Intensification of Electrochemical Performance of AA7075 Aluminum Alloys Using Rare Earth Functionalized Water-Based Polymer Coatings
Abstract
:1. Introduction
2. Materials and Methods
2.1. Materials
2.2. Synthesis and Deposition of Hybrid Coatings
2.3. Characterizaction of Samples
2.4. Electrochemical Characterization
2.5. Salt Spray Test
3. Results and Discussion
3.1. Structural and Optical Characterizations
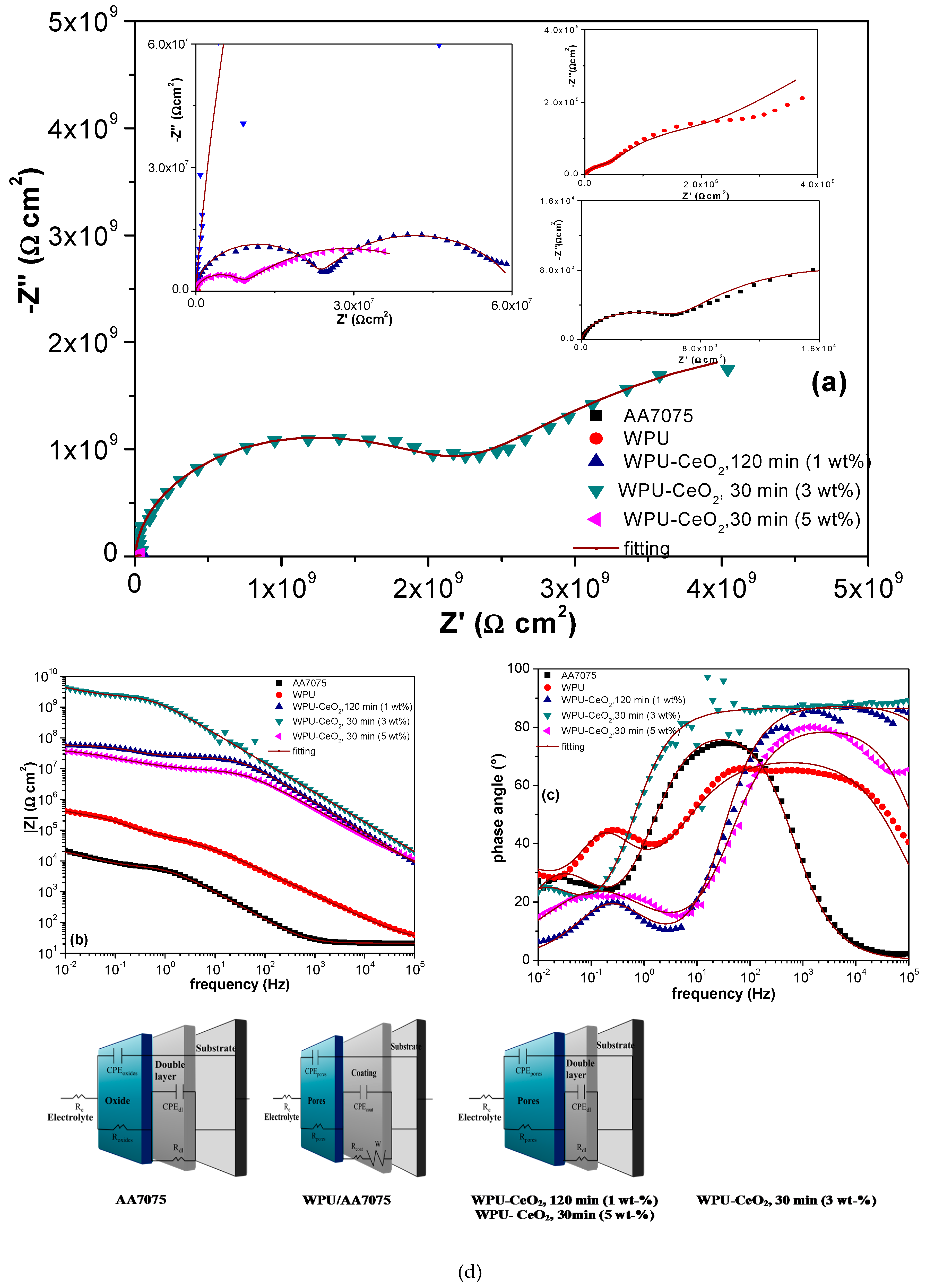
3.2. Electrochemical Performance
3.3. Salt Spray Chamber
4. Conclusions
- -
- Ceria nanoparticles dispersion in WPU follows the typical dispersion mechanism, where agglomeration can be avoided or minimized using the sonication approach.
- -
- The excess of water in the reaction medium provokes important changes in the coating porosity that compromises its performance in terms of aggressive species diffusion through the WPU–CeO2/AA7075 systems.
- -
- The fcc structure that remains after WPU polymerization indicates that CeO2 nanostructures are unaffected during their incorporation into the polymeric matrix, although the amount of nanostructures and sonication time significantly affect the average crystallite size (from 8.2 to 27.7 nm) and orientation onto the metallic substrates.
- -
- The texture of CeO2 can be modulated with the synthesis parameters as well as affect the physical integration to the polymer matrix.
- -
- The nanoceria amount and sonication time during the synthesis play a crucial role in enhancing the optical transparence of WPUs, which helps to delay yellowing.
- -
- The electrochemical performance of the samples indicates that 1 wt % of CeO2 nanostructures is insufficient for a homogeneous incorporation to the polymers to seal pores while excessive nanostructures (e.g., 5 wt %) provoke agglomeration and coalescence in the polymer matrix.
- -
- An optimal electrochemical performance is achieved with 3 wt % of CeO2 (30 min) nanoparticles, highlighting the importance of both ceria content and sonication time, as synthesis parameters.
- -
- Hybrid coatings with optimal conditions displayed impedance values up to four orders of magnitude higher than that obtained for pure WPU on metallic substrate, which were in agreement with salt fog exposure tests.
Acknowledgments
Author Contributions
Conflicts of Interest
References
- Akbarinezhad, E.; Bahremandi, M.; Faridi, H.R.; Rezai, F. Another approach for ranking and evaluating organic paint coatings via electrochemical impedance spectroscopy. Corros. Sci. 2009, 51, 356–363. [Google Scholar] [CrossRef]
- Saha, S.; Kocaefe, D.; Boluk, Y.; Pichette, A. Surface degradation of CeO2 stabilized acrylic polyurethane coated thermally treated jack pine during accelerated weathering. Appl. Surf. Sci. 2013, 276, 86–94. [Google Scholar] [CrossRef]
- Montemor, M.F. Functional and smart coatings for corrosion: A review of recent advances. Surf. Coat. Technol. 2014, 258, 17–37. [Google Scholar] [CrossRef]
- Liu, X.; Xu, K.; Liu, H.; Cai, J.; Fu, Z.; Guo, Y.; Chen, M. Preparation and properties of waterborne polyurethanes with natural dimer fatty acids based polyesther polyol as soft segment. Prog. Org. Coat. 2011, 72, 612–620. [Google Scholar] [CrossRef]
- Rosu, D.; Rosu, L.; Cascaval, C.N. IR-change and yellowing of polyurethane as a result of UV irradiation. Polym. Degrad. Stab. 2009, 94, 591–596. [Google Scholar] [CrossRef]
- Ecco, L.G.; Li, J.; Fedel, M.; Deflorian, F.; Pan, J. EIS and in situ AFM study of barrier property and stability of waterborne and solventborne clear coats. Prog. Org. Coat. 2014, 77, 600–608. [Google Scholar] [CrossRef]
- Heidarian, M.; Shishesaz, R.; Kassiriha, S.M.; Nematollahi, M. Characterization of structure and corrosion resistivity of polyurethane/organoclay nanocomposite coatings prepared through and ultrasonication assisted process. Prog. Org. Coat. 2010, 68, 180–188. [Google Scholar] [CrossRef]
- Ufana, R.; Nwaoha, C.; Ashraf, S.M. Recent advances in corrosion protective composite coatings based on conducting polymers and natural resources derived polymers. Prog. Org. Coat. 2014, 77, 743–756. [Google Scholar] [CrossRef]
- Qiu, F.; Xu, H.; Wang, J.X.; Yang, D. Preparation, characterization and properties of UV-curable waterborne polyurethane acrylate/SiO2 coating. J. Coat. Technol. Res. 2012, 9, 503–514. [Google Scholar] [CrossRef]
- Craciun, E.; Ioncea, A.; Jitaru, I.; Covaliu, C.; Zaharescu, T. Nano oxides UV protectors for transparent organic coatings. Rev. Chim. Buchar. 2011, 62, 21–26. [Google Scholar]
- Saadat-Monfared, A.; Mohseni, M.; Tabatabaei, M.H. Polyurethane nanocomposite films containing nano cerium oxide as UV absorber. Part 1. Static and dynamic light scattering, small angle neutron scattering and optical studies. Colloids Surf. A 2012, 408, 64–70. [Google Scholar] [CrossRef]
- Sha, S.; Kocaefe, D.; Krause, C.; Larouche, T. Effect of titania and zinc oxide particles on acrylic polyurethane coating performance. Prog. Org. Coat. 2011, 70, 170–177. [Google Scholar] [CrossRef]
- Wang, X.; Hu, J.; Li, Y.; Zhang, J.; Ding, Y. The surface properties and corrosion resistance or fluorinated polyurethane coatings. J. Fluor. Chem. 2015, 176, 14–19. [Google Scholar] [CrossRef]
- Salla, J.; Pandey, K.K.; Srinivas, K. Improvement of UV resistance of wood surfaces by using ZnO nanoparticles. Polym. Degrad. Stab. 2012, 97, 592–596. [Google Scholar] [CrossRef]
- Chen, G.; Zhu, F.; Sun, X.; Sun, S.; Chen, R. Benign synthesis of ceria hollow nanocrystals by a template-free method. CrystEngComm 2011, 13, 2904–2908. [Google Scholar] [CrossRef]
- Bautista, Y.; Gómez, M.P.; Ribes, C.; Sanz, V. Relation between the scratch resistance and the chemical structure of organic-inorganic hybrid coatings. Prog. Org. Coat. 2011, 70, 358–364. [Google Scholar] [CrossRef]
- Umar, A.; Kumar, R.; Akhtar, M.S.; Kim, G.; Kim, S.H. Growth and properties of well-crystalline cerium oxide (CeO2) nanoflakes for environmental and sensor applications. J. Colloid Interface Sci. 2015, 454, 61–68. [Google Scholar] [CrossRef] [PubMed]
- Michel, C.R.; Martínez-Preciado, A.H. CO sensor based on thick films of 3D hierarchical CeO2 architectures. Sens. Actuators B 2014, 197, 177–184. [Google Scholar] [CrossRef]
- Zhan, C.; Meng, F.; Wang, L.; Zhang, M.; Ding, Z. Morphology-selective synthesis method of gear-like CeO2 microstructures and their optical properties. Mater. Lett. 2014, 130, 202–205. [Google Scholar] [CrossRef]
- Figueira, R.B.; Silva, C.J.R.; Pereira, E.V. Organic-inorganic hybrid sol-gel coatings for metal corrosion protection: A review of recent progress. J. Coat. Technol. Res. 2015, 12, 1–35. [Google Scholar] [CrossRef]
- Liang, W.; Advani, S.G.; Prasad, A.K. Degradation reduction of polymer electrolyte membranes using CeO2 as a free-radical scavenger in catalyst layer. Electrochim. Acta 2013, 109, 775–780. [Google Scholar] [CrossRef]
- Hu, C.; Zhang, Z.; Liu, H.; Gao, P.; Wang, Z.L. Direct synthesis and structure characterization of ultrafine CeO2 nanoparticles. Nanotechnology 2006, 17, 5983–5987. [Google Scholar] [CrossRef]
- Kumar, A.M.; Rahman, M.M.; Gasem, Z.M. A promising nanocomposite from CNTs and nano-ceria: Nanostructured fillers in polyurethane coatings for surface protection. RSC Adv. 2015, 5, 63537–63544. [Google Scholar] [CrossRef]
- Murata, J.; Yodogawa, K.; Ban, K. Polishing-pad-free electrochemical mechanical polishing of single-crystalline SiC surfaces using polyurethane-CeO2 core-shell particles. Int. J. Mach. Tools Manuf. 2017, 114, 1–7. [Google Scholar] [CrossRef]
- Fedel, M.; Deflorian, F.; Rossi, S.; Kamarchik, P. Study of the effect of mechanically treated CeO2 and SiO2 pigments on the corrosion protection of painted galvanized steel. Prog. Org. Coat. 2012, 74, 36–42. [Google Scholar] [CrossRef]
- Ecco, L.G.; Fedel, M.; Deflorian, F.; Becker, J.; Iversen, B.B.; Mamakhel, A. Waterborne acrylic paint system based on nanoceria for corrosion protection of steel. Prog. Org. Coat. 2016, 96, 19–25. [Google Scholar] [CrossRef]
- Santana, I.; Pepe, A.; Jimenez-Pique, E.; Pellice, S.; Milošev, I.; Ceré, S. Corrosion protection of carbon steel by silica-based hybrid coatings containing cerium salts: Effect of silica nanoparticle content. Surf. Coat. Technol. 2015, 265, 106–116. [Google Scholar] [CrossRef]
- Wang, D.; Bierwagen, G.P. Sol-gel coatings on metals for corrosion protection. Prog. Org. Coat. 2009, 64, 327–338. [Google Scholar] [CrossRef]
- Zheludkevich, M.L.; Salvado, I.M.; Ferreira, M.G.S. Sol-gel coatings for corrosion protection of metals. J. Mater. Chem. 2005, 15, 5099–5111. [Google Scholar] [CrossRef]
- Figueira, R.B.; Fontinha, I.R.; Silva, C.J.R.; Pereira, E.V. Hybrid Sol-Gel Coatings: Smart and Green Materials for Corrosion Mitigation. Coatings 2016, 6, 12. [Google Scholar] [CrossRef]
- ASTM G3-14, Standard Practice for Conventions Applicable to Electrochemical Measurements in Corrosion Testing; ASTM International: West Conshohocken, PA, USA, 2014; Available online: http://www.astm.org/cgi-bin/resolver.cgi?G3 (accessed on 15 March 2014).
- ASTM G59-97, Standard Test Method for Conducting Potentiodynamic Polarization Resistance Measurements; ASTM International: West Conshohocken, PA, USA, 2014; Available online: http://www.astm.org/cgi-bin/resolver.cgi?G59 (accessed on 15 March 2014).
- MIL-DTL-81706B, Chemical Conversion Materials for Coating Aluminum and Aluminum Alloys, 25 October 2004. Available online: http://everyspec.com/MIL-SPECS/MIL-SPECS-MIL-DTL/MIL-DTL-81706B_29229/ (accessed on 23 April 2014).
- ASTM B117-11. Standard Practice for Operating Salt Spray (Fog) Apparatus; ASTM International: West Conshohocken, PA, USA, 2016; Available online: http://www.astm.org/cgi-bin/resolver.cgi?B117 (accessed on 15 January 2015).
- Chaudhary, S.; Sharma, P.; Kumar, R.; Mehta, S.K. Nanoscale surface designing of Cerium oxide nanoparticles for controlling growth, stability, optical and thermal properties. Ceram. Int. 2015, 41, 10995–11003. [Google Scholar] [CrossRef]
- Mao, Y.; Park, T.J.; Wong, S.S. Synthesis of classes of ternary metal oxide nanostructures. Chem. Commun. 2005, 5721–5735. [Google Scholar] [CrossRef] [PubMed]
- Assaoudi, H.; Fang, Z.; Butler, I.S.; Kozinski, J.A. Synthesis of erbium hydroxide microflowers and nanostructures in subcritical water. Nanotechnology 2008, 19, 185606. [Google Scholar] [CrossRef] [PubMed]
- Inguanta, R.; Ferrara, G.; Piazza, S.; Sunseri, C. A new route to grow oxide nanostructures based on metal displacement deposition. Lanthanides oxy/hydroxides growth. Electrochim. Acta 2012, 76, 77–87. [Google Scholar] [CrossRef]
- Cauich-Rodríguez, J.V.; Chan-Chan, L.; Hernández-Sánchez, F.; Cervantes-Uc, J.M. Degradation of polyurethanes for cardiovascular applications. Adv. Biomater. Sci. Biomed. Appl. 2013, 51. [Google Scholar] [CrossRef]
- Lamprecht, A.; Schäfer, U.F.; Lehr, C.M. Visualization and quantification of polymer distribution in microcapsules by confocal laser scanning microscopy (CLSM). Int. J. Pharm. 2000, 196, 223–226. [Google Scholar] [CrossRef]
- Pidaparti, R.M.; Rao, A.S. Analysis of pits induced stresses due to metal corrosion. Corros. Sci. 2008, 50, 1932–1938. [Google Scholar] [CrossRef]
- Bilmes, P.D.; Llorente, C.L.; Saire, H.L.; Gassa, L.M.; Gervasi, C.A. Microstructure and pitting corrosion of 13CrNiMo weld metals. Corros. Sci. 2006, 48, 3261–3270. [Google Scholar] [CrossRef]
- Gesnouin, C.; Hazarabedian, A.; Bruzzoni, P.; Ovejero-García, J.; Bilmes, P.; Llorente, C. Effect of post-weld heat treatment on the microstructure and hydrogen permeation of 13CrNiMo steels. Corros. Sci. 2004, 46, 1633–1647. [Google Scholar] [CrossRef]
- Yasakau, K.A.; Zheludkevich, M.L.; Lamaka, S.V.; Ferreira, M.G.S. Role of intermetallic phases in localized corrosion of AA5083. Electrochim. Acta 2007, 52, 7651–7659. [Google Scholar] [CrossRef]
- Holme, B.; Lunder, O. Characterisation of pitting corrosion by white light interferometry. Corros. Sci. 2007, 49, 391–401. [Google Scholar] [CrossRef]
- Sukamto, J.P.H.; Smyrl, W.H.; Casillas, N.; Al-Odan, M.; James, P.; Jin, W.; Douglas, L. Microvisualization of corrosion. Mater. Sci. Eng. A 1995, 198, 177–196. [Google Scholar] [CrossRef]
- Leiva-García, R.; Muñoz-Portero, M.J.; García-Antón, J. Evaluation of alloy 146, 279, 900 and 926 sensitization to intergranular corrosion by means of electrochemical method and image analysis. Corros. Sci. 2009, 51, 2080–2091. [Google Scholar] [CrossRef]
- Leiva-García, R.; García-Antón, J.; Muñoz-Portero, M.J. Contribution to the elucidation of corrosion intiation through confocal laser scanning microscopy (CLSM). Corros. Sci. 2010, 52, 2133–2142. [Google Scholar] [CrossRef]
- Ashjari, M.; Reza Mahdavian, A.; Golshan Ebrahimi, N.; Moshleh, Y. Efficient dispersion of magnetite nanoparticles in the polyurethane matrix through solution mixing and investigation of the nanocomposite properties. J. Inorg. Organomet. Polym. 2010, 20, 213–219. [Google Scholar] [CrossRef]
- Jouault, N.; Zhao, D.; Kumar, S.K. Role of casting solvent on nanoparticle dispersion in polymer nanocomposites. Macromoloy 2014, 47, 5246–5255. [Google Scholar] [CrossRef]
- Grundmeier, G.; Schmidt, W.; Stratmann, M. Corrosion protection by organic coatings: Electrochemical mechanism and novel methods of investigation. Electrochim. Acta 2000, 45, 2515–2533. [Google Scholar] [CrossRef]
- Nguyen, V.S.; Rouxel, D.; Vincent, B. Dispersion of nanoparticles: From organic solvents to polymer solutions. Ultrason. Sonochem. 2014, 21, 149–153. [Google Scholar] [CrossRef] [PubMed]
- Del Angel-López, D.; Domínguez-Crespo, M.A.; Torres-Huerta, A.M.; Flores-Vela, A.; Andraca-Adame, J.; Dorantes-Rosales, H. Analysis of degradation process during the incorporation of ZrO2:SiO2 ceramic nanostructures into polyurethane coatings for the corrosion protection of carbon steel. J. Mater. Sci. 2013, 48, 1067–1084. [Google Scholar] [CrossRef]
- Thakur, S.; Patil, P. Rapid synthesis of cerium oxide nanoparticles with superior humidity sensing performance. Sens. Actuators B Chem. 2014, 194, 260–268. [Google Scholar] [CrossRef]
- Rabih, O.A.K.; Müller, A.M.; Tai-Sang, A.; Soohyun, L.; Bardeen, C.J. Effects of sonication on the size and crystallinity of stable zwitterionic organic nanoparticles formed by reprecipitation in water. Langmuir 2005, 21, 7990–7994. [Google Scholar] [CrossRef]
- Goharshadi, E.K.; Samiee, S.; Nancarrow, P. Fabrication of cerium oxide nanoparticles: Characterization and optical properties. J. Colloid Interface Sci. 2011, 356, 473–480. [Google Scholar] [CrossRef] [PubMed]
- Shirke, B.; Patil, A. Synthesis of cerium oxide nanoparticles by microwave technique using propylene glycol as a stabilizing agent. J. Mater. Sci. Mater. Electron. 2011, 22, 200–203. [Google Scholar] [CrossRef]
- Samiee, S.; Goharshadi, E.K. Effects of different precursors on size and optical properties of ceria nanoparticles prepared by microwave-assisted method. Mater. Res. Bull. 2012, 47, 1089–1095. [Google Scholar] [CrossRef]
- Luo, J.; Conrad, O.; Vankelecom, I.F.J. Imidazolium methane sulfonate as a high temperature proton conductor. J. Mater. Chem. A 2013, 1, 2238–2247. [Google Scholar] [CrossRef]
- Little Flower, G.; Vani Latha, S.; Venkateswara Rao, K. Novel characterization of nanosilver fluid through ultrasonic studies supported by UV-Vis spectroscopy, DLS and TEM studies. J. Mol. Liq. 2016, 221, 333–338. [Google Scholar] [CrossRef]
- Tsunekawa, S.; Fukuda, T. Blue shift in ultraviolet absorption spectra of monodisperse CeO2−x nanoparticles. J. Appl. Phys. 1999, 87, 1318–1321. [Google Scholar] [CrossRef]
- Ashraf, P.M.; Shibli, S.M. Reinforcing aluminium with cerium oxide: A new and effective technique to prevent corrosion in marine environments. Electrochem. Commun. 2007, 9, 443–448. [Google Scholar] [CrossRef]
- Castano, C.E.; O’ Keefe, M.J.; Fahrenholtz, W.G. Cerium-based oxide coatings. Curr. Opin. Solid State Mater. Sci. 2015, 19, 69–76. [Google Scholar] [CrossRef]
- Tang, J.; Han, Z.; Zuo, Y.; Tang, Y. A corrosion resistant cerium oxide based coating on aluminum alloy 2024 prepared by brush plating. Appl. Surf. Sci. 2011, 257, 2806–2812. [Google Scholar] [CrossRef]
- Hasannejad, H.; Aliofkhazraei, M.; Shanaghi, A.; Shahrabi, T.; Sabour, R. Nanostructural and electrochemical characteristics of cerium oxide thin films deposited on AA5083-H321 aluminum alloy substrates by dip immersion and sol-gel methods. Thin Solid Films 2009, 517, 4792–4799. [Google Scholar] [CrossRef]
- Brachetti-Sibaja, S.B.; Domínguez-Crespo, M.A.; Rodil, S.E.; Torres-Huerta, A.M. Influence of surface pre-treatment on electrochemical properties of CeO2 thin films deposited by, R.F. Sputtering on AA7075 Aluminum alloy. ECS Trans. 2013, 47, 157–166. [Google Scholar] [CrossRef]
- Stern, M.; Geary, A.L. Electrochemical polarization: I. A theorical analysis of the shape of polarization curves. J. Electrochem. Soc. 1957, 104, 56–63. [Google Scholar] [CrossRef]
- López, D.A.; Rosero-Navarro, N.C.; Ballarre, J.; Durán, A.; Aparicio, M.; Ceré, S. Multilayer silica-methacrylate hybrid coatings prepared by sol-gel on stainless steel 316L: Electrochemical evaluation. Surf. Coat. Technol. 2008, 202, 2194–2201. [Google Scholar] [CrossRef]
- Rosero-Navarro, N.C.; Pellice, S.A.; Castro, Y.; Aparicio, M.; Durán, A. Improved corrosion resistance of AA2024 alloys through hybrid organic–inorganic sol-gel coatings produced from sols with controlled polymerisation. Surf. Coat. Technol. 2009, 203, 1897–1903. [Google Scholar] [CrossRef]
- Moreno, C.; Hernández, S.; Santana, J.; González-Guzmán, J.; Souto, R.M.; González, S. Characterization of Water Uptake by Organic Coatings Used for the Corrosion Protection of Steel as Determined from Capacitance Measurements. Int. J. Electrochem. Sci. 2012, 7, 8444–8457. [Google Scholar]
- Brachetti-Sibaja, S.B.; Domínguez-Crespo, M.A.; Torres-Huerta, A.M.; Onofre-Bustamante, E.; De la Cruz-Hernández, W. Rare Earth Conversion Coatings Grown on AA6061 Aluminum Alloys. Corrosion Studies. J. Mex. Chem. Soc. 2014, 58, 393–410. [Google Scholar]
- Santa, C.P.; Izagirre, U.; Belaustegi, Y.; Jorcin, J.B.; Cano, F.J.; Lapeña, N. Chromium-free conversion coatings base on inorganic salts (Zr/Ti/Mn/Mo) for aluminum alloys used in aircraft applications. Appl. Surf. Sci. 2015, 345, 24–35. [Google Scholar] [CrossRef]
- ASTM G46-94. Standard Guide for Examination and Evaluation of Pitting Corrosion; ASTM International: West Conshohocken, PA, USA, 2013; Available online: http://www.astm.org/cgi-bin/resolver.cgi?G46 (accessed on 12 February 2015). [CrossRef]
- Huang, M.; Yang, J. Salt spray and EIS studies on HDI microcapsule-based self-healing anticorrosive coatings. Prog. Org. Coat. 2014, 77, 168–175. [Google Scholar] [CrossRef]
- Rashvand, M.; Ranjbar, Z. Effect of nano-ZnO particles on the corrosion resistance of polyurethane based waterborne coatings immersed in sodium chloride solution via EIS technique. Prog. Org. Coat. 2013, 76, 1413–1417. [Google Scholar] [CrossRef]
















| Element | Si | Fe | Cu | Mn | Zn | Ti | Cr | Mg | Al |
|---|---|---|---|---|---|---|---|---|---|
| Weight % | 0.137 | 0.262 | 1.629 | 0.062 | 5.36 | 0.045 | 0.20 | 2.26 | balance |
| Coating on AA7075 | Crystallite size (nm) |
|---|---|
| WPU–CeO2, 30 min (3 wt %) | 25.2 |
| WPU–CeO2, 30 min (5 wt %) | 27.7 |
| WPU–CeO2, 60 min (3 wt %) | 8.9 |
| WPU–CeO2, 60 min (5 wt %) | 8.2 |
| WPU–CeO2, 120 min (3 wt %) | 8.5 |
| WPU–CeO2, 120 min (5 wt%) | 22.4 |
| Sample | Eocp (V vs. SCE) | ||||
|---|---|---|---|---|---|
| C1 | C6 | C12 | C18 | C24 | |
| AA7075 | −0.73 ± 0.01 | −0.72 ± 0.01 | −0.77 ± 0.03 | −0.78 ± 0.03 | −0.74 ± 0.05 |
| PU | −0.80 ± 0.15 | −0.80 ± 0.12 | −0.76 ± 0.12 | −0.84 ± 0.06 | −0.82 ± 0.05 |
| PU–CeO2, 30 min (1 wt %) | −0.79 ± 0.1 | −0.81 ± 0.09 | −0.88 ± 0.09 | −0.88 ± 0.08 | −0.87 ± 0.11 |
| PU–CeO2 30 min (3 wt %) | −1.92 ± 0.78 | −0.87 ± 0.2 | −0.67 ± 0.01 | −0.66 ± 0.04 | −0.65 ± 0.07 |
| PU–CeO2 30 min (5 wt %) | −0.56 ± 0.12 | −0.82 ± 0.1 | −0.85 ± 0.06 | −0.87 ± 0.06 | −0.9 ± 0.08 |
| PU–CeO2 60 min (1 wt %) | −0.72 ± 0.02 | −0.75 ± 0.04 | −0.75 ± 0.03 | −0.79 ± 0.07 | −0.77 ± 0.02 |
| PU–CeO2 60 min (3 wt %) | −0.74 ± 0.07 | −0.74 ± 0.04 | −0.76 ± 0.02 | −0.8 ± 0.07 | −0.82 ± 0.08 |
| PU–CeO2 60 min (5 wt %) | −0.67 ± 0.06 | −0.65 ± 0.11 | −0.77 ± 0.06 | −0.78 ± 0.05 | −0.78 ± 0.04 |
| PU–CeO2 120 min (1 wt %) | −0.46 ± 0.01 | −0.71 ± 0.02 | −0.85 ± 0.02 | −0.88 ± 0.02 | −0.86 ± 0.02 |
| PU–CeO2 120 min (3 wt %) | −0.63 ± 0.02 | −0.63 ± 0.01 | −0.66 ± 0.01 | −0.66 ± 0.02 | −0.72 ± 0.02 |
| PU–CeO2 120 min (5 wt %) | −0.69 ± 0.04 | −0.71 ± 0.06 | −0.74 ± 0.02 | −0.76 ± 0.02 | −0.77 ± 0.01 |
| Sample | Rs (Ω cm2) | Rcoat (Ω cm2) | Rct (Ω cm2) | Y0coat (S*sn) | ncoat | Y0dl (S*sn) | ntc | W (S*s1/2) | χ2 | |
|---|---|---|---|---|---|---|---|---|---|---|
| AA7075 | 21.3 | 6.80 × 103 | 2.24 × 104 | 2.28×10−5 | 0.91 | 3.65 × 10−4 | 0.77 | --- | 1.81 × 10−3 | |
| WPU | 19.7 | 2.19 × 105 | 7.52 × 104 | 1.84 × 10−6 | 0.75 | 1.05 × 10−9 | 0.90 | 8.218 | 1.52 × 10−5 | |
| WPU–CeO2, 120 min (1 wt %) | 45.2 | 2.35 × 107 | 3.75 × 107 | 2.73 × 10−10 | 0.97 | 3.17 × 10−8 | 0.76 | --- | 1.8 × 10−2 | |
| WPU–CeO2, 30 min (3 wt %) | 30.1 | 2.25 × 109 | 6.10 × 109 | 1.32 × 10−10 | 0.96 | 2.24 × 10−9 | 0.71 | --- | 2.3 × 10−2 | |
| WPU–CeO2, 30 min (5 wt %) | 50.6 | 9.32 × 106 | 3.60 × 107 | 9.47 × 10−10 | 0.87 | 6.93 × 10−8 | 0.62 | --- | 1.1 × 10−2 | |
© 2017 by the authors. Licensee MDPI, Basel, Switzerland. This article is an open access article distributed under the terms and conditions of the Creative Commons Attribution (CC BY) license (http://creativecommons.org/licenses/by/4.0/).
Share and Cite
Ferrel-Álvarez, A.C.; Domínguez-Crespo, M.A.; Torres-Huerta, A.M.; Cong, H.; Brachetti-Sibaja, S.B.; López-Oyama, A.B. Intensification of Electrochemical Performance of AA7075 Aluminum Alloys Using Rare Earth Functionalized Water-Based Polymer Coatings. Polymers 2017, 9, 178. https://doi.org/10.3390/polym9050178
Ferrel-Álvarez AC, Domínguez-Crespo MA, Torres-Huerta AM, Cong H, Brachetti-Sibaja SB, López-Oyama AB. Intensification of Electrochemical Performance of AA7075 Aluminum Alloys Using Rare Earth Functionalized Water-Based Polymer Coatings. Polymers. 2017; 9(5):178. https://doi.org/10.3390/polym9050178
Chicago/Turabian StyleFerrel-Álvarez, Atzin C., Miguel A. Domínguez-Crespo, Aidé M. Torres-Huerta, Hongbo Cong, Silvia B. Brachetti-Sibaja, and Ana B. López-Oyama. 2017. "Intensification of Electrochemical Performance of AA7075 Aluminum Alloys Using Rare Earth Functionalized Water-Based Polymer Coatings" Polymers 9, no. 5: 178. https://doi.org/10.3390/polym9050178
APA StyleFerrel-Álvarez, A. C., Domínguez-Crespo, M. A., Torres-Huerta, A. M., Cong, H., Brachetti-Sibaja, S. B., & López-Oyama, A. B. (2017). Intensification of Electrochemical Performance of AA7075 Aluminum Alloys Using Rare Earth Functionalized Water-Based Polymer Coatings. Polymers, 9(5), 178. https://doi.org/10.3390/polym9050178

