Interactive Effects of Biochar and Sewage Sludge on Bioavailability and Plant Uptake of Cu, Fe, and Zn, and Spinach (Spinacia oleracea L.) Yields under Wastewater Irrigation
Abstract
1. Introduction
2. Materials and Methods
2.1. Experimental Design and Trial Management
2.2. Soil, Plant, Sewage Sludge and Biochar Analysis
2.3. Biomass Yields
2.4. Statistical Analysis
3. Results
3.1. Soil, Sewage Sludge and Biochar Properties
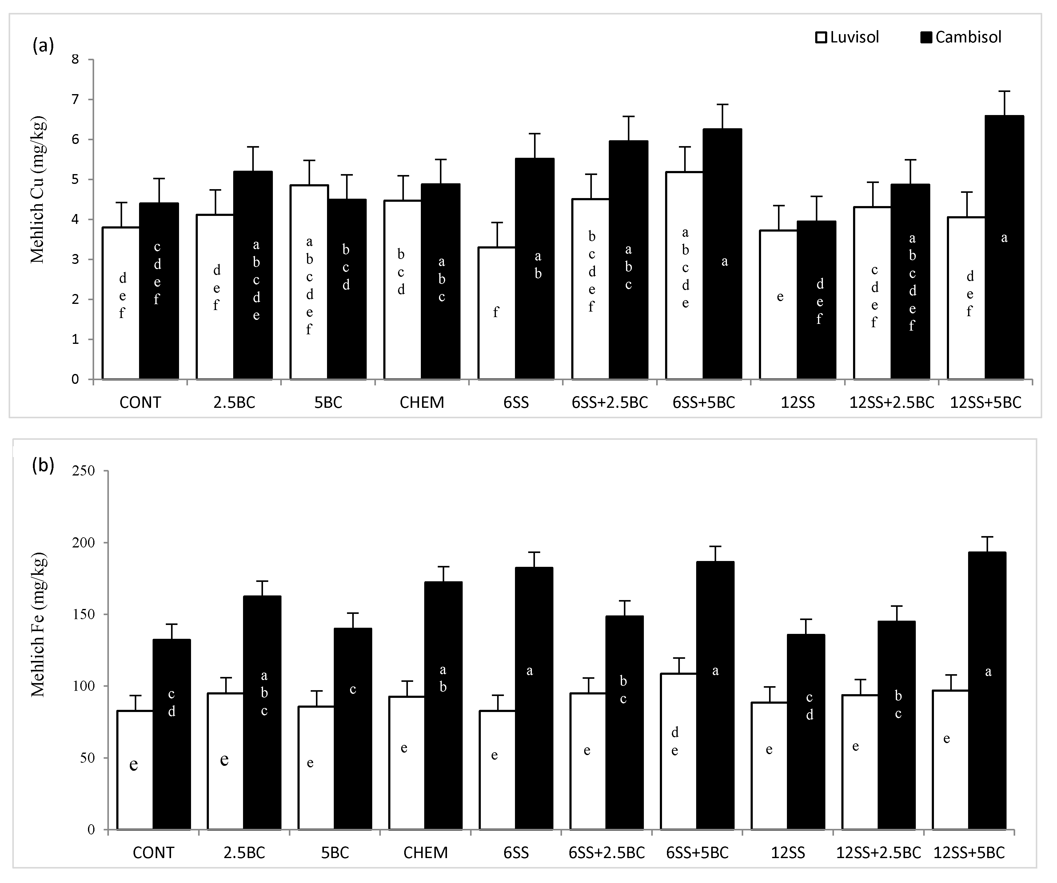
3.2. Effects of Amendments on Mehlich III Extractable Micronutrients
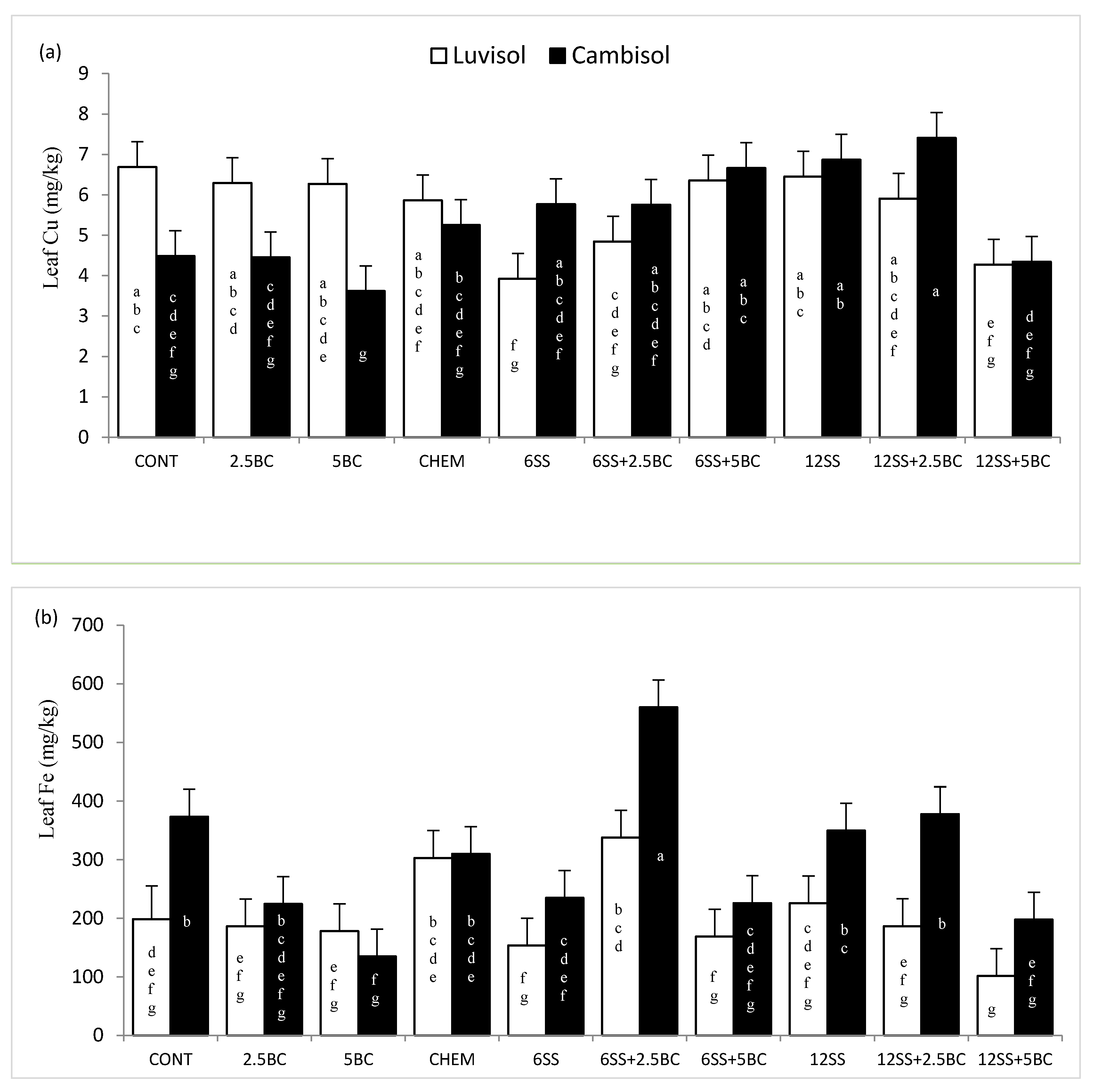
3.3. Effects of Amendments on Micronutrients in Leaf Tissues
3.4. Effects of Amendments on Spinach Yields
4. Discussion
4.1. Effects of Amendments on Bioavailability of Micronutrients
4.2. Effects of Amendments on Leaf Micronutrients’ Contents
4.3. Effects of Amendments on Spinach Yields
5. Conclusions
Author Contributions
Funding
Conflicts of Interest
References
- Eid, E.M.; El-Bebany, A.F.; Alrumman, S.A.; Hesham, A.E.-L.; Taher, M.A.; Fawy, K.F. Effects of different sewage sludge applications on heavy metal accumulation, growth and yield of spinach (Spinacia oleracea L.). Int. J. Phytoremediation 2017, 19, 340–347. [Google Scholar] [CrossRef] [PubMed]
- Dikinya, O.; Areola, O. Comparative analysis of heavy metal concentration in secondary treated wastewater irrigated soils cultivated by different crops. Int. J. Environ. Sci. Technol. 2010, 7, 337–346. [Google Scholar] [CrossRef]
- Antonious, G.F.; Kochhar, T.S.; Coolong, T. Yield, quality, and concentration of seven heavy metals in cabbage and broccoli grown in sewage sludge and chicken manure amended soil. J. Environ. Sci. Health 2012, 47, 1955–1965. [Google Scholar] [CrossRef] [PubMed]
- Kumar, V.; Chopra, A.; Srivastava, S. Assessment of heavy metals in spinach (Spinacia oleracea L.) grown in sewage sludge–amended soil. Commun. Soil Sci. Plant Anal. 2016, 47, 221–236. [Google Scholar] [CrossRef]
- Mishra, J.; Singh, R.; Arora, N.K. Alleviation of heavy metal stress in plants and remediation of soil by rhizosphere microorganisms. Front. Microbiol. 2017, 8, 1706. [Google Scholar] [CrossRef]
- Wang, Q.; Huang, Q.; Guo, G.; Qin, J.; Luo, J.; Zhu, Z.; Hong, Y.; Xu, Y.; Hu, S.; Hu, W.; et al. Reducing bioavailability of heavy metals in contaminated soil and uptake by maize using organic-inorganic mixed fertilizer. Chemosphere 2020, 261, 128122. [Google Scholar] [CrossRef]
- Yang, G.; Zhu, G.; Li, H.; Han, X.; Li, J.; Ma, Y. Accumulation and bioavailability of heavy metals in a soil-wheat/maize system with long-term sewage sludge amendments. J. Integr. Agric. 2018, 17, 1861–1870. [Google Scholar] [CrossRef]
- Karwowska, B.; Dbrowska, L. Bioavailability of heavy metals in the municipal sewage sludge. Ecol. Chem. Eng. A 2017, 24, 75–86. [Google Scholar]
- Janeeshma, E.; Puthur, J.T. Direct and indirect influence of arbuscular mycorrhizae on enhancing metal tolerance of plants. Arch. Microbiol. 2020, 202, 1–16. [Google Scholar] [CrossRef]
- Singh, S.; Parihar, P.; Singh, R.; Singh, V.P.; Prasad, S.M. Heavy Metal Tolerance in Plants: Role of Transcriptomics, Proteomics, Metabolomics, and Ionomics. Front. Plant. Sci. 2016, 6, 1143. [Google Scholar] [CrossRef]
- Hudcová, H.; Vymazal, J.; Rozkošný, M. Present restrictions of sewage sludge application in agriculture within the European Union. Soil Water Res. 2019, 14, 104–120. [Google Scholar] [CrossRef]
- Bogusz, A.; Oleszczuk, P. Effect of biochar addition to sewage sludge on cadmium, copper and lead speciation in sewage sludge-amended soil. Chemosphere 2019, 239, 1–9. [Google Scholar] [CrossRef] [PubMed]
- Antoniadis, V.; Robinson, J.; Alloway, B. Effects of short-term pH fluctuations on cadmium, nickel, lead, and zinc availability to ryegrass in a sewage sludge-amended field. Chemosphere 2008, 71, 759–764. [Google Scholar] [CrossRef] [PubMed]
- Głąb, T.; Gondek, K.; Mierzwa-Hersztek, M.; Szewczyk, W. Effects of Straw and Biochar Amendments on Grassland Productivity and Root Morphology. Agronomy 2020, 10, 1794. [Google Scholar] [CrossRef]
- Brodowski, S.; John, B.; Flessa, H.; Amelung, W. Aggregate-occluded black carbon in soil. Eur. J. Soil Sci. 2006, 57, 539–546. [Google Scholar] [CrossRef]
- Greenberg, I.; Kaiser, M.; Gunina, A.; Ledesma, P.; Polifka, S.; Wiedner, K.; Mueller, C.W.; Glaser, B.; Ludwig, B. Substitution of mineral fertilizers with biogas digestate plus biochar increases physically stabilized soil carbon but not crop biomass in a field trial. Sci. Total Environ. 2019, 680, 181–189. [Google Scholar] [CrossRef]
- Zhang, J.; Lü, F.; Shao, L.; He, P. The use of biochar-amended composting to improve the humification and degradation of sewage sludge. Bioresour. Technol. 2014, 168, 252–258. [Google Scholar] [CrossRef]
- Awasthi, M.K.; Wang, Q.; Huang, H.; Li, R.; Shen, F.; Lahori, A.H.; Wang, P.; Guo, D.; Guo, Z.; Jiang, S. Effect of biochar amendment on greenhouse gas emission and bio-availability of heavy metals during sewage sludge co-composting. J. Clean. Prod. 2016, 135, 829–835. [Google Scholar] [CrossRef]
- Malińska, K.; Golańska, M.; Caceres, R.; Rorat, A.; Weisser, P.; Ślęzak, E. Biochar amendment for integrated composting and vermicomposting of sewage sludge–the effect of biochar on the activity of Eisenia fetida and the obtained vermicompost. Bioresour. Technol. 2017, 225, 206–214. [Google Scholar] [CrossRef]
- Glaser, B.; Wiedner, K.; Seelig, S.; Schmidt, H.P.; Gerber, H. Biochar organic fertilizers from natural resources as substitute for mineral fertilizers. Agron. Sustain. Dev. 2015, 35, 667–678. [Google Scholar] [CrossRef]
- Waqas, M.; Li, G.; Khan, S.; Shamshad, I.; Reid, B.J.; Qamar, Z.; Chao, C. Application of sewage sludge and sewage sludge biochar to reduce polycyclic aromatic hydrocarbons (PAH) and potentially toxic elements (PTE) accumulation in tomato. Environ. Sci. Pollut. Res. 2015, 22, 12114–12123. [Google Scholar] [CrossRef] [PubMed]
- Gwenzi, W.; Muzava, M.; Mapanda, F.; Tauro, T.P. Comparative short-term effects of sewage sludge and its biochar on soil properties, maize growth and uptake of nutrients on a tropical clay soil in Zimbabwe. J. Integr. Agric. 2016, 15, 1395–1406. [Google Scholar] [CrossRef]
- Jatav, H.S.; Singh, S.K.; Singh, Y.; Kumar, O. Biochar and sewage sludge application increases yield and micronutrient uptake in rice (Oryza sativa L.). Commun. Soil Sci. Plant Anal. 2018, 49, 1617–1628. [Google Scholar] [CrossRef]
- Penido, E.S.; Martins, G.C.; Mendes, T.B.M.; Melo, L.C.A.; Do Rosário Guimarães, I.; Guilherme, L.R.G. Combining biochar and sewage sludge for immobilization of heavy metals in mining soils. Ecotoxicol. Environ. Saf. 2019, 172, 326–333. [Google Scholar] [CrossRef] [PubMed]
- Liang, B.; Lehmann, J.; Solomon, D.; Kinyangi, J.; Grossman, J.; O’neill, B.; Skjemstad, J.; Thies, J.; Luizao, F.; Petersen, J. Black carbon increases cation exchange capacity in soils. Soil Sci. Soc. Am. J. 2006, 70, 1719–1730. [Google Scholar] [CrossRef]
- Luo, Y.; Durenkamp, M.; De Nobili, M.; Lin, Q.; Brookes, P. Short term soil priming effects and the mineralisation of biochar following its incorporation to soils of different pH. Soil Biol. Biochem. 2011, 43, 2304–2314. [Google Scholar] [CrossRef]
- Wiedner, K.; Fischer, D.; Walther, S.; Criscuoli, I.; Favilli, F.; Nelle, O.; Glaser, B. Acceleration of biochar surface oxidation during composting? J. Agric. Food Chem. 2015, 63, 3830–3837. [Google Scholar] [CrossRef]
- Park, J.H.; Choppala, G.K.; Bolan, N.S.; Chung, J.W.; Chuasavathi, T. Biochar reduces the bioavailability and phytotoxicity of heavy metals. Plant Soil 2011, 348, 439. [Google Scholar] [CrossRef]
- Xiao, R.; Awasthi, M.K.; Li, R.; Park, J.; Pensky, S.M.; Wang, Q.; Wang, J.J.; Zhang, Z. Recent developments in biochar utilization as an additive in organic solid waste composting: A Review. Bioresour. Technol. 2017, 246, 203–213. [Google Scholar] [CrossRef]
- Kończak, M.; Oleszczuk, P. Application of biochar to sewage sludge reduces toxicity and improve organisms growth in sewage sludge-amended soil in long term field experiment. Sci. Total Environ. 2018, 625, 8–15. [Google Scholar] [CrossRef]
- Ziadi, N.; Tran, T.S. Mehlich 3-Extractable Elements. In Soil Sampling and Methods of Analysis, 2nd ed.; Carter, M.R., Gregorich, E.G., Eds.; CRC Press: Boca Raton, FL, USA, 2008; p. 81. [Google Scholar]
- Gumbara, R.H.; Darmawan; Sumawinata, B. A comparison of cation exchange capacity of organic soils determined by ammonium acetate solutions buffered at some pHs ranging between around field pH and 7.0. Earth Environ. Sci. 2019, 393, 012015. [Google Scholar] [CrossRef]
- Wang, S.; Gao, B.; Zimmerman, A.R.; Li, Y.; Ma, L.; Harris, W.G.; Migliaccio, K.W. Physicochemical and sorptive properties of biochars derived from woody and herbaceous biomass. Chemosphere 2015, 134, 257–262. [Google Scholar] [CrossRef] [PubMed]
- Dempster, D.N.; Jones, D.L.; Murphy, D.V. Clay and biochar amendments decreased inorganic but not dissolved organic nitrogen leaching in soil. Soil Res. 2012, 50, 216–221. [Google Scholar] [CrossRef]
- Van Reeuwijk, L. Particle Size Analysis. In Technical Paper 9: Procedures for Soil Analysis; International Soil Reference and Information Centre: Wageningen, The Netherlands, 2002; Available online: www.isric.org (accessed on 14 March 2018).
- Enders, A.; Lehmann, J. Comparison of wet-digestion and dry-ashing methods for total elemental analysis of biochar. Commun. Soil Sci. Plant Anal. 2012, 43, 1042–1052. [Google Scholar] [CrossRef]
- Aregahegn, Z. Optimization of the analytical method for the determination of organic matter. J. Soil Sci. Environ. Manag. 2020, 11, 1–5. [Google Scholar]
- Tisdale, S.L.; Nelson, W.L.; Beaton, J.D.; Havlin, J.L. Soil Fertility and Fertilizers; Macmillan: New York, NY, USA, 1993; pp. 304–363. ISBN 0-02-420835-3. [Google Scholar]
- Hou, S.; Zheng, N.; Tang, L.; Ji, X.; Li, Y. Effect of soil pH and organic matter content on heavy metals availability in maize (Zea mays L.) rhizospheric soil of non-ferrous metals smelting area. Environ. Monit. Assess. 2019, 191, 634. [Google Scholar] [CrossRef] [PubMed]
- Kaninga, B.K.; Chishala, B.H.; Maseka, K.K.; Sakala, G.M.; Lark, M.R.; Tye, A.; Watts, M.J. Review: Mine tailings in an African tropical environment-mechanisms for the bioavailability of heavy metals in soils. Environ. Geochem Health 2020, 42, 1069–1094. [Google Scholar] [CrossRef] [PubMed]
- Wan, Y.; Huang, Q.; Wang, Q.; Yu, Y.; Su, D.; Qiao, Y.; Li, H. Accumulation and bioavailability of heavy metals in an acid soil and their uptake by paddy rice under continuous application of chicken and swine manure. J. Hazard. Mater. 2020, 384, 1–10. [Google Scholar] [CrossRef] [PubMed]
- Xu, Y.; Liang, X.; Xu, Y.; Qin, X.; Huang, Q.; Wang, L.; Sun, Y. Remediation of Heavy Metal-Polluted Agricultural Soils Using Clay Minerals: A. Review. Pedosphere 2017, 27, 193–204. [Google Scholar] [CrossRef]
- Sauerbeck, D. Plant element and soil properties governing uptake and availability of heavy metals derived from sewage sludge. Water Air Soil Pollut. 1991, 57, 227–237. [Google Scholar] [CrossRef]
- Khan, A.Z.; Ding, X.; Khan, S.; Ayaz, T.; Fidel, R.; Khan, M.A. Biochar efficacy for reducing heavy metals uptake by Cilantro (Coriandrum sativum) and spinach (Spinaccia oleracea) to minimize human health risk. Chemosphere 2020, 244, 125543. [Google Scholar] [CrossRef] [PubMed]
- Navarro-Pedreño, J.; Almendro-Candel, M.B.; Gómez Lucas, I.; Jordán Vidal, M.M.; Bech Borras, J.; Zorpas, A.A. Trace Metal Content and Availability of Essential Metals in Agricultural Soils of Alicante (Spain). Sustainability 2018, 10, 4534. [Google Scholar] [CrossRef]
- Beesley, L.; Moreno-Jiménez, E.; Gomez-Eyles, J.L. Effects of biochar and greenwaste compost amendments on mobility, bioavailability and toxicity of inorganic and organic contaminants in a multi-element polluted soil. Environ. Pollut. 2010, 158, 2282–2287. [Google Scholar] [CrossRef] [PubMed]
- Gomez-Eyles, J.L.; Sizmur, T.; Collins, C.D.; Hodson, M.E. Effects of biochar and the earthworm Eisenia fetida on the bioavailability of polycyclic aromatic hydrocarbons and potentially toxic elements. Environ. Pollut. 2011, 159, 616–622. [Google Scholar] [CrossRef] [PubMed]
- Deenik, J.L.; Mcclellan, T.; Uehara, G.; Antal, M.J.; Campbell, S. Charcoal volatile matter content influences plant growth and soil nitrogen transformations. Soil Sci. Soc. Am. J. 2010, 74, 1259–1270. [Google Scholar] [CrossRef]
- Anderson, C.R.; Condron, L.M.; Clough, T.J.; Fiers, M.; Stewart, A.; Hill, R.A.; Sherlock, R.R. Biochar induced soil microbial community change: Implications for biogeochemical cycling of carbon, nitrogen and phosphorus. Pedobiologia 2011, 54, 309–320. [Google Scholar] [CrossRef]
- Palansooriya, K.N.; Wong, J.T.F.; Hashimoto, Y.; Huang, L.; Rinklebe, J.; Chang, S.X.; Bolan, N.; Wang, H.; Ok, Y.S. Response of microbial communities to biochar-amended soils: A critical review. Biochar 2019, 1, 3–22. [Google Scholar] [CrossRef]
- Yao, Y.; Gao, B.; Chen, J.J.; Zhang, M.; Inyang, M.; Li, Y.C.; Alva, A.; Yang, L.Y. Engineered carbon (biochar) prepared by direct pyrolysis of Mg-accumulated tomato tissues: Characterization and phosphate removal potential. Bioresour. Technol. 2013, 138, 8–13. [Google Scholar] [CrossRef]
- Thomas, E.; Borchard, N.; Sarmiento, C.; Atkinson, R.; Ladd, B. Key factors determining biochar sorption capacity for metal contaminants: A Literature Synthesis. Biochar 2020, 2, 151–163. [Google Scholar] [CrossRef]
- Rogovska, N.; Laird, D.; Cruse, R.; Fleming, P.; Parkin, T.; Meek, D. Impact of biochar on manure carbon stabilization and greenhouse gas emissions. Soil Sci. Soc. Am. J. 2011, 75, 871–879. [Google Scholar] [CrossRef]
- Glaser, B.; Lehr, V.I. Biochar effects on phosphorus availability in agricultural soils: A meta-analysis. Sci. Rep. 2019, 9. [Google Scholar] [CrossRef] [PubMed]
- Mukherjee, A.; Lal, R. The biochar dilemma. Soil Res. 2014, 52, 217–230. [Google Scholar] [CrossRef]
- Novak, J.M.; Ippolito, J.A.; Lentz, R.D.; Spokas, K.A.; Bolster, C.H.; Sistani, K.; Trippe, K.M.; Phillips, C.L.; Johnson, M.G. Soil health, crop productivity, microbial transport, and mine spoil response to biochars. BioEnergy Res. 2016, 9, 454–464. [Google Scholar] [CrossRef]
- Jeffery, S.; Abalos, D.; Prodana, M.; Bastos, A.C.; Van Groenigen, J.W.; Hungate, B.A.; Verheijen, F. Biochar boosts tropical but not temperate crop yields. Environ. Res. Lett. 2017, 12, 053001. [Google Scholar] [CrossRef]
- Ngole, V.M. Variations in sludge effects on selected properties of four soil types and vegetable yield. Afr. J. Agric. Res. 2010, 5, 3279–3290. [Google Scholar]





| Treatment | Sewage Sludge (t/ha) | Biochar (t/ha) | Chemical Fertilizer (kg/ha) |
|---|---|---|---|
| CONT (Control) * | 0 | 0 | 0 |
| 2.5BC | 0 | 2.5 | 0 |
| 5BC | 0 | 5 | 0 |
| CHEM (NPK) | 0 | 0 | N—200, P—28, K—18.9 |
| 6SS | 6 | 0 | 0 |
| 6SS + 2.5BC | 6 | 2.5 | 0 |
| 6SS + 5BC | 6 | 5 | 0 |
| 12SS | 12 | 0 | 0 |
| 12SS + 2.5BC | 12 | 2.5 | 0 |
| 12SS + 5BC | 12 | 5 | 0 |
| Properties | Luvisol | Cambisol | Biochar | Sewage Sludge |
|---|---|---|---|---|
| pH (CaCl2) | 7.5 ± 1.5 | 6.8 ± 1.3 | 7.7 ± 1.1 | 6.3 ± 0.3 |
| CEC (cmolc/kg) | 8.4 ± 1.1 | 26.2 ± 3.2 | 12± 2.5 | 38 ± 6 |
| Organic Carbon (%) | 1.0 ± 0.2 | 1.8 ± 0.3 | nd * | nd * |
| Total p (mg/kg) | 103 ± 27 | 91.3 ± 14.3 | 824 ± 123 | 5753 ± 525 |
| Available p (mg/kg) | 42.3 ± 5.1 | 24.0 ± 4.1 | 51 ± 8 | 272 ± 38 |
| Total N (%) | 0.08 ± 0.01 | 0.04 ± 0.01 | 1.1 ± 0.6 | 4.5 ± 1.2 |
| Mehlich III (mg/kg) | ||||
| Cu | 6.0 ± 2.4 | 5.2 ± 1.6 | nd * | nd * |
| Fe | 13.2 ± 1.53 | 22.4 ± 3.2 | nd * | nd * |
| Zn | 2.6 ± 1.0 | 3.9 ± 1.0 | nd * | nd * |
| Total metals (mg/kg) | ||||
| Cu | nd * | nd * | 69 ± 8 | 115 ± 23 |
| Fe | nd * | nd * | 9270 ± 309 | 3365 ± 127 |
| Zn | nd * | nd * | 95 ± 28 | 314 ± 29 |
| Exchangeable bases (cmolc/kg) | ||||
| Ca | 6.4 ± 2.3 | 17.4 ± 5.6 | 128 ± 22 | 159 ± 47 |
| Mg | 2.3 ± 1.0 | 8.5 ± 3.3 | 34 ± 8 | 66 ± 13 |
| Na | 0.06 ± 0.01 | 0.17 ± 0.02 | 3 ± 1 | 13 ± 4 |
| K | 0.06 ± 0.01 | 0.18 ± 0.07 | 153 ± 13 | 51 ± 7 |
| Sand (%) | 73.3 ± 8.7 | 48.5 ± 5.4 | nd * | nd * |
| Clay (%) | 16.4 ± 2.9 | 39 ± 3 | nd * | nd * |
| Silt (%) | 10.3 ± 1.1 | 12.6 ± 1.4 | nd * | nd * |
| Bulk density (g/cm3) | 1.60 ± 0.29 | ± 0.66 | nd * | nd * |
| pH | Yield | CEC | OC | ¶ M3Cu | M3Fe | M3Zn | Leaf Cu | Leaf Fe | Leaf Zn |
|---|---|---|---|---|---|---|---|---|---|
| 0.4409 * (0.0015) | −0.8347 * (<0.0001) | −0.6553 * (<0.0001) | −0.3305 * (0.0099) | −0.7286 * (<0.0001) | 0.0494 (0.7079) | −0.0804 (0.5451) | −0.4358 * (0.0006) | −0.3238 * (0.0124) | |
| −0.4738 * (0.0006) | −0.3135 * (0.0283) | −0.1037 (0.4784) | −0.2963 * (0.0387) | 0.2156 (0.1369) | 0.1271 (0.3841) | −0.3615 * (0.0107) | −0.0796 (0.5866) | ||
| 0.8148 * (<0.0001) | 0.4427 * (0.0004) | 0.8729 * (<0.0001) | −0.15752 (0.2294) | −0.08492 (0.5225) | 0.33504 * (0.0095) | 0.2706 * (0.0382) | |||
| 0.5305 * (<0.0001) | 0.8250 * (<0.0001) | 0.2391 (0.0658) | −0.0793 (0.5506) | 0.2323 (0.0767) | 0.2428 (0.0638) | ||||
| 0.6471 * (<0.0001) | 0.3995 * (0.0016) | −0.0444 (0.7386) | 0.1156 (0.3834) | 0.1818 (0.1681) | |||||
| 0.1016 (0.4399) | −0.0626 (0.6374) | 0.1529 (0.2476) | 0.2083 (0.1134) | ||||||
| 0.0706 (0.5953) | 0.0114 (0.932) | −0.0153 (0.9086) | |||||||
| 0.3109 * (0.0166) | 0.3479 * (0.0069) | ||||||||
| 0.3764 * (0.0033) |
| Treatments | pH (CaCl2) | Organic C (%) | CEC (cmolc/kg) | |||
|---|---|---|---|---|---|---|
| Luvisol | Cambisol | Luvisol | Cambisol | Luvisol | Cambisol | |
| CONT | 7.7 ± 1.1 a | 6.7 ± 1.6 e | 1.0 ± 0.1 cd | 1.7 ± 0.4 abcd | 8.7 ± 3.1 d | 26 ± 4.9 bc |
| 2.5BC | 7.5 ± 2.3 bc | 6.9 ± 1.1 d | 1.3 ± 0.3 abcd | 1.9 ± 0.3 abcd | 7 ± 2.7 d | 30.6 ± 3.2 ab |
| 5BC | 7.3 ± 1.4 c | 6.5 ± 1.8 f | 1.0 ± 0.1 cd | 2 ± 0.2 abcd | 9 ± 3.1 d | 26.5 ± 2.9 abc |
| CHEM | 7.6 ± 2.1 ab | 6.9 ± 2.5 d | 1.2 ± 0.2 abcd | 1.8 ± 0.3 abcd | 8 ± 1.9 d | 31.8 ± 2.6 a |
| 6SS | 7.7 ± 1.8 a | 6.9 ± 1.9 d | 1.1 ± 0.1 bcd | 2.2 ± 0.5 ab | 7.9 ± 2.3 d | 31 ± 4.1 ab |
| 6SS + 2.5BC | 7.3 ± 1.5 c | 6.5 ± 0.8 f | 1.1 ± 0.1 bcd | 2.1 ± 0.4 abc | 10 ± 1.8 d | 27.9 ± 5.2 abc |
| 6SS + 5BC | 7.4 ± 1.2 c | 6.8 ± 1.3 de | 1.5 ± 0.2 abcd | 2.1 ± 0.5 abc | 8.6 ± 1.4 d | 29.7 ± 4.9 ab |
| 12SS | 7.6 ± 2.3 ab | 7 ± 1.8 d | 0.9 ± 0.1 d | 1.9 ± 0.3 abcd | 9.2 ± 2.9 d | 24 ± 3.3 c |
| 12SS + 2.5BC | 7.3 ± 1.5 c | 7 ± 1.1 d | 1.2 ± 0.4 abcd | 1.9 ± 0.4 abcd | 8 ± 2.1 d | 27.7 ± 2.8 abc |
| 12SS + 5BC | 7.4 ± 1.8 c | 7 ± 1.7 d | 1.3 ± 0.2 abcd | 2.3 ± 0.6 a | 8.4 ± 1.7 d | 29.8 ± 3.3 ab |
Publisher’s Note: MDPI stays neutral with regard to jurisdictional claims in published maps and institutional affiliations. |
© 2020 by the authors. Licensee MDPI, Basel, Switzerland. This article is an open access article distributed under the terms and conditions of the Creative Commons Attribution (CC BY) license (http://creativecommons.org/licenses/by/4.0/).
Share and Cite
Majaule, U.; Dikinya, O.; Glaser, B. Interactive Effects of Biochar and Sewage Sludge on Bioavailability and Plant Uptake of Cu, Fe, and Zn, and Spinach (Spinacia oleracea L.) Yields under Wastewater Irrigation. Agronomy 2020, 10, 1901. https://doi.org/10.3390/agronomy10121901
Majaule U, Dikinya O, Glaser B. Interactive Effects of Biochar and Sewage Sludge on Bioavailability and Plant Uptake of Cu, Fe, and Zn, and Spinach (Spinacia oleracea L.) Yields under Wastewater Irrigation. Agronomy. 2020; 10(12):1901. https://doi.org/10.3390/agronomy10121901
Chicago/Turabian StyleMajaule, Ugele, Oagile Dikinya, and Bruno Glaser. 2020. "Interactive Effects of Biochar and Sewage Sludge on Bioavailability and Plant Uptake of Cu, Fe, and Zn, and Spinach (Spinacia oleracea L.) Yields under Wastewater Irrigation" Agronomy 10, no. 12: 1901. https://doi.org/10.3390/agronomy10121901
APA StyleMajaule, U., Dikinya, O., & Glaser, B. (2020). Interactive Effects of Biochar and Sewage Sludge on Bioavailability and Plant Uptake of Cu, Fe, and Zn, and Spinach (Spinacia oleracea L.) Yields under Wastewater Irrigation. Agronomy, 10(12), 1901. https://doi.org/10.3390/agronomy10121901

