Glass Fiber Reinforced Polymer (GFRP) Bars for Enhancing the Flexural Performance of RC Beams Using Side-NSM Technique
Abstract
:1. Introduction
2. Experimental Procedure
2.1. Concrete and Steel
2.2. GFRP Reinforcements
2.3. Epoxy Adhesive
2.4. Specimen Preparation and Strengthening Procedure
2.5. Experimental Set-Up
3. Test Results and Discussion
3.1. First Cracking and Ultimate Load Capacities
3.2. Load-Deflection Behavior
3.3. Cracking Behaviors
3.4. Failure Modes
3.5. Energy Absorption Capacity
3.6. Ductility
3.7. Stiffness of the Beams
3.8. Effect of Bond Length
3.9. Effect of Amount of GFRP Reinforcement
3.10. Main Steel Reinforcement Tensile Strain of the Specimens
3.11. Tensile Strain in the SNSM GFRP Reinforcement
3.12. Moment-Curvature Behavior of the Specimens
4. Analytical Study
4.1. Prediction of Deflection Behavior
4.2. Prediction of Flexural Crack Spacing and Width
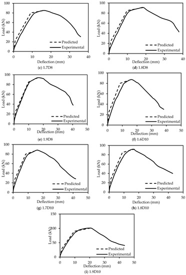
4.3. Verification of Load-Deflection Curves
4.4. Verification of Flexural Crack Spacing and Width
5. Conclusions
- Flexural strengthening of RC beams with the SNSM technique using GFRP bars is effective, as SNSM bars significantly improved the flexural performance via the reduction of the deflection, the delay in the formation of first crack, the decrease in crack width and the increase in the number of cracks and ultimate loads of the specimens compared with the control specimen.
- Strengthening using SNSM-GFRP bars enhanced the first crack and ultimate loads up to 4.38- and 1.55-times compared with the control specimen.
- The use of GFRP as an SNSM reinforcement has exhibited a tri-linear response in load-deflection behavior and reduced the deflection at any load level of the specimens, which would address the serviceability concerns.
- Flexural failure mode was observed in all SNSM-GFRP-strengthened specimens, which is similar to the control specimen. Therefore, the SNSM-GFRP strengthening technique is less prone to debonding.
- Energy absorption capacity, ductility and stiffness under the service load were all significantly enhanced by the SNSM technique via the use of GFRP bars.
- Increasing the bonded length and amount of the strengthening reinforcement improved the flexural performance of the specimens compared with the control specimen. However, the bond length of the strengthened reinforcement has greater influence on the performance compared with the amount of strengthening reinforcement.
- The predicted and experimental results for deflection and flexural crack spacing and the width of the beam specimens are in good agreement.
Acknowledgments
Author Contributions
Conflicts of Interest
References
- Qeshta, I.M.; Shafigh, P.; Jumaat, M.Z.; Abdulla, A.I.; Ibrahim, Z.; Alengaram, U.J. The use of wire mesh–epoxy composite for enhancing the flexural performance of concrete beams. Mater. Des. 2014, 60, 250–259. [Google Scholar] [CrossRef]
- Spadea, G.; Bencardino, F.; Sorrenti, F.; Swamy, R.N. Structural effectiveness of FRP materials in strengthening RC beams. Eng. Struct. 2015, 99, 631–641. [Google Scholar] [CrossRef]
- Bilotta, A.; Ceroni, F.; di Ludovico, M.; Nigro, E.; Pecce, M.; Manfredi, G. Bond efficiency of EBR and NSM FRP systems for strengthening concrete members. J. Compos. Constr. 2011, 15, 757–772. [Google Scholar] [CrossRef]
- Ceroni, F. Experimental performances of RC beams strengthened with FRP materials. Constr. Build. Mater. 2010, 24, 1547–1559. [Google Scholar] [CrossRef]
- Barros, J.A.O.; Ferreira, D.R.S.M.; Fortes, A.S.; Dias, S.J.E. Assessing the effectiveness of embedding CFRP laminates in the near surface for structural strengthening. Constr. Build. Mater. 2006, 20, 478–491. [Google Scholar] [CrossRef]
- Irshidat, M.R.; Al-Saleh, M.H.; Almashagbeh, H. Effect of carbon nanotubes on strengthening of RC beams retrofitted with carbon fiber/epoxy composites. Mater. Des. 2016, 89, 225–234. [Google Scholar] [CrossRef]
- Oehlers, D.J. Reinforced concrete beams with plates glued to their soffits. J. Struct. Eng. 1992, 118, 2023–2038. [Google Scholar] [CrossRef]
- Charif, A. Structural Behaviour of Reinforced Concrete Beams Strengthened by Epoxy Bonded Steel Plates. Ph.D. Thesis, University of Sheffield, Sheffield, UK, 1983. [Google Scholar]
- McKenna, J.; Erki, M. Strengthening of reinforced concrete flexural members using externally applied steel plates and fibre composite sheets—A survey. Can. J. Civ. Eng. 1994, 21, 16–24. [Google Scholar] [CrossRef]
- Parvin, A.; Syed Shah, T. Fiber reinforced polymer strengthening of structures by near-surface mounting method. Polymers 2016, 8, 298. [Google Scholar] [CrossRef]
- De Lorenzis, L.; Teng, J.G. Near-surface mounted FRP reinforcement: An emerging technique for strengthening structures. Compos. Part B 2007, 38, 119–143. [Google Scholar] [CrossRef]
- Tang, W.; Balendran, R.; Nadeem, A.; Leung, H. Flexural strengthening of reinforced lightweight polystyrene aggregate concrete beams with near-surface mounted GFRP bars. Build. Environ. 2006, 41, 1381–1393. [Google Scholar] [CrossRef]
- Reda, R.M.; Sharaky, I.A.; Ghanem, M.; Seleem, M.H.; Sallam, H.E.M. Flexural behavior of RC beams strengthened by NSM GFRP Bars having different end conditions. Compos. Struct. 2016, 147, 131–142. [Google Scholar] [CrossRef]
- Escórcio, P.; França, P.M. Experimental study of a rehabilitation solution that uses GFRP bars to replace the steel bars of reinforced concrete beams. Eng. Struct. 2016, 128, 166–183. [Google Scholar] [CrossRef]
- Almusallam, T.H.; Elsanadedy, H.M.; Al-Salloum, Y.A.; Alsayed, S.H. Experimental and numerical investigation for the flexural strengthening of RC beams using near-surface mounted steel or GFRP bars. Constr. Build. Mater. 2013, 40, 145–161. [Google Scholar] [CrossRef]
- Jung, W.; Park, Y.; Park, J.; Kang, J.; You, Y. Experimental Investigation on Flexural Behavior of RC Beams Strengthened by NSM CFRP Reinforcements. In Proceedings of the 7th International Symposium on Fiber Reinforced Polymer Reinforcement for Reinforced Concrete Structures (FRPRCS-7), Kansas City, Missouri, 7–10 November 2005; pp. 795–805. [Google Scholar]
- Al-Mahmoud, F.; Castel, A.; François, R.; Tourneur, C. Strengthening of RC members with near-surface mounted CFRP rods. Compos. Struct. 2009, 91, 138–147. [Google Scholar] [CrossRef]
- Kalayci, A.S.; Yalim, B.; Mirmiran, A. Construction tolerances and design parameters for NSM FRP reinforcement in concrete beams. Constr. Build. Mater. 2010, 24, 1821–1829. [Google Scholar] [CrossRef]
- Soliman, S.M.; El-Salakawy, E.; Benmokrane, B. Flexural behaviour of concrete beams strengthened with near surface mounted fibre reinforced polymer bars. Can. J. Civ. Eng. 2010, 37, 1371–1382. [Google Scholar] [CrossRef]
- Sharaky, I.; Torres, L.; Sallam, H. Experimental and analytical investigation into the flexural performance of RC beams with partially and fully bonded NSM FRP bars/strips. Compos. Struct. 2015, 122, 113–126. [Google Scholar] [CrossRef]
- Sharaky, I.; Torres, L.; Comas, J.; Barris, C. Flexural response of reinforced concrete (RC) beams strengthened with near surface mounted (NSM) fibre reinforced polymer (FRP) bars. Compos. Struct. 2014, 109, 8–22. [Google Scholar] [CrossRef]
- Hosen, M.A.; Jumaat, M.Z.; Islam, A.B.M.S. Side Near Surface Mounted (SNSM) technique for flexural enhancement of RC beams. Mater. Des. 2015, 83, 587–597. [Google Scholar] [CrossRef]
- Shukri, A.; Hosen, M.A.; Muhamad, R.; Jumaat, M. Behaviour of precracked RC beams strengthened using the side-NSM technique. Constr. Build. Mater. 2016, 123, 617–626. [Google Scholar] [CrossRef]
- British Standard Institute (BSI). Testing Hardened Concrete. Compressive Strength of Test Specimens; BS EN 12390-3; BSI: London, UK, 2002. [Google Scholar]
- British Standard Institute (BSI). Testing Hardened Concrete. Tensile Splitting Strength of Test Specimens; BS EN 12390-6; BSI: London, UK, 2000. [Google Scholar]
- British Standard Institute (BSI). Testing Hardened Concrete. Flexural Strength of Test Specimens; BS EN 12390-5; BSI: London, UK, 2000. [Google Scholar]
- ASTM. Standard Test Method for Static Modulus of Elasticity and Poisson’s Ratio of Concrete in Compression; C469; ASTM International: West Conshohocken, PA, USA, 2002. [Google Scholar]
- Sikadur®-30. Product Data Sheet-Adhesive for Bonding Reinforcement. 2016. Available online: http://usa.sika.com/en/solutions_products/Construction-Products-Services/repair-protection-home/products/02a002/02a013/02a013sa06/02a013sa06sa05.html (accessed on 12 October 2016).
- Obaydullah, M.; Jumaat, M.Z.; Alengaram, U.J.; Darain, K.M.U.; Huda, M.N.; Hosen, M.A. Prestressing of NSM steel strands to enhance the structural performance of prestressed concrete beams. Constr. Build. Mater. 2016, 129, 289–301. [Google Scholar] [CrossRef]
- Badawi, M.; Soudki, K. Flexural strengthening of RC beams with prestressed NSM CFRP rods–experimental and analytical investigation. Constr. Build. Mater. 2009, 23, 3292–3300. [Google Scholar] [CrossRef]
- Liu, H.-D.; Yu, X.-Z.; Li, G.-W. Experimental study on tensile mechanical properties of glass fiber reinforced plastic rebar. Chin. J. Rock Mech. Eng. 2005, 20, 017. [Google Scholar] [CrossRef]
- Takeda, K.; Mitsui, Y.; Murakami, K.; Sakai, H.; Nakamura, M. Flexural behaviour of reinforced concrete beams strengthened with carbon fibre sheets. Compos. Part A 1996, 27, 981–987. [Google Scholar] [CrossRef]
- Al-Mahmoud, F.; Castel, A.; François, R.; Tourneur, C. RC beams strengthened with NSM CFRP rods and modeling of peeling-off failure. Compos. Struct. 2010, 92, 1920–1930. [Google Scholar] [CrossRef]
- Hassoun, N.M. Design of Reinforced Concrete Structures; PWS Engineering: Boston, MA, USA, 1984. [Google Scholar]
- Rafi, M.M.; Nadjai, A.; Ali, F.; Talamona, D. Aspects of behaviour of CFRP reinforced concrete beams in bending. Constr. Build. Mater. 2008, 22, 277–285. [Google Scholar] [CrossRef]
- Teng, J.; de Lorenzis, L.; Wang, B.; Li, R.; Wong, T.; Lam, L. Debonding failures of RC beams strengthened with near surface mounted CFRP strips. J. Compos. Constr. 2006, 10, 92–105. [Google Scholar] [CrossRef]
- Akter Hosen, M.; Jumaat, M.Z.; Islam, A.S.; Obaydullah, M.; Darain, M.; Huda, N. Investigation on Energy Absorption Capacity of Reinforced Concrete Beams by the Near-Surface Mounted Technique Using Ductile Materials. Sci. Adv. Mater. 2016, 8, 1536–1546. [Google Scholar] [CrossRef]
- Gopalaratnam, V.S.; Gettu, R. On the characterization of flexural toughness in fiber reinforced concretes. Cem. Concr. Compos. 1995, 17, 239–254. [Google Scholar] [CrossRef]
- Lignola, G.; Prota, A.; Manfredi, G.; Cosenza, E. Non-linear modeling of RC rectangular hollow piers confined with CFRP. Compos. Struct. 2009, 88, 56–64. [Google Scholar] [CrossRef]
- Grace, N.F.; Sayed, G.; Soliman, A.; Saleh, K. Strengthening reinforced concrete beams using fiber reinforced polymer (FRP) laminates. ACI Struct. J. Am. Concr. Inst. 1999, 96, 865–874. [Google Scholar]
- Wang, H.; Belarbi, A. Ductility characteristics of fiber-reinforced-concrete beams reinforced with FRP rebars. Constr. Build. Mater. 2011, 25, 2391–2401. [Google Scholar] [CrossRef]
- Oudah, F.; El-Hacha, R. A new ductility model of reinforced concrete beams strengthened using fiber reinforced polymer reinforcement. Compos. Part B 2012, 43, 3338–3347. [Google Scholar] [CrossRef]
- Ashour, A. Flexural and shear capacities of concrete beams reinforced with GFRP bars. Constr. Build. Mater. 2006, 20, 1005–1015. [Google Scholar] [CrossRef]
- Rabinovitch, O.; Frostig, Y. Experiments and analytical comparison of RC beams strengthened with CFRP composites. Compos. Part B 2003, 34, 663–677. [Google Scholar] [CrossRef]
- Moon, D.Y.; Oh, H.S.; Zi, G.S. Assessment of Flexural Strengthening Behavior Using the Stirrup-Cutting Near Surface Mounted (CNSM) CFRP strip. J. Korea Inst. Struct. Maint. Insp. 2012, 16, 102–112. [Google Scholar] [CrossRef]
- Jumaat, M.Z.; Shukri, A.A.; Obaydullah, M.; Huda, M.N.; Hosen, M.A.; Hoque, N. Strengthening of RC beams using externally bonded reinforcement combined with near-surface mounted technique. Polymers 2016, 8, 261. [Google Scholar]
- American Concrete Institute (ACI). Building Code Requirements for Structural Concrete (ACI 318-11) and Commentary; ACI: Farmington Hills, MI, USA, 2011. [Google Scholar]
- Ud Darain, K.M.; Jumaat, M.Z.; Hossain, M.A.; Hosen, M.A.; Obaydullah, M.; Huda, M.N.; Hossain, I. Automated serviceability prediction of NSM strengthened structure using a fuzzy logic expert system. Exp. Syst. Appl. 2015, 42, 376–389. [Google Scholar] [CrossRef]
- Charif, A.; Mourad, S.M.; Khan, M.I. Flexural Behavior of Beams Reinforced with Steel Bars Exceeding the Nominal Yield Strength. Lat. Am. J. Solids Struct. 2016, 13, 945–963. [Google Scholar] [CrossRef]
- Hosen, M.A.; Jumaat, M.Z.; Alengaram, U.J.; Islam, A.; Hashim, H.B. Near Surface Mounted Composites for Flexural Strengthening of Reinforced Concrete Beams. Polymers 2016, 8, 67. [Google Scholar] [CrossRef]
- Zheng, Y.-Z.; Wang, W.-W.; Brigham, J.C. Flexural behaviour of reinforced concrete beams strengthened with a composite reinforcement layer: BFRP grid and ECC. Constr. Build. Mater. 2016, 115, 424–437. [Google Scholar] [CrossRef]
- Guide for the Design and Construction of Structural Concrete Reinforced with FRP Bars; ACI 440.1R-06; American Concrete Institute: Farmington Hills, MI, USA, 2006.
- Branson, D.E. Deformation of Concrete Structures; McGraw-Hill Companies: New York, NY, USA, 1977; p. 546. [Google Scholar]
- Building Code Requirements for Structural Concrete and Commentary; American Concrete Institute: Farmington Hills, MI, USA, 2005; p. 430.
- Eurocode 2: Design of Concrete Structures: Part 1-1: General Rules and Rules for Buildings; British Standards Institution: London, UK, 2004.






















| Beam ID | Description | Strengthening configuration | ||||
|---|---|---|---|---|---|---|
| Materials | Bar diameter (mm) | Bonded length (mm) | Groove size (mm) | Adhesive | ||
| CB | Control beam (unstrengthened) | |||||
| S1.6D8 | RC beams strengthened with the SNSM technique using different amounts of GFRP reinforcements | Glass fiber-reinforced polymer (GFRP) bars | 8 | 1600 | 25 × 25 | Epoxy |
| S1.7D8 | 1700 | |||||
| S1.8D8 | 1800 | |||||
| S1.9D8 | 1900 | |||||
| S1.6D10 | 10 | 1600 | ||||
| S1.7D10 | 1700 | |||||
| S1.8D10 | 1800 | |||||
| S1.9D10 | 1900 | |||||
| Diameter (mm) | Density (g/cm3) | Ultimate tensile strength (MPa) | Ultimate shear strength (MPa) | E-Modulus (GPa) |
|---|---|---|---|---|
| 8 | 2.2 | 1080 | 150 | 40 |
| 10 | 2.2 | 980 | 150 | 40 |
| Specimen | Compared with CB (%) | Compared with CB (%) | ||
|---|---|---|---|---|
| CB | 1.61 | - | 3.76 | - |
| S1.6D8 | 1.41 | −12 | 3.23 | −14 |
| S1.7D8 | 1.56 | −3 | 3.54 | −6 |
| S1.8D8 | 1.85 | 15 | 3.75 | −0.3 |
| S1.9D8 | 1.69 | 5 | 4.17 | 11 |
| S1.6D10 | 1.55 | −4 | 3.74 | −0.5 |
| S1.7D10 | 1.81 | 12 | 4.70 | 25 |
| S1.8D10 | 1.73 | 7 | 4.58 | 22 |
| S1.9D10 | 2.23 | 39 | 4.75 | 26 |
© 2017 by the authors. Licensee MDPI, Basel, Switzerland. This article is an open access article distributed under the terms and conditions of the Creative Commons Attribution (CC BY) license (http://creativecommons.org/licenses/by/4.0/).
Share and Cite
Hosen, M.A.; Alengaram, U.J.; Jumaat, M.Z.; Sulong, N.H.R.; Darain, K.M.u. Glass Fiber Reinforced Polymer (GFRP) Bars for Enhancing the Flexural Performance of RC Beams Using Side-NSM Technique. Polymers 2017, 9, 180. https://doi.org/10.3390/polym9050180
Hosen MA, Alengaram UJ, Jumaat MZ, Sulong NHR, Darain KMu. Glass Fiber Reinforced Polymer (GFRP) Bars for Enhancing the Flexural Performance of RC Beams Using Side-NSM Technique. Polymers. 2017; 9(5):180. https://doi.org/10.3390/polym9050180
Chicago/Turabian StyleHosen, Md. Akter, U. Johnson Alengaram, Mohd Zamin Jumaat, N. H. Ramli Sulong, and Kh. Mahfuz ud Darain. 2017. "Glass Fiber Reinforced Polymer (GFRP) Bars for Enhancing the Flexural Performance of RC Beams Using Side-NSM Technique" Polymers 9, no. 5: 180. https://doi.org/10.3390/polym9050180
APA StyleHosen, M. A., Alengaram, U. J., Jumaat, M. Z., Sulong, N. H. R., & Darain, K. M. u. (2017). Glass Fiber Reinforced Polymer (GFRP) Bars for Enhancing the Flexural Performance of RC Beams Using Side-NSM Technique. Polymers, 9(5), 180. https://doi.org/10.3390/polym9050180

