Niu, Ruili Liu, Xiaoning Zhang, Yu Zhang, and Fusuo Zhang. 2020. "Long-Term Effect of Manure and Mineral Fertilizer Application Rate on Maize Yield and Accumulated Nutrients Use Efficiencies in North China Plain" Agronomy 10, no. 9: 1329. https://doi.org/10.3390/agronomy10091329
APA StyleFan, F., Zhang, H., Alandia, G., Luo, L., Cui, Z., Niu, X., Liu, R., Zhang, X., Zhang, Y., & Zhang, F. (2020). Long-Term Effect of Manure and Mineral Fertilizer Application Rate on Maize Yield and Accumulated Nutrients Use Efficiencies in North China Plain. Agronomy, 10(9), 1329. https://doi.org/10.3390/agronomy10091329

