The Effects of Flood, Drought, and Flood Followed by Drought on Yield in Cotton
Abstract
1. Introduction
2. Materials and Methods
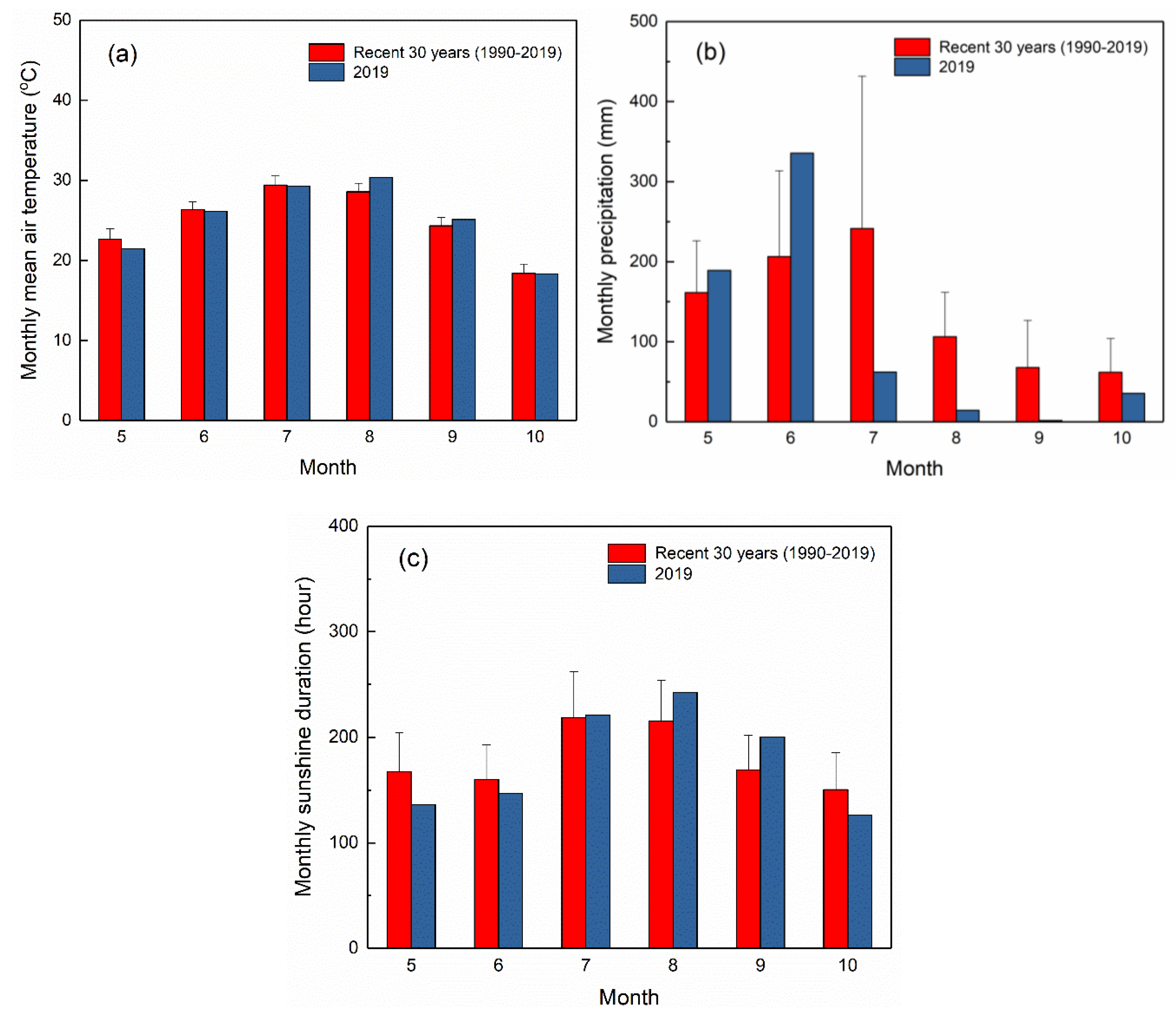
2.1. Experimental Sites
2.2. Lysimeters, Cotton Cultivars, and Field Management
2.3. Lysimeter Experimental Design
2.4. Data Collection
2.4.1. Cotton Yield Indices
2.4.2. Soil Moisture and Water Tables
2.5. Data Analyses
3. Results
3.1. Responses of Cotton Yield Indices under Different Water Stress Treatments
3.2. Associations between Seed Cotton Yield and Relevant Yield Indices under Various Water Regimes
3.3. The Different Yield-Reducing Effects of Flood Alone and Drought Alone
3.4. The Yield-Reducing Effect of Flood Followed by Drought
4. Discussion
5. Conclusions
Author Contributions
Funding
Acknowledgments
Conflicts of Interest
References
- Ding, J.; Huang, Z.; Zhu, M.; Li, C.; Zhu, X.; Guo, W. Does cyclic water stress damage wheat yield more than a single stress? PLoS ONE 2018, 13, e0195535. [Google Scholar] [CrossRef] [PubMed]
- Dickin, E.; Wright, D. The effects of winter waterlogging and summer drought on the growth and yield of winter wheat (Triticum aestivum L.). Eur. J. Agron. 2008, 28, 234–244. [Google Scholar] [CrossRef]
- Wu, H.; Wang, X.G.; Xu, M.; Zhang, J.X. The effect of water deficit and waterlogging on the yield components of cotton. Crop Sci. 2018, 58, 1751–1761. [Google Scholar] [CrossRef]
- Wu, Z.W.; Li, J.P.; He, J.H.; Jiang, Z.H. Large-scale atmospheric singularities and summer long-cycle droughts-floods abrupt alternation in the middle and lower reaches of the Yangtze River. Chin. Sci. Bull. 2006, 51, 2027–2034. [Google Scholar] [CrossRef]
- Constable, G.A.; Bange, M.P. The yield potential of cotton (Gossypium hirsutum L.). Field Crop. Res. 2015, 182, 98–106. [Google Scholar] [CrossRef]
- Bange, M.P.; Milroy, S.P.; Thongbai, P. Growth and yield of cotton in response to waterlogging. Field Crop. Res. 2004, 88, 129–142. [Google Scholar] [CrossRef]
- Ullah, A.; Sun, H.; Yang, X.; Zhang, X.L. Drought coping strategies in cotton: Increased crop per drop. Plant Biotechnol. 2017, 15, 271–284. [Google Scholar] [CrossRef]
- Singh, R.P.; Prasad, P.V.V.; Sunita, K.; Giri, S.N.; Reddy, K.R. Influence of high temperature and breeding for heat tolerance in cotton: A Review. Adv. Agron. 2007, 93, 313–385. [Google Scholar]
- Najeeb, U.; Bange, M.P.; Atwell, B.J.; Tan, D.K.Y. Low incident light combined with partial waterlogging impairs photosynthesis and imposes a yield penalty in cotton. J. Agron. Crop Sci. 2016, 202, 331–341. [Google Scholar] [CrossRef]
- Dai, J.L.; Dong, H.Z. Intensive cotton farming technologies in China: Achievements, challenges and countermeasures. Field Crop. Res. 2014, 155, 99–110. [Google Scholar] [CrossRef]
- Kuai, J.; Liu, Z.W.; Wang, Y.H.; Meng, Y.; Chen, B.L.; Zhao, W.Q.; Zhou, Z.G.; Oosterhuis, D.M. Waterlogging during flowering and boll forming stages affects sucrose metabolism in the leaves subtending the cotton boll and its relationship with boll weight. Plant Sci. 2014, 223, 79–98. [Google Scholar] [CrossRef] [PubMed]
- Wang, X.; Liu, F.L.; Jiang, D. A promising strategy for crop production in response to future climate. J. Integr. Agric. 2017, 16, 2709–2716. [Google Scholar] [CrossRef]
- Qian, L.; Wang, X.G.; Luo, Y.Y.; Sun, H.W.; Luo, W.B. Responses of cotton at different growth stages to aeration stress under the influence of high temperature. Crop Sci. 2018, 58, 342–353. [Google Scholar] [CrossRef]
- Dodd, I.C.; Puértolas, J.; Huber, K.; Pérez, J.G.; Wright, H.R.; Blackwell, M.S.A. The importance of soil drying and re-wetting in crop phytohormonal and nutritional responses to deficit irrigation. J. Exp. Bot. 2015, 66, 2239–2252. [Google Scholar] [CrossRef] [PubMed]
- Shao, G.C.; Deng, S.; Liu, N.; Yu, S.E.; Wang, M.H.; She, D.L. Effects of controlled irrigation and drainage on growth, grain yield and water use in paddy rice. Eur. J. Agron. 2014, 53, 1–9. [Google Scholar] [CrossRef]
- Yao, F.; Huang, J.; Cui, K.; Nie, L.; Xiang, J.; Liu, X.; Wu, W.; Chen, M.; Peng, S. Agronomic performance of high-yielding rice variety grown under alternate wetting and drying irrigation. Field Crop. Res. 2012, 126, 16–22. [Google Scholar] [CrossRef]
- Huang, J.; Hu, T.S.; Yasir, M.; Gao, Y.; Chen, C.; Zhu, R.; Wang, X.; Yuan, H.W.; Yang, J.W. Root growth dynamics and yield responses of rice (Oryza sativa L.) under drought-flood abrupt alternating conditions. Environ. Exp. Bot. 2019, 157, 11–25. [Google Scholar] [CrossRef]
- Gales, K.; Ayling, S.M.; Cannell, R.Q. Effects of waterlogging and drought on winter wheat and winter barley grown on a clay and sandy loam soil. Plant Soil 1984, 80, 67–78. [Google Scholar] [CrossRef]
- Jaiphong, T.; Tominaga, J.; Watanabe, K.; Nakabaru, M.; Takaragawa, H.; Suwa, R.; Ueno, M.; Kawamistu, Y. Effects of duration and combination of drought and flood conditions on leaf photosynthesis, growth and sugar content in sugarcane. Plant Prod. Sci. 2016, 19, 427–437. [Google Scholar] [CrossRef]
- Liu, R.X.; Yang, C.Q.; Zhang, G.W.; Zhang, L.; Yang, F.Q.; Guo, W.Q. Root recovery development and activity of cotton plants after waterlogging. Agron. J. 2015, 107, 2038–2046. [Google Scholar] [CrossRef]
- Luo, H.H.; Yong, H.H.; Zhang, Y.L.; Zhang, W.F. Effects of water stress and rewatering on photosynthesis, root activity, and yield of cotton with drip irrigation under mulch. Photosynthetica 2016, 54, 65–73. [Google Scholar] [CrossRef]
- Reicosky, D.C.; Meyer, W.S.; Schaefer, N.L.; Sides, R.D. Cotton response to short-term waterlogging imposed with a water-table gradient facility. Agric. Water Manag. 1985, 10, 127–143. [Google Scholar] [CrossRef]
- Pettigrew, W.T. Physiological consequences of moisture deficit stress in cotton. Crop Sci. 2004, 44, 1265–1272. [Google Scholar] [CrossRef]
- Zhang, Y.J.; Song, X.Z.; Yang, G.Z.; Li, Z.H.; Lu, H.Q.; Kong, X.Q.; Eneji, A.E.; Dong, H.Z. Physiological and molecular adjustment of cotton to waterlogging at peak-flowering in relation to growth and yield. Field Crop. Res. 2015, 179, 164–172. [Google Scholar] [CrossRef]
- Zahoor, R.; Zhao, W.Q.; Dong, H.R.; Snider, J.L.; Zhou, Z.G. Potassium improves photosynthetic tolerance to and recovery from episodic drought stress in functional leaves of cotton (Gossypium hirsutum L.). Plant Physiol. Biochem. 2017, 119, 21–32. [Google Scholar] [CrossRef]
- Zhang, Y.J.; Chen, Y.Z.; Lu, H.Q.; Kong, X.Q.; Dai, J.L.; Li, Z.H.; Dong, H.Z. Growth, lint yield and changes in physiological attributes of cotton under temporal waterlogging. Field Crop. Res. 2016, 194, 83–93. [Google Scholar] [CrossRef]
- Kuai, J.; Zhou, Z.G.; Wang, Y.H.; Meng, Y.L.; Chen, B.L.; Zhao, W.Q. The effects of short-term waterlogging on the lint yield and yield components of cotton with respect to boll position. Eur. J. Agron. 2015, 67, 61–74. [Google Scholar] [CrossRef]
- Alishah, O.; Ahmadikhah, A. The effects of drought stress on improved cotton varieties in Golesatn province of Iran. Int. J. Plant Prod. 2009, 3, 1735–6814. [Google Scholar]
- Wang, R.; Ji, S.; Zhang, P.; Meng, Y.L.; Wang, Y.H.; Chen, B.L.; Zhou, Z.Z. Drought effects on cotton yield and fiber quality on different fruiting branches. Crop Sci. 2016, 56, 1265–1276. [Google Scholar] [CrossRef]
- Najeeb, U.; Bange, M.P.; Tan, D.K.Y.; Atwell, B.J. Consequences of waterlogging in cotton and opportunities for mitigation of yield losses. AoB Plants 2015, 7, plv080. [Google Scholar] [CrossRef]
- Qian, L.; Wang, X.G.; Luo, W.B.; Jia, W.; Wu, L. Yield reduction analysis and determination of drainage index in cotton under waterlogging followed by submergence. Trans. Chin. Soc. Agric. Eng. 2015, 31, 89–97. [Google Scholar] [CrossRef]
- Yang, C.J.; Luo, Y.; Sun, L.; Wu, N. Effect of deficit irrigation on the growth, water use characteristics and yield of cotton in arid northwest China. Pedosphere 2015, 26, 910–924. [Google Scholar] [CrossRef]
- Zhang, Y.J.; Dong, H.Z. Mechanisms for adapting to waterlogging stress in cotton. Cotton Sci. 2015, 27, 80–88. [Google Scholar]
- Basal, H.; Dagdelen, N.; Unay, A.; Yilmaz, E. Effects of deficit drip irrigation ratios on cotton (Gossypium hirsutum L.) yield and fibre quality. J. Agron. Crop Sci. 2009, 195, 19–29. [Google Scholar] [CrossRef]
- Wang, X.S.; Zhong, D.; Zhang, W.Z.; Meng, Z.J.; Xiao, C.; Lv, M.C. Effect of waterlogging duration at different growth stages on the growth, yield and quality of cotton. PLoS ONE 2017, 12, e0169029. [Google Scholar] [CrossRef] [PubMed]
- Staff, S.S. Keys to Soil Taxonomy; U.S. Department of Agriculture Natural Resources Consevation Service: Washington, DC, USA, 2010; p. 329. [Google Scholar]
- Qian, L.; Wang, X.G.; Luo, W.B.; Qi, Z.M.; Sun, H.W.; Luo, Y.Y. An improved CROPR model for estimating cotton yield under soil aeration stress. Crop Pasture Sci. 2017, 68, 366–377. [Google Scholar] [CrossRef]
- Ding, J.F.; Liang, P.; Wu, P.; Zhu, M.; Li, C.Y.; Zhu, X.K.; Guo, W.S. Identifying the critical stage near anthesis for waterlogging on wheat yield and its components in the Yangtze River Basin, China. Agronomy 2020, 10, 130. [Google Scholar] [CrossRef]
- Shaw, R.E.; Meyer, W.S. Improved empirical representation of plant responses to waterlogging for simulating crop yield. Agron. J. 2015, 107, 1711–1723. [Google Scholar] [CrossRef]
- Evans, R.O.; Skaggs, R.W.; Sneed, R.E. Normalized crop susceptibility factors for corn and soyabean to excess water stress. Trans. ASAE 1990, 33, 1153–1161. [Google Scholar] [CrossRef]
- Milroy, S.P.; Bange, M.P. Reduction in radiation use efficiency of cotton (Gossypium hirsutum L.) under repeated transient waterlogging in the field. Field Crop. Res. 2013, 140, 51–58. [Google Scholar] [CrossRef]
- Feddes, R.A.; Kowalik, P.J.; Zaradny, H. Simulation of Field Water Use and Crop Yield; Centre for Agricultural Publishing and Documentation: Wageningen, The Netherlands, 1978. [Google Scholar]
- Ünlü, M.; Kanber, R.; Koc, D.L.; Tekin, S.; Kapur, B. Effects of deficit irrigation on the yield and yield components of drip irrigated cotton in a mediterranean environment. Agric. Water Manag. 2011, 98, 597–605. [Google Scholar] [CrossRef]
- Snowden, C.; Ritchie, G.; Cave, J.; Keeling, W.; Nithya, R. Multiple irrigation levels affect boll distribution, yield, and fiber micronaire in cotton. Agron. J. 2013, 105, 1536–1544. [Google Scholar] [CrossRef]
- Niu, J.; Zhang, S.P.; Liu, S.D.; Ma, H.J.; Chen, J.; Shen, Q.; Ge, C.W.; Zhang, X.M.; Pang, C.Y.; Zhao, X.H. The compensation effects of physiology and yield in cotton after drought stress. J. Plant Physiol. 2018, 224, 30–48. [Google Scholar] [CrossRef] [PubMed]
- Mustroph, A. Improving flooding tolerance of crop plants. Agronomy 2018, 8, 160. [Google Scholar] [CrossRef]
- Ministry of Housing and Urban-Rural Development of the People’s Republic of China. Design and standard for irrigation and drainage engineering. 2018. Available online: http://www.mohurd.gov.cn/wjfb/201904/t20190402_240004.html (accessed on 1 November 2018).
- Huang, G.H. Modeling soil water regime and corn yields considering climatic uncertainty. Plant Soil 2004, 259, 221–229. [Google Scholar] [CrossRef]
- Akinola, O.A.; Olufayo, A.A.; Oguntunde, P.G. Dynamic crop water production model of plantain yield response to water. Am. J. Exp. Agric. 2014, 4, 1544–1556. [Google Scholar] [CrossRef]
- Ran, H.; Kang, S.Z.; Hu, X.T.; Li, F.S.; Du, T.S.; Tong, L.; Li, S.; Ding, R.S.; Zhou, Z.J.; Parsons, D. Newly developed water productivity and harvest index models for maize in an arid region. Field Crop. Res. 2019, 234, 73–86. [Google Scholar] [CrossRef]
- Steduto, P.; Hsiao, T.C.; Raes, D.; Fereres, E. AquaCrop—The FAO crop model to simulate yield response to water: I. Concepts and underlying principles. Agron. J. 2009, 101, 426–437. [Google Scholar] [CrossRef]






| Treatment 1 | Soil Moisture during Stress Period | Water Level during Stress Period 3 | Flood Duration (day) | Drought Duration (day) |
|---|---|---|---|---|
| FL1 | Saturation | 10 cm | 5 | 0 |
| FL2 | Saturation | 10 cm | 8 | 0 |
| DR1 | <50% FC 2 | −260 cm | 0 | 10 |
| DR2 | <50% FC | −260 cm | 0 | 15 |
| FL1-DR1 | Saturation, then <50% FC | 10 cm, then −260 cm | 5 | 10 |
| CK | 70~100% FC | −120 cm | 0 | 0 |
| Days after Flood Started | Soil Moisture Content (%) | |||||
|---|---|---|---|---|---|---|
| CK | DR1 | DR2 | FL1 | FL2 | FL1-DR1 | |
| 1 | 23.5 | 23.3 | 24.1 | 43.6 | 43.2 | 43.9 |
| 5 | 27.9 | 31.7 | 32.6 | 44.1 | 44.2 | 44.4 |
| 10 | 24.1 | 27.5 | 27.9 | 34.9 | 42.0 | 30.8 |
| 15 | 30.6 | 22.9 | 23.4 | 28.4 | 31.2 | 24.3 |
| 20 | 23.7 | 17.9 | 18.0 | 23.1 | 28.8 | 18.9 |
| 25 | 25.9 | 16.2 | 16.3 | 25.4 | 26.8 | 16.0 |
| 30 | 30.5 | 15.7 | 14.8 | 30.5 | 29.5 | 15.3 |
| 35 | 25.9 | 23.1 | 14.1 | 24.0 | 27.7 | 26.2 |
| 40 | 30.4 | 31.9 | 13.8 | 31.4 | 31.6 | 32.7 |
| 45 | 28.7 | 28.3 | 26.0 | 29.5 | 30.5 | 30.1 |
| 55 | 24.7 | 25.1 | 23.8 | 25.2 | 27.4 | 25.9 |
| 65 | 23.3 | 23.2 | 22.7 | 23.1 | 25.9 | 24.8 |
| 75 | 22.4 | 24.3 | 23.7 | 24.6 | 28.7 | 29.0 |
| Treatment 1 | Seed Cotton Yield | Dry Matter Yield | Boll Number | Boll Hull Mass | Harvest Index |
|---|---|---|---|---|---|
| DR1 | 2382.75 b,2 | 6505.54 ab | 48.67 ab | 63.63 ab | 0.37 a |
| DR2 | 2207.25 b | 6381.05 ab | 56.06 ab | 52.59 b | 0.34 a |
| FL1 | 1861.75 b | 5604.92 b | 42.83 b | 52.53 b | 0.33 a |
| FL2 | 1678.13 b | 5103.88 b | 36.42 b | 48.99 b | 0.33 a |
| FL1-DR1 | 1861.42 b | 5622.63 b | 37.11 b | 44.14 b | 0.34 a |
| CK | 3205.38 a | 7802.95 a | 64.71 a | 81.82 a | 0.41 a |
| Significance 3 | * | * | * | * | ns |
| Water Regime | SCY 1 vs. DMY | SCY vs. BHM | SCY vs. BN | SCY vs. HI | ||||
|---|---|---|---|---|---|---|---|---|
| r | p | r | p | r | p | r | p | |
| Drought alone | 0.955 ** 2 | 0.003 | 0.691 | 0.128 | 0.673 | 0.143 | 0.815 * | 0.048 |
| Flood alone | 0.735 | 0.157 | 0.942 * | 0.016 | 0.963 ** | 0.009 | 0.467 | 0.482 |
| Flood followed by drought | 0.812 * | 0.050 | 0.723 | 0.104 | 0.771 | 0.073 | 0.683 | 0.135 |
| Non-water stress | 0.996 ** | 0.004 | 0.953 * | 0.047 | 0.997 ** | 0.004 | 0.960 * | 0.040 |
© 2020 by the authors. Licensee MDPI, Basel, Switzerland. This article is an open access article distributed under the terms and conditions of the Creative Commons Attribution (CC BY) license (http://creativecommons.org/licenses/by/4.0/).
Share and Cite
Qian, L.; Chen, X.; Wang, X.; Huang, S.; Luo, Y. The Effects of Flood, Drought, and Flood Followed by Drought on Yield in Cotton. Agronomy 2020, 10, 555. https://doi.org/10.3390/agronomy10040555
Qian L, Chen X, Wang X, Huang S, Luo Y. The Effects of Flood, Drought, and Flood Followed by Drought on Yield in Cotton. Agronomy. 2020; 10(4):555. https://doi.org/10.3390/agronomy10040555
Chicago/Turabian StyleQian, Long, Xiaohong Chen, Xiugui Wang, Shuang Huang, and Yunying Luo. 2020. "The Effects of Flood, Drought, and Flood Followed by Drought on Yield in Cotton" Agronomy 10, no. 4: 555. https://doi.org/10.3390/agronomy10040555
APA StyleQian, L., Chen, X., Wang, X., Huang, S., & Luo, Y. (2020). The Effects of Flood, Drought, and Flood Followed by Drought on Yield in Cotton. Agronomy, 10(4), 555. https://doi.org/10.3390/agronomy10040555

