Availability of Nickel in Soil Evaluated by Various Chemical Extractants and Plant Accumulation
Abstract
1. Introduction
- Nickel availability assessment in soil in relation to used extractants and applied fertilisation;
- Nickel accumulation in cultivated plants, depending on nickel availability and used fertilisation.
2. Material and Methods
2.1. Experimental Design
2.2. Analysis of Plant Materials
2.3. Analysis of Soil
- Total content with the aqua regia procedure [17] (TC);
- Available amounts with the single extraction method using 1 mol·dm−3 HCl [19] (NiHCl);
- Bioavailable amounts with the single extraction method using DTPA complexing solution (0.005 mol·dm−3 DTPA + 0.1 mol·dm−3 TEA + 0.01 mol·dm−3 CaCl2, at pH 7.3) [20] (NiDTPA);
- RAC < 1%—no risk (safe to the environment);
- RAC 1–10%—low risk (relatively safe to the environment);
- RAC 11–30%—medium risk (relatively dangerous to the environment);
- RAC 31–50%—high risk (dangerous to the environment);
- RAC >50%—very high risk (very dangerous to the environment).
2.4. Statistical Analysis
3. Results
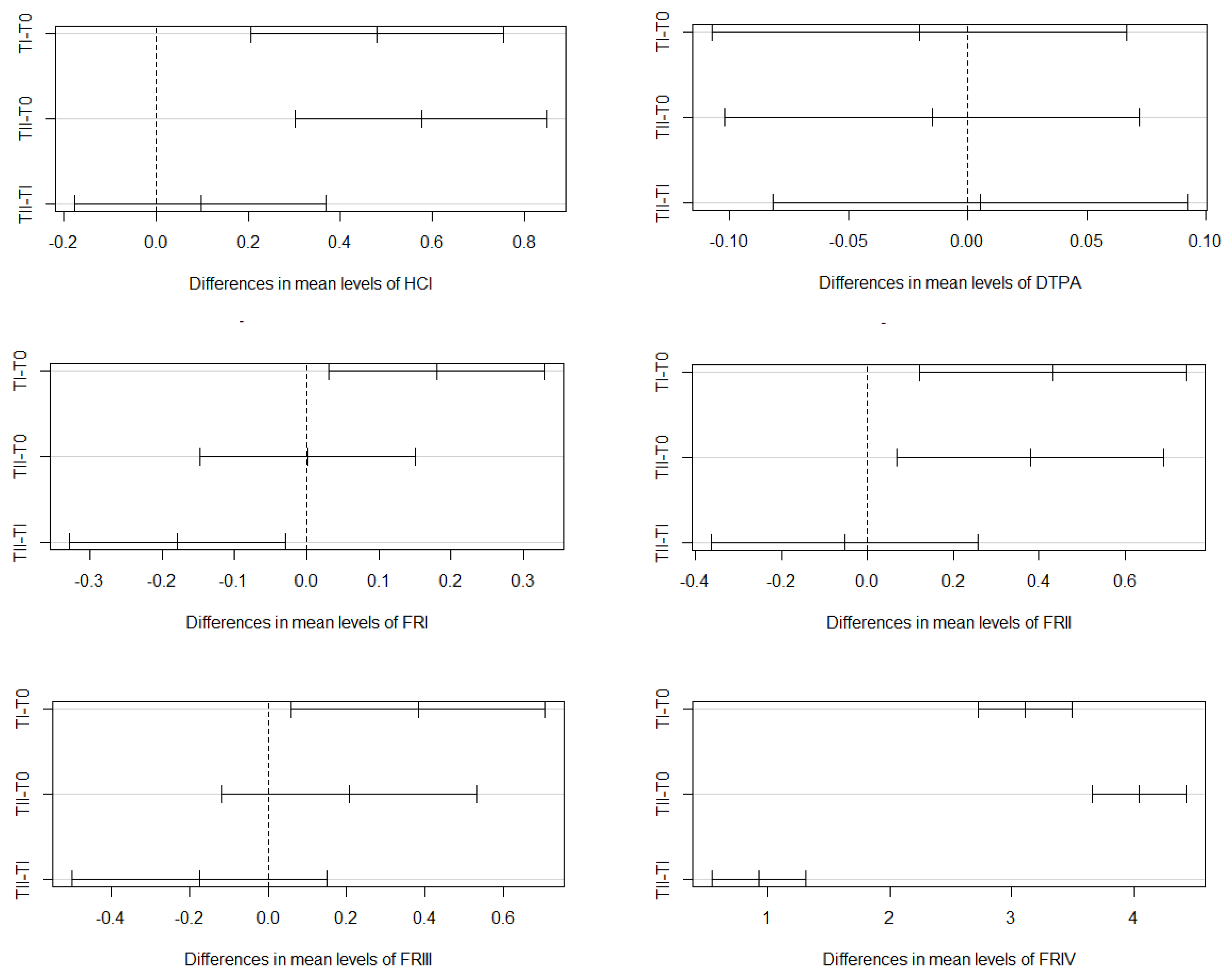
3.1. Nickel in Soil
3.2. Nickel in Plants
3.3. Bioconcentration
3.4. Nickel in Soil and in Plants
4. Discussion
4.1. Nickel in Soil
4.2. Nickel in Plants
5. Conclusions
Author Contributions
Funding
Conflicts of Interest
References
- Correia, L.; Marrocos, P.; Olivares, D.M.M.; Garcia, F.C.; Luzardo, F.H.M.; De Jesus, R.M. Bioaccumulation of nickel in tomato plants: Risks to human health and agro-environmental impacts. Environ. Monit. Assess. 2018, 190, 317. [Google Scholar] [CrossRef]
- Ameen, N.; Amjad, M.; Murtaza, B.; Abbas, G.; Shahid, M.; Imran, M.; Naeem, M.A.; Niazi, N.K. Biogeochemical behavior of nickel under different abiotic stresses: Toxicity and detoxification mechanisms in plants. Environ. Sci. Pollut. Res. 2019, 26, 10496–10514. [Google Scholar] [CrossRef]
- Gupta, V.; Jatav, P.K.; Verma, R.; Kothari, S.L.; Kachhwaha, S. Nickel accumulation and its effect on growth, physiological and biochemical parameters in millets and oats. Environ. Sci. Pollut. Res. 2017, 24, 23915–23925. [Google Scholar] [CrossRef]
- Kabata-Pendias, A.; Pendias, H. Biogeochemistry of Trace Elements; PWN: Warszawa, Poland, 1999; pp. 306–315. (In Polish) [Google Scholar]
- Cioccio, S.; Gopalapillai, Y.; Dan, T.; Hale, B. Effect of liming on nickel bioavailability and toxicity to oat and soybean grown in field soils containing aged emissions from a nickel refinery. Environ. Toxicol. Chem. 2016, 36, 1110–1119. [Google Scholar] [CrossRef]
- Jakubus, M.; Graczyk, M. Evaluation of the usability of single extractors in chemical analysis of composts using principal component analysis. Biom. Lett. 2015, 52, 115–130. [Google Scholar] [CrossRef]
- Korzeniowska, J.; Stanisławska-Glubiak, E. Proposal of new convenient extractant for assessing phytoavaialbility of heavy metals in contaminated sandy soil. Environ. Sci. Pollut. Res. 2017, 24, 14857–14866. [Google Scholar] [CrossRef]
- Shahbaz, A.K.; Iqbal, M.; Jabbar, A.; Hussain, S.; Ibrahim, M. Assessment of nickel bioavailability through chemical extractants and red clover (Trifolium pretense L.) in an amended soil: Related changes in various parameters of red clover. Ecotoxicol. Environ. Saf. 2018, 149, 116–127. [Google Scholar] [CrossRef] [PubMed]
- Rao, C.R.M.; Sahuquillo, A.; López-Sánchez, J.F. A Review of the Different Methods Applied in Environmental Geochemistry for Single and Sequential Extraction of Trace Elements in Soils and Related Materials. Water Air Soil Pollut. 2008, 189, 291–333. [Google Scholar] [CrossRef]
- European Commission. Communication from the Commission to the European Parliament, the Council, the European Economic and Social Committee and the Committee of the Region—Toward a Circular Economy: Zero Waste Programme For Europe; European Commission: Brussels, Belgium, 2014; Available online: https://eur-lex.europa.eu/resource.html?uri=cellar:aa88c66d-4553-11e4-a0cb-01aa75ed71a1.0022.03/DOC_1&format=PDF (accessed on 2 July 2020).
- Deepesh, V.; Verma, V.K.; Suma, K.; Ajay, S.; Gnanavelu, A.; Madhusudanan, M. Evaluation of an organic soil amendment generated from municipal solid waste seeded with activated sewage sludge. J. Mater. Cycles Waste Manag. 2014, 18, 273–286. [Google Scholar] [CrossRef]
- Sharma, B.; Sarkar, A.; Singh, P.; Singh, R.P. Agricultural utilisation of biosolids: A review on potential effects on soil and plant grown. Waste Manag. 2017, 64, 117–132. [Google Scholar] [CrossRef] [PubMed]
- Jakubus, M.; Bakinowska, E.; Gałka, B. The quantitative changes of nutrients in two contrasting soils amended with sewage sludge compost evaluated by various statistical tools. Acta Agric. Scand. Sect. B Plant Soil Sci. 2017, 68, 39–49. [Google Scholar] [CrossRef]
- Gupta, D.K.; Rai, U.N.; Tripathi, R.D.; Inoute, M. Impacts of fly-ash on soil and plant responses. J. Plant Res. 2002, 115, 401–409. [Google Scholar] [CrossRef] [PubMed]
- FAO. WRB (World Reference Base for Soil Resources) 2014; Update, World Soil Resources Reports, 106; FAO: Rome, Italy, 2015. [Google Scholar]
- Ministry of Agriculture and Rural Development. Regulation of the Minister for Agriculture and Rural Development of 18 June 2008 on the Implementation of Certain Provisions of the Act on Fertilisers and Fertilisation; Journal of Laws 2008, 119, Item 765; Ministry of Agriculture and Rural Development: Warsaw, Poland, 2008.
- International Organization of Standardization. Soil Quality-Extraction of Trace Elements Soluble in Aqua Regia; ISO 11466; International Organization of Standardization: Geneva, Switzerland, 1995. [Google Scholar]
- Ostrowska, A.; Gawliński, S.; Szczubialka, Z. Methods for Analysis and Evaluation of Soil and Plant Properties, 1st ed.; IOŚ Warszawa: Warsaw, Poland, 1991; pp. 158–167. [Google Scholar]
- Gembarzewski, H.; Korzeniowska, J. Simultaneous extraction of B, Cu, Fe, Mn, Mo and Zn from mineral soils and an estimation of the results. Agribiol. Res. Z. Agrarbiol. Agrik. Okol. 1990, 43, 115–127. [Google Scholar]
- Quevauviller, P.; Lachica, M.; Barahona, E.; Gomez, A.; Rauret, G.; Ure, A.; Muntau, H. Certified reference material for the quality control of EDTA- and DTPA- extractable trace metals contents in calcareous soil (CMR 600). Fresenius J. Anal. Chem. 1998, 360, 505–511. [Google Scholar] [CrossRef]
- Mossop, K.F.; Davidson, C.M. Comparison of original and modified BCR sequential extraction procedures for the fractionation of copper, iron, lead, manganese and zinc in soils and sediments. Anal. Chim. Acta 2003, 478, 111–118. [Google Scholar] [CrossRef]
- Yang, T.; Huang, H.-J.; Lai, F.-Y. Pollution hazards of heavy metals in sewage sludge from four wastewater treatment plants in Nanchang, China. Trans. Nonferrous Met. Soc. China 2017, 27, 2249–2259. [Google Scholar] [CrossRef]
- Park, J.H.; Lamb, D.; Paneerselvam, P.; Choppala, G.; Bolan, N.; Chung, J.W. Role of organic amendments on enhanced bioremediation of heavy metal(loi) contaminated soils. J. Hazard. Mater. 2011, 185, 549–574. [Google Scholar] [CrossRef]
- Jakubus, M.; Bakinowska, E.; Tatuśko, N. Compost utilisation in a heavy metal immobilisation process evaluated by bioconcentration factors. J. Elementol. 2019, 24, 1291–1307. [Google Scholar] [CrossRef]
- Raja, R.; Pal, S. Remediation of heavy metal contaminated soils by solidification/stabilization with fly ash, quicklime and blast furnance slag. J. Indian Chem. Soc. 2019, 96, 481–486. [Google Scholar]
- Luo, D.; Zheng, H.; Chen, Y.; Deleporte, P.; Xie, T.; Staunton, S.; Wang, G. Influence of soil properties on Ni accumulation in food crops and corresponding dietary health risk with a typical Chinese diet. Soil Use Manag. 2017, 33, 653–662. [Google Scholar] [CrossRef]
- Moreira, S.G.; Prochnow, L.I.; Kiehl, J.D.C.; Pauletti, V.; Martin-Neto, L. Chemical forms in soil and availability of manganese and zinc to soybean in soil under different tillage systems. Soil Tillage Res. 2016, 163, 41–53. [Google Scholar] [CrossRef]
- Jakubus, M.; Bakinowska, E. Visualization of long-time quantitative changes of microelements in soils amended with sewage sludge compost evaluated with two extraction solutions. Commun. Soil Sci. Plant Anal. 2018, 49, 11, 1355–1369. [Google Scholar] [CrossRef]
- Saffari, M.; Karimian, N.; Ronaghi, A.; Yasrebi, J.; Ghasemi, R. Stabilization of nickel in a contaminated calcareous soil amended with low-cost amendments. J. Soil Sci. Plant Nutr. 2015, 15, 896–913. [Google Scholar] [CrossRef][Green Version]
- Malinowska, E. The Effect of Liming and Sewage Sludge Application on Heavy Metal Speciation in Soil. Bull. Environ. Contam. Toxicol. 2017, 98, 105–112. [Google Scholar] [CrossRef][Green Version]
- Liu, B.; Huang, Q.; Su, Y.; Wang, M.; Yu, H.; Sun, L. Speciation of nickel and enzyme activities in fluvo-aquic soil under organic amendments treatment. Soil Res. 2018, 56, 456. [Google Scholar] [CrossRef]
- Boim, A.G.F.; Melo, L.C.A.; Moreno, F.N.; Alleoni, L.R.F. Bioconcentration factors and the risk concentrations of potentially toxic elements in garden soils. J. Environ. Manag. 2016, 170, 21–27. [Google Scholar] [CrossRef]
- Hu, B.; Ja, X.; Hu, J.; Xu, D.; Xia, F.; Li, Y. Assessment of heavy metal pollution and health risks in the soil-plant-human system in the Yangtze River Delta, China. Int. J. Environ. Res. Public Health 2017, 14, 1042. [Google Scholar] [CrossRef]









| Parameter | Soil | Compost | Fly Ash |
|---|---|---|---|
| pH | 7.0 | 6.8 | 13.7 |
| TOC (g·kg−1) | 16.8 | 181.3 | n.d. * |
| Ntot (g·kg−1) | 1.8 | 2.7 | 0.5 |
| Ni (mg·kg−1) | 9.6 | 23.6 | 41.8 |
| Fraction | Extracting Agent | Extractions Conditions | |
|---|---|---|---|
| Time | Temperature | ||
| Fr. I–Exchangeable | 0.11 mol·dm−3 CH3COOH (pH = 7.0) | 16 h | 20–25 °C |
| Fr. II–Reducible (metals bound to Fe and Mn oxides) | 0.5 mol·dm−3 NH2OH−HCl (pH = 1.5) | 16 h | 20–25 °C |
| Fr. III–Oxidisable (metals bound to organic matter and sulphides) | 30% H2O2 (pH = 2.0) and then 1.0 mol·dm−3 CH3COONH4 (pH=2.0) | 1, 2, 16 h | 20–25, 85, 20–25 °C |
| Fr. IV–Residual | Aqua regia | 2.5 h | 60–70 °C |
| Plant | Treatment | Equation | R2 |
|---|---|---|---|
| Lupine | T0 | Ni plant = −31.71 + 10.06∙NiFr.I + 3.35∙FR III + 1.73∙TC | 0.56 |
| TI | Ni plant = 2.78 + 3.61∙NiFr.I + 1.03 NiFr.III | 0.61 | |
| TII | Ni plant = 2.84 + 2.85∙NiFr.I + 0.97 NiFr.III | 0.59 | |
| Camelina | T0 | Ni plant = −1.53 + 5.34∙NiDTPA + 3.02∙NiFr.I + 1.23 NiFr.III | 0.62 |
| TI | Ni plant = 6.74 + 3.08∙NiDPTA + 1.48 NiFr.I + 0.21∙NiFr.II | 0.60 | |
| TII | Ni plant = 5.86 + 2.17∙NiDTPA + 0.15 NiFr.I | 0.53 | |
| Oat | T0 | Ni plant = −3.278 + 3.58 NiFr.I + 1.96∙NiFr.III + 0.11∙TC | 0.57 |
| TI | Ni plant = −1.18 + 2.53 NiFr.I + 1.34 NiFr.III | 0.61 | |
| TII | Ni plant = –2.02 + 3.12∙NiFr.I + 0.81∙NiDPTA + 0.33∙TC | 0.59 |
Publisher’s Note: MDPI stays neutral with regard to jurisdictional claims in published maps and institutional affiliations. |
© 2020 by the authors. Licensee MDPI, Basel, Switzerland. This article is an open access article distributed under the terms and conditions of the Creative Commons Attribution (CC BY) license (http://creativecommons.org/licenses/by/4.0/).
Share and Cite
Jakubus, M.; Graczyk, M. Availability of Nickel in Soil Evaluated by Various Chemical Extractants and Plant Accumulation. Agronomy 2020, 10, 1805. https://doi.org/10.3390/agronomy10111805
Jakubus M, Graczyk M. Availability of Nickel in Soil Evaluated by Various Chemical Extractants and Plant Accumulation. Agronomy. 2020; 10(11):1805. https://doi.org/10.3390/agronomy10111805
Chicago/Turabian StyleJakubus, Monika, and Małgorzata Graczyk. 2020. "Availability of Nickel in Soil Evaluated by Various Chemical Extractants and Plant Accumulation" Agronomy 10, no. 11: 1805. https://doi.org/10.3390/agronomy10111805
APA StyleJakubus, M., & Graczyk, M. (2020). Availability of Nickel in Soil Evaluated by Various Chemical Extractants and Plant Accumulation. Agronomy, 10(11), 1805. https://doi.org/10.3390/agronomy10111805

