Comparison of Growth and Yield Characteristics of Mid-Season Hybrid Rice under Different Yield Levels
Abstract
1. Introduction
2. Materials and Methods
2.1. Plant Materials and Experimental Design
2.2. Experimental Site and Field Management
2.3. Meteorological Conditions
2.4. Sampling and Measurements
2.5. Statistical Analysis
3. Results
3.1. Clustering of Varieties under Different Yield Levels
3.2. Yield Composition of Different Yield-Level Groups
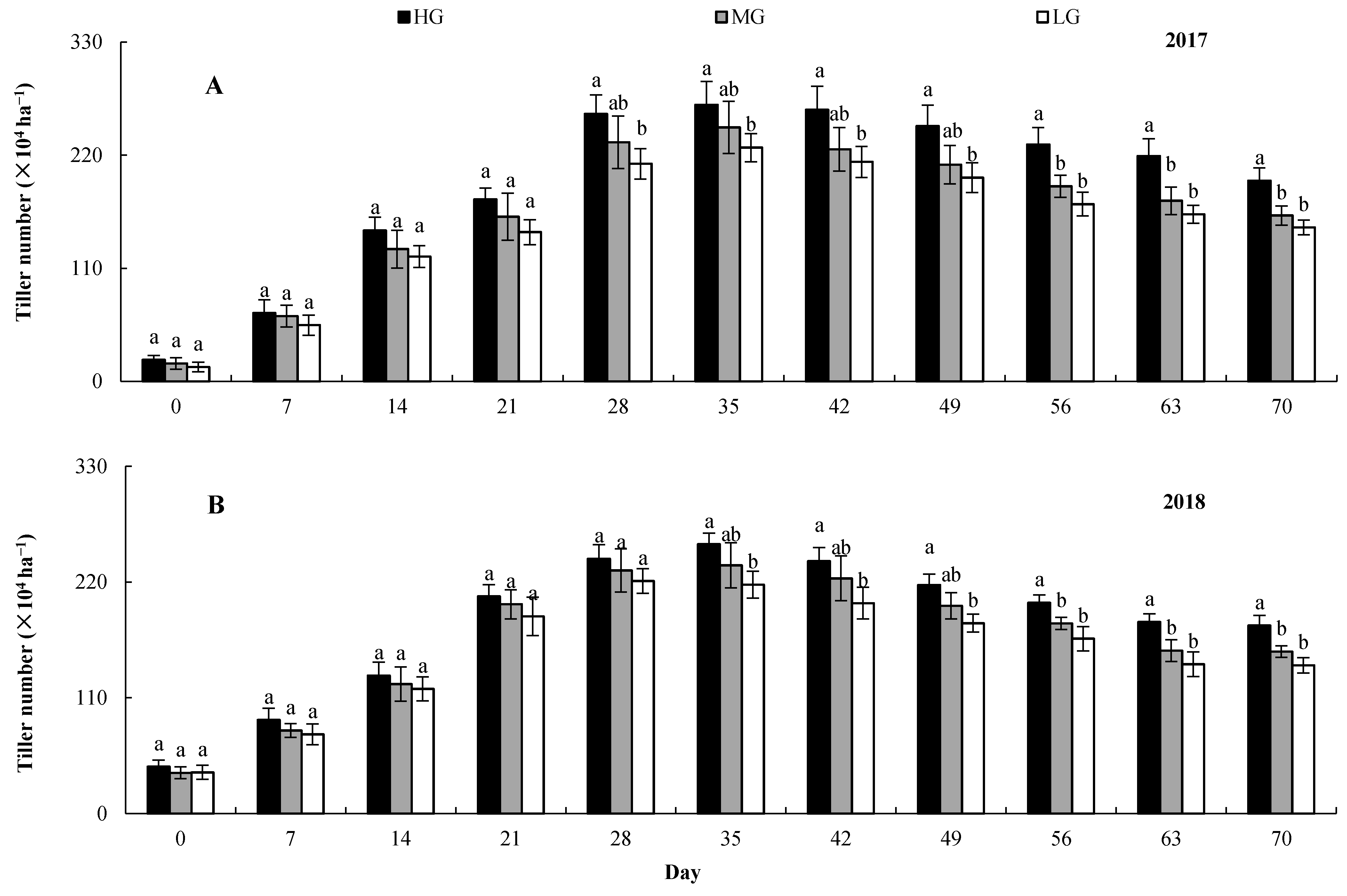
3.3. Analysis of Tillering Ability and Panicle-Setting Rate of Different Yield-Level Groups
3.4. Analysis of Other Panicle Characteristics of Different Yield-Level Groups
3.5. Analysis of Leaf Characteristics of Different Yield-Level Groups
3.6. Analysis of Stem Characteristics of Different Yield-Level Groups
3.7. Main Plant Type Characteristics of Hybrid Mid-Season Rice and Their Relationships with Yield per Plant
4. Discussion
5. Conclusions
Author Contributions
Funding
Acknowledgments
Conflicts of Interest
References
- Mae, T.; Inaba, A.; Kaneta, Y.; Masaki, S.; Sasaki, M.; Aizawa, M.; Okawa, S.; Hasegawa, S.; Makino, A. A large-grain rice cultivar, Akita 63, exhibits high yields with high physiological N-use efficiency. Field Crops Res. 2006, 97, 227–237. [Google Scholar] [CrossRef]
- Amanullah, I.; Inamullah, X. Dry matter partitioning and harvest index differ in rice genotypes with variable rates of phosphorus and zinc nutrition. Rice Sci. 2016, 23, 78–87. [Google Scholar] [CrossRef]
- Hirose, T. Development of the monsi-saeki theory on canopy structure and function. Ann. Bot. 2005, 95, 483–494. [Google Scholar] [CrossRef] [PubMed]
- Yang, X.; Lin, R.K.; Zhang, W.Y.; Xu, Y.K.; Wei, X.; Zhou, C.; Qin, J.H.; Li, H.S. Comparison of Cd subcellular distribution and Cd detoxification between low/high Cd-accumulative rice cultivars and sea rice. Ecotoxicol. Environ. Saf. 2019, 185, 109698. [Google Scholar] [CrossRef]
- Kato, T.; Taniguchi, A.; Horibata, A. Effects of the alleles at and on the grain filling in extra-heavy panicle type of rice. Crop Sci. 2010, 50, 2448–2456. [Google Scholar] [CrossRef]
- Murchie, E.; Hubbart, S.; Peng, S.; Horton, P. Acclimation of photosynthesis to high irradiance in rice: Gene expression and interactions with leaf development. J. Exp. Bot. 2005, 56, 449–460. [Google Scholar] [CrossRef]
- Mulsanti, I.; Yamamoto, T.; Ueda, T.; Samadi, A.; Kamahora, E.; Rumanti, I.; Thanh, V.; Adachi, S.; Suzuki, S.; Kanekatsu, M.; et al. Finding the superior allele of japonica-type for increasing stem lodging resistance in indica rice varieties using chromosome segment substitution line. Rice 2018, 11, 25. [Google Scholar] [CrossRef]
- Yan, C.; Yan, S.; Yang, Y.; Zeng, X.; Fang, Y.; Zeng, S.; Tian, C.; Sun, Y.; Tang, S.; Gu, M. Development of gene-tagged markers for quantitative trait loci underlying rice yield components. Euphytica 2009, 169, 215–226. [Google Scholar] [CrossRef]
- Yoshida, H.; Horie, T.; Shiraiwa, T. A model explaining genotypic and environmental variation of rice spikelet number per unit area measured by cross-locational experiments in Asia. Field Crops Res. 2006, 97, 337–343. [Google Scholar] [CrossRef]
- Yang, Z.Y.; Li, N.; Ma, J.; Sun, Y.J.; Xu, H. High-yielding traits of heavy panicle varieties under triangle planting geometry: A new plant spatial configuration for hybrid rice in China. Field Crops Res. 2014, 168, 135–147. [Google Scholar] [CrossRef]
- Donald, C. The breeding of crop ideotypes. Euphytica 1968, 17, 385–403. [Google Scholar] [CrossRef]
- Ma, J.; Ma, W.B.; Ming, D.F.; Yang, S.M.; Zhu, Q.S. Characteristics of rice plant with heavy panicle. J. Integr. Agric. 2006, 5, 911–918. [Google Scholar] [CrossRef]
- Jin, F.; Wang, H.; Xu, H.; Liu, T.; Tang, L.; Wang, X.; Jiang, Y.; Yang, L.; Li, M.; Sui, M.; et al. Comparisons of plant-type characteristics and yield components in filial generations of Indica × Japonica crosses grown in different regions in China. Field Crops Res. 2013, 154, 110–118. [Google Scholar] [CrossRef]
- Zhang, J.; Li, G.; Song, Y.; Liu, Z.; Yang, C.; Tang, S.; Zheng, C.; Wang, S.; Ding, Y. Lodging resistance characteristics of high-yielding rice populations. Field Crops Res. 2014, 161, 64–74. [Google Scholar] [CrossRef]
- Hu, N.; Lu, C.; Yao, K.; Zou, J. Simulation on distribution of photosynthetically active radiation in canopy and optimum leaf rolling index in rice with rolling leaves. Rice Sci. 2009, 16, 217–225. [Google Scholar] [CrossRef]
- Ma, J.; Tao, S.S. Study on the Practice and High-yielding Mechanism of Super-sparse-cultivation Associated with Maximum-tiller Seedling of Hybrid Rice. J. Integr. Agric. 2010, 3, 298–306. [Google Scholar]
- Sheehy, J.; Dionora, M.; Mitchell, P. Spikelet numbers, sink size and potential yield in rice. Field Crops Res. 2001, 71, 77–85. [Google Scholar] [CrossRef]
- Meng, T.Y.; Wei, H.H.; Li, C.; Dai, Q.G.; Xu, K.; Huo, Z.Y.; Wei, H.Y.; Guo, B.W.; Zhang, H.C. Morphological and physiological traits of large-panicle rice varieties with high filled-grain percentage. J. Integr. Agric. 2015, 15, 1751–1762. [Google Scholar] [CrossRef][Green Version]
- Pasuquin, E.; Lafarge, T.; Tubana, B. Transplanting young seedlings in irrigated rice fields: Early and high tiller production enhanced grain yield. Field Crops Res. 2008, 105, 141–155. [Google Scholar] [CrossRef]
- Liu, X.; Li, Y. Varietal difference in the correlation between leaf nitrogen content and photosynthesis in rice (Oryza sativa L.) plants is related to specific leaf weight. J. Integr. Agric. 2016, 15, 2002–2011. [Google Scholar] [CrossRef]
- Horie, T.; Shiraiwa, T.; Homma, K.; Katsura, K.; Maeda, S.; Yoshida, H. Can yields of lowland rice resume the increases that they showed in the 1980s? Plant Prod. Sci. 2005, 8, 259–274. [Google Scholar] [CrossRef]
- Li, G.; Xue, L.; Gu, W.; Yang, C.; Wang, S.; Ling, Q.; Qin, X.; Ding, Y. Comparison of yield components and plant type characteristics of high-yield rice between taoyuan, a ‘special eco-site’ and nanjing, China. Field Crops Res. 2009, 112, 214–221. [Google Scholar] [CrossRef]
- Vaesen, K.; Gilliams, S.; Nackaerts, K.; Coppin, P. Ground-measured spectral signatures as indicators of ground cover and leaf area index: The case of paddy rice. Field Crops Res. 2001, 69, 13–25. [Google Scholar] [CrossRef]
- Fang, L.; Zhao, F.; Cong, Y.; Sang, X.; Du, Q.; Wang, D.; Li, Y.; Ling, Y.; Yang, Z.; He, G. Rolling-leaf14 is a 2OG-Fe (II) oxygenase family protein that modulates rice leaf rolling by affecting secondary cell wall formation in leaves. Plant Biotechnol. J. 2012, 10, 524–532. [Google Scholar] [CrossRef] [PubMed]
- Chang, T.G.; Zhao, H.L.; Wang, N.; Song, Q.F.; Xiao, Y.; Qu, M.N.; Zhu, X.G. A three-dimensional canopy photosynthesis model in rice with a complete description of the canopy architecture, leaf physiology, and mechanical properties. J. Exp. Bot. 2019, 70, 2479–2490. [Google Scholar] [CrossRef] [PubMed]
- Wu, W.; Huang, J.L.; Cui, K.H.; Nie, L.X.; Wang, Q.; Yang, F.; Shah, F.; Yao, F.X.; Peng, S.B. Sheath blight reduces stem breaking resistance and increases lodging susceptibility of rice plants. Field Crops Res. 2012, 128, 101–108. [Google Scholar] [CrossRef]
- Huang, G.X.; Ding, C.F.; Guo, F.Y.; Li, X.G.; Zhou, Z.G.; Zhang, T.L.; Wang, X.X. The Role of Node Restriction on Cadmium Accumulation in the Brown Rice of 12 Chinese Rice (Oryza sativa L.) Cultivars. J. Agric. Food Chem. 2017, 65, 10157–10164. [Google Scholar] [CrossRef]
- Wei, X.; Xu, J.; Guo, H.; Jiang, L.; Chen, S.; Yu, C.; Zhou, Z.; Hu, P.; Zhai, H.; Wan, J. Dth8 suppresses flowering in rice, influencing plant height and yield potential simultaneously. Plant Physiol. 2010, 153, 1747–1758. [Google Scholar] [CrossRef]






| Variety | Approval State | Approval Year | Main Planting Areas |
|---|---|---|---|
| Longliangyou1206 | National approval of China | 2016 | Yunnan province, Guizhou province, Chongqing municipality, etc. |
| Shenliangyou5814 | National approval of China | 2017 | Sichuan province, Guizhou province, Yunnan province, etc. |
| Y-liangyou35 | Chongqing Municipality approval of China | 2015 | Chongqing municipality, etc. |
| Yuxiang203 | National approval of China | 2010 | Guizhou province, Chongqing municipality, Sichuan province, etc. |
| Yixiang2115 | National approval of China | 2012 | Yunnan province, Guizhou province, Chongqing municipality. etc. |
| Yixiangyou1108 | National approval of China | 2014 | Yunnan province, Guizhou province, Chongqing municipality, etc. |
| Nei-6-you138 | National approval of China | 2016 | Sichuan province, Yunnan province, Guizhou Province, etc. |
| D-xiang101 | Sichuan Province approval of China | 2014 | Sichuan province, etc. |
| Leyou918 | National approval of China | 2014 | Yunnan province, Guizhou province, Sichuan province, etc. |
| Nei-5-you907 | National approval of China | 2016 | Yunnan province, Guizhou province, Sichuan province, etc. |
| Luxiangyou177 | Sichuan Province approval of China | 2014 | Sichuan province, etc. |
| Chuanxiangyou308 | Sichuan Province approval of China | 2013 | Sichuan province, etc. |
| Jiayou968 | Sichuan Province approval of China | 2015 | Sichuan province, etc. |
| Zhongyou596 | Chongqing Municipality approval of China | 2013 | Chongqing municipality, etc. |
| Qianxiangyou677 | Sichuan Province approval of China | 2017 | Sichuan province, etc. |
| Chuanyou8377 | National approval of China | 2012 | Guizhou province, Chongqing municipality, Sichuan province, etc. |
| Nei-6-you1116 | National approval of China | 2017 | Sichuan province, Guizhou province, Yunnan province, etc. |
| Jingyouhuazhen | National approval of China | 2017 | Sichuan province, Guizhou province, Yunnan province, etc. |
| Yixiangyou2905 | Sichuan Province approval of China | 2015 | Sichuan province, etc. |
| Xida-5-you727 | Chongqing Municipality approval of China | 2017 | Chongqing municipality, etc. |
| Variety | Days to Heading (d) | Days of Heading to Maturity (d) | Days to Maturity (d) | Yield (t ha−1) | ||
|---|---|---|---|---|---|---|
| 2017 | 2018 | |||||
| Longliangyou1206 | 114 | 39 | 153 | 9 cde | 8.89 ghi | 8.95 ef |
| Shenliangyou5814 | 113 | 39 | 152 | 9 cde | 8.84 ghi | 8.92 efg |
| Y-liangyou35 | 112 | 43 | 155 | 8.52 ghi | 8.43 j | 8.48 i |
| Yuxiang203 | 116 | 37 | 153 | 8.63 fgh | 8.68 ij | 8.66 ghi |
| Yixiang2115 | 114 | 41 | 155 | 8.21 i | 8.64 ij | 8.43 i |
| Yixiangyou1108 | 115 | 35 | 150 | 9.28 abcd | 9.71 ab | 9.5 ab |
| Nei-6-you138 | 112 | 41 | 153 | 8.95 def | 9.24 def | 9.1 cde |
| D-xiang101 | 112 | 42 | 154 | 8.81 efg | 8.73 hij | 8.77 fgh |
| Leyou918 | 114 | 42 | 156 | 9.46 ab | 9.58 abc | 9.52 ab |
| Nei-5-you907 | 113 | 42 | 155 | 9.24 abcd | 9.34 cdef | 9.29 bcd |
| Luxiangyou177 | 115 | 40 | 155 | 8.45 hi | 8.61 ij | 8.53 hi |
| Chuanxiangyou308 | 112 | 43 | 155 | 9 cde | 8.88 ghi | 8.94 ef |
| Jiayou968 | 113 | 40 | 153 | 8.78 efgh | 9.08 efg | 8.93 efg |
| Zhongyou596 | 115 | 37 | 152 | 9.05 cde | 9.07 fg | 9.06 de |
| Qianxiangyou677 | 112 | 39 | 151 | 9.09 cde | 9.48 abcd | 9.29 bcd |
| Chuanyou8377 | 116 | 37 | 153 | 9.32 abc | 9.44 abcd | 9.38 ab |
| Nei-6-you1116 | 111 | 44 | 155 | 9.21 abcd | 9.51 abcd | 9.36 abc |
| Jingyouhuazhen | 114 | 39 | 153 | 9.51 a | 9.74 a | 9.63 a |
| Yixiangyou2905 | 113 | 42 | 155 | 9.21 abcd | 9.4 bcde | 9.31 bcd |
| Xida-5-you727 | 114 | 37 | 151 | 9.12 bcde | 9.02 fgh | 9.07 de |
| Group | Average Yield (t ha−1) | CV (%) | Range (t ha−1) | Varieties | Number | |
|---|---|---|---|---|---|---|
| HG | 9.41 a | 1.24 | 9.29–9.62 | Yixiangyou1108 Chuanyou8377 Leyou918 Nei6you1116 | Nei5you907 Jingyouhuazhen Qianxiangyou677 Yixiangyou2905 | 8 |
| MG | 8.99 b | 0.79 | 8.92–9.10 | Longliangyou1206 Jiayou968 Shenliangyou5814 Zhongyou596 | Nei6you138 Xida5you727 Chuanxiangyou308 | 7 |
| LG | 8.57 c | 1.48 | 8.42–8.77 | Yliangyou35 Luxiangyou177 Xuxiang203 | Yixiang2115 Dxiang101 | 5 |
| Group | Varieties | Filled Grain Rate (%) | 1000-Grain Weight (g) | Effective Panicles (×104 ha−1) | Spikelets (number panicle−1) | Yield (g plant−1) | |||||
|---|---|---|---|---|---|---|---|---|---|---|---|
| 2017 | 2018 | 2017 | 2018 | 2017 | 2018 | 2017 | 2018 | 2017 | 2018 | ||
| HG | Yixiangyou1108 | 80.23 | 83.59 | 26.44 | 27.55 | 165.32 | 174.68 | 299.00 | 250.01 | 49.66 | 51.59 |
| Leyou918 | 82.44 | 83.97 | 27.69 | 28.09 | 168.24 | 180.51 | 272.50 | 247.86 | 51.12 | 50.42 | |
| Nei-5-you907 | 80.15 | 84.66 | 26.43 | 28.29 | 173.45 | 171.55 | 247.87 | 252.23 | 52.69 | 46.39 | |
| Qianxiangyou677 | 81.33 | 81.43 | 26.46 | 26.77 | 179.33 | 176.92 | 283.5 | 295.46 | 48.55 | 50.52 | |
| Chuanyou8377 | 84.64 | 83.17 | 28.24 | 27.02 | 162.57 | 156.18 | 248.68 | 264.77 | 50.47 | 49.62 | |
| Nei-6-you1116 | 89.35 | 90.27 | 28.33 | 26.43 | 199.45 | 205.55 | 201.26 | 238.94 | 51.32 | 48.48 | |
| Jingyouhuazhen | 83.46 | 78.37 | 24.67 | 26.67 | 172.36 | 176.39 | 251.21 | 281.06 | 49.69 | 52.95 | |
| Yixiangyou2905 | 86.43 | 84.63 | 26.53 | 28.94 | 160.36 | 158.39 | 241.19 | 251.09 | 50.36 | 48.88 | |
| 83.5 a | 83.76 a | 26.85 b | 27.48 b | 172.64 a | 175.02 a | 255.65 a | 260.18 a | 50.48 a | 49.86 a | ||
| SD | 3.2 | 3.36 | 0.93 | 1.13 | 12.48 | 15.17 | 29.84 | 19.10 | 1.26 | 2.01 | |
| MG | Longliangyou1206 | 83.21 | 82.67 | 27.66 | 27.48 | 160.36 | 159.33 | 228.61 | 215.86 | 48.23 | 47.21 |
| Shenliangyou5814 | 80.12 | 81.46 | 27.98 | 26.88 | 175.35 | 162.15 | 225.11 | 253.88 | 47.21 | 47.92 | |
| Nei-6-you138 | 80.29 | 83.39 | 27.99 | 29.64 | 166.58 | 165.92 | 236.22 | 234.25 | 49.35 | 47.69 | |
| Chuanxiangyou308 | 83.46 | 77.9 | 27.55 | 26.48 | 148.36 | 152.89 | 280.69 | 277.83 | 48.32 | 47.04 | |
| Jiayou968 | 82.45 | 79.51 | 27.13 | 27.89 | 154.39 | 150.61 | 225.15 | 264.95 | 46.52 | 48.73 | |
| Zhongyou596 | 84.65 | 80.61 | 29.24 | 28.36 | 157.68 | 152.32 | 254.8 | 279.08 | 49.32 | 47.28 | |
| Xida-5-you727 | 76.69 | 80.31 | 28.56 | 29.43 | 166.37 | 171.13 | 253.45 | 253.75 | 47.69 | 49.05 | |
| 81.55 a | 80.83 ab | 28.01 ab | 28.02 ab | 161.3 b | 159.19 b | 243.43 a | 254.22 a | 48.09 b | 47.85 b | ||
| SD | 2.71 | 1.87 | 0.69 | 1.21 | 7.36 | 8.57 | 20.65 | 22.95 | 1.05 | 0.78 | |
| LG | Y-liangyou35 | 81.56 | 82.16 | 28.64 | 27.59 | 146.67 | 143.96 | 258.18 | 248.61 | 44.67 | 45.72 |
| Yuxiang203 | 83.46 | 76.25 | 28.32 | 30.66 | 158.67 | 152.58 | 215.24 | 259.12 | 45.69 | 46.64 | |
| Yixiang2115 | 79.68 | 82.1 | 28.79 | 30.15 | 156.35 | 152.4 | 238.03 | 216.92 | 46.23 | 43.59 | |
| D-xiang101 | 83.46 | 75.69 | 27.67 | 29.08 | 142.35 | 148.9 | 238.69 | 251.16 | 45.58 | 47.96 | |
| Luxiangyou177 | 75.69 | 75.76 | 27.64 | 28.48 | 144.78 | 143.97 | 265.99 | 253.8 | 43.59 | 47.44 | |
| 80.77 a | 78.39 b | 28.21 a | 29.19 a | 149.76 b | 148.36 b | 243.22 a | 245.92 a | 45.15 c | 46.27 b | ||
| SD | 3.24 | 3.42 | 0.53 | 1.24 | 7.28 | 4.27 | 19.82 | 16.67 | 1.04 | 1.72 | |
| Analysis of variance | |||||||||||
| Year | 0.96 NS | 0.79 NS | 0.01 NS | 0.67 NS | 0.03 NS | ||||||
| Group | 6.03 ** | 7.67 ** | 17.78 ** | 1.22 NS | 32.23 ** | ||||||
| Year × Group | 0.60 NS | 1.05 NS | 0.11 NS | 0.11 NS | 1.26 NS | ||||||
| Year | Group | Panicle Length (cm) | Primary Branches (number panicle−1) | Second Branches (number panicle−1) | Panicle Weight (g panicle−1) | Grain Density (number cm−1) |
|---|---|---|---|---|---|---|
| 2017 | ||||||
| HG | 27.02 ± 0.81 a | 16.24 ± 1.00 a | 40.02 ± 2.78 a | 5.52 ± 0.49 a | 9.38 ± 0.52 a | |
| MG | 28.7 ± 0.42 a | 15.11 ± 0.57 a | 37.38 ± 0.85 a | 5.88 ± 0.31 a | 8.82 ± 0.25 a | |
| LG | 29.55 ± 0.61 a | 15.09 ± 0.72 a | 36.77 ± 1.61 a | 6.72 ± 0.34 a | 8.16 ± 0.72 a | |
| 2018 | ||||||
| HG | 26.86 ± 1.43 a | 15.81 ± 2.35 a | 39.94 ± 2.53 a | 5.11 ± 1.05 a | 8.95 ± 1.00 a | |
| MG | 27.96 ± 0.68 a | 15.35 ± 1.62 a | 38.70 ± 2.96 a | 5.66 ± 1.17 a | 8.22 ± 1.43 a | |
| LG | 28.67 ± 1.74 a | 14.18 ± 1.23 a | 36.29 ± 1.33 a | 5.91 ± 1.58 a | 7.67 ± 1.65 a |
| Year | Group | Internode Length (cm) | Internode Width (cm) | Plant Height (cm) | ||||||
|---|---|---|---|---|---|---|---|---|---|---|
| 1st Internode (cm) | 2nd Internode (cm) | 3rd Internode (cm) | 4th Internode (cm) | 1st Internode (cm) | 2nd Internode (cm) | 3rd Internode (cm) | 4th Internode (cm) | |||
| 2017 | ||||||||||
| HG | 40.22 ± 1.65 a | 23.10 ± 1.57 a | 18.89 ± 2.21 a | 12.56 ± 1.32 a | 0.31 ± 0.01 a | 0.53 ± 0.02 a | 0.67 ± 0.01 a | 0.76 ± 0.03 a | 127.69 ± 2.35 a | |
| MG | 41.99 ± 2.12 a | 22.37 ± 1.56 a | 17.56 ± 2.45 a | 11.33 ± 1.36 a | 0.32 ± 0.02 a | 0.50 ± 0.02 a | 0.63 ± 0.03 b | 0.72 ± 0.04 a | 129.35 ± 2.68 a | |
| LG | 42.05 ± 2.44 a | 20.95 ± 2.13 a | 17.12 ± 1.66 a | 10.30 ± 1.55 a | 0.30 ± 0.04 a | 0.49 ± 0.04 a | 0.64 ± 0.02 b | 0.73 ± 0.05 a | 134.55 ± 2.55 a | |
| 2018 | ||||||||||
| HG | 41.34 ± 1.99 a | 22.25 ± 1.89 a | 17.76 ± 1.14 a | 11.95 ± 1.49 a | 0.33 ± 0.02 a | 0.53 ± 0.03 a | 0.65 ± 0.04 a | 0.76 ± 0.03 a | 131.17 ± 2.59 a | |
| MG | 43.53 ± 2.21 a | 21.41 ± 2.45 a | 17.40 ± 1.56 a | 11.14 ± 1.67 a | 0.32 ± 0.03 a | 0.51 ± 0.02 a | 0.63 ± 0.05 a | 0.74 ± 0.04 a | 132.71 ± 2.47 a | |
| LG | 44.09 ± 2.25 a | 21.11 ± 3.11 a | 16.32 ± 1.55 a | 10.72 ± 2.42 a | 0.31 ± 0.02 a | 0.53 ± 0.01 a | 0.60 ± 0.03 a | 0.71 ± 0.06 a | 133.91 ± 3.22 a | |
| Index | Average Leaf Width | Average Leaf Roll Index | Average Leaf Area | Average Leaf Length to Width Ratio | Average Distance of Leaf Edge | Average Leaf Base Angle | Average Leaf Droopy Angle | Average Leaf Pillow Distance |
|---|---|---|---|---|---|---|---|---|
| Average leaf base angle | −0.463 * | 0.487 * | −0.217 | 0.766 ** | −0.538 * | |||
| Average leaf droopy angle | −0.397 | 0.469 * | −0.207 | 0.619 ** | −0.486 * | 0.805 ** | ||
| Average leaf pillow distance | −0.328 | 0.286 | −0.162 | 0.526 * | −0.366 | 0.583 ** | 0.653 ** | |
| Internode width | 0.623 ** | −0.203 | 0.709 ** | −0.135 | 0.531 * | −0.051 | −0.114 | −0.129 |
| Plant height | 0.187 | 0.113 | 0.395 | 0.379 | 0.066 | 0.510 * | 0.558 * | 0.455 * |
| Seed-setting ratio | 0.289 | −0.623 ** | 0.264 | −0.25 | 0.483 * | −0.523 * | −0.478 * | −0.228 |
| Panicle-setting rate | 0.561 * | −0.518 * | 0.422 | −0.574 ** | 0.629 ** | −0.42 | −0.493 * | −0.419 |
| Effective panicles number | 0.453 * | −0.325 | 0.269 | −0.621 ** | 0.462 * | −0.651 ** | −0.474 * | −0.357 |
| Yield | 0.700 ** | −0.526 * | 0.500 * | −0.767 ** | 0.723 ** | −0.760 ** | −0.833 ** | −0.610 ** |
Publisher’s Note: MDPI stays neutral with regard to jurisdictional claims in published maps and institutional affiliations. |
© 2020 by the authors. Licensee MDPI, Basel, Switzerland. This article is an open access article distributed under the terms and conditions of the Creative Commons Attribution (CC BY) license (http://creativecommons.org/licenses/by/4.0/).
Share and Cite
Zhong, X.; Zhao, B.; Huang, M.; Hussain, H.A.; Hussain, S.; Cai, L.; Yun, H.; He, G.; Zhang, C. Comparison of Growth and Yield Characteristics of Mid-Season Hybrid Rice under Different Yield Levels. Agronomy 2020, 10, 1876. https://doi.org/10.3390/agronomy10121876
Zhong X, Zhao B, Huang M, Hussain HA, Hussain S, Cai L, Yun H, He G, Zhang C. Comparison of Growth and Yield Characteristics of Mid-Season Hybrid Rice under Different Yield Levels. Agronomy. 2020; 10(12):1876. https://doi.org/10.3390/agronomy10121876
Chicago/Turabian StyleZhong, Xiaolong, Bingbing Zhao, Manyu Huang, Hafiz Athar Hussain, Saddam Hussain, Linjun Cai, Han Yun, Guanghua He, and Changwei Zhang. 2020. "Comparison of Growth and Yield Characteristics of Mid-Season Hybrid Rice under Different Yield Levels" Agronomy 10, no. 12: 1876. https://doi.org/10.3390/agronomy10121876
APA StyleZhong, X., Zhao, B., Huang, M., Hussain, H. A., Hussain, S., Cai, L., Yun, H., He, G., & Zhang, C. (2020). Comparison of Growth and Yield Characteristics of Mid-Season Hybrid Rice under Different Yield Levels. Agronomy, 10(12), 1876. https://doi.org/10.3390/agronomy10121876

