Bioinspired Poly(2-oxazoline)s
Abstract
: Poly(2-oxazoline)s are regarded as pseudopeptides, thus bioinspired polymers, due to their structural relationship to polypeptides. Materials and solution properties can be tuned by varying the side-chain (hydrophilic-hydrophobic, chiral, bioorganic, etc.), opening the way to advanced stimulus-responsive materials and complex colloidal structures. The bioinspired “smart” solution and aggregation behavior of poly(2-oxazoline)s in aqueous environments are discussed in this review.1. Introduction
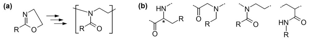
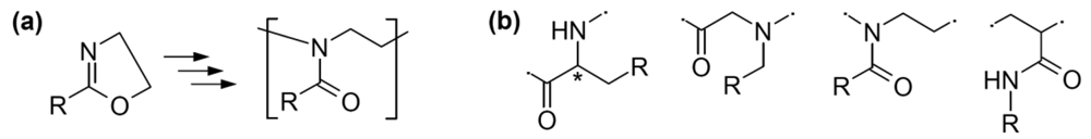
The cationic ring-opening polymerization of 2-substituted 2-oxazolines was discovered in 1966 by four independent research groups [1-4] yielding poly(2-oxazoline)s, i.e., poly(N-acyl ethyleneimine)s, that can be regarded as analogues of polypeptides and also of polypeptoids, i.e., poly(N-alkyl glycine)s, and polyacrylamides, as shown in Scheme 1. The structural relation to polypeptides is the reason why poly(2-oxazoline)s are considered as bioinspired polymers or pseudopeptides [5]. The tertiary amide groups in poly(2-oxazoline)s provide very high stability in biological environments compared to polypeptides, since the tertiary amides are not readily recognized and hydrolyzed by enzymes. In addition, the polymer backbone cannot be hydrolyzed since the amide groups are present as side-chains.
The living cationic ring-opening polymerization of 2-oxazolines, which can be achieved under appropriate reaction conditions, provides easy and direct access to a wide variety of well-defined polymers, whereby the end-group functionality can be controlled during initiation and termination, while side-chain functionality can be controlled by incorporation of a (protected) functional monomer. Furthermore, the properties of poly(2-oxazoline)s can be tuned by simply varying the side-chain of the 2-oxazoline monomer and by copolymerization of different monomers. Small side-chains such as methyl, ethyl and different variants of propyl, result in water-soluble or thermoresponsive polymers while larger aliphatic or aromatic substituents result in hydrophobic polymers. The livingness of the cationic ring-opening polymerization also provides straightforward access to well-defined block copolymers by sequential monomer addition procedures, which together with the tunable polymer properties is a versatile method for the preparation of amphiphilic polymer structures. Other more sophisticated poly(2-oxazoline) architectures are accessible based on, for example, multifunctional initiators, macromonomers or end-capping procedures.
The synthesis and polymerization mechanisms of a wide variety of 2-oxazoline monomers have been reviewed by Kobayashi [6], Aoi and Okada [7], as well as by Kobayashi and Uyama [8]. Aspects of advanced macromolecular engineering of polyoxazolines, including side- and end-chain functionalization, synthesis and properties of block and random copolymers, etc., have very recently been assorted by Hoogenboom [9,10], Schlaad et al. [11], and Makino and Kobayashi [12]. The use of fatty acid based monomers for the preparation of sustainable poly(2-oxazoline)s was also recently highlighted by Hoogenboom [13].
The aim of the present mini-review is to highlight the bioinspired “smart” solution properties and formation of self-assembled structures of poly(2-oxazoline)s in aqueous solution. Not considered are other emerging applications of poly(2-oxazoline)s, for instance in the fields of biomedicine and life sciences, where POXylation is being successfully introduced as an alternative to PEGylation [14], which has very recently been reviewed elsewhere [15]. Rather than trying to present a comprehensive overview of the literature as was done in other recent articles [9-13], it is aimed to introduce the importance and potential of bioinspired poly(2-oxazoline)s based on selected key references from the last decade.
2. “Smart” Behavior of Poly(2-oxazoline)s
The biological function of most natural polymers relies on their sensitivity towards environmental changes providing adaptivity to living matter. A prime example of such adaptivity in nature is the clotting of blood upon exposure to air driven by coagulation of proteins. In recent years, a great number of synthetic stimulus-sensitive or “smart” polymers have been reported, which undergo a change of solution properties upon a change of, for example, temperature, pH, or ionic strength. The most thoroughly investigated responsive ‘smart’ behavior of poly(2-oxazoline)s is thermosensitivity.
2.1. Thermoresponsive Poly(2-oxazoline)s in Aqueous Solution
Kwei et al. were the first to report the thermosensitivity of aqueous solutions of poly(2-ethyl-2-oxazoline) (PEtOx) [16]. The cloud points were found to depend on polymer concentration revealing a lower critical solution temperature (LCST) in the range of 61–64 °C depending on the polymer molecular weight (20–500 kDa). PEtOx with a molecular weight below 10 kDa does not exhibit a cloud point at 0.5 wt% as first demonstrated by Du Prez [17]. Furthermore, PEtOx can be salted out from aqueous solution by the addition of sodium chloride, leading to a decrease of the LCST, whereas the opposite effect is observed with tetrabutylammonium bromide [16]. A more extensive study on salting in and salting out effects of a range of Hofmeister ions on different thermoresponsive poly(2-alkyl-2-oxazoline)s was recently performed by Hoogenboom and Schubert [18]. In 1992 Kobayashi et al. introduced poly(2-isopropyl-2-oxazoline) (PiPrOx) as a thermoresponsive polymer exhibiting a cloud point in the range from 36 to 39 °C [19]. Complete PiPrOx phase diagrams were reported by Van Mele based on modulated temperature differential scanning calorimetry revealing type I phase behavior [20], while Winnik investigated the thermodynamic parameters for the temperature induced phase transition of PiPrOx in detail [21]. Kataoka et al. reported a cloud point temperature of 24 °C for a 1 wt% aqueous solution of poly(2-(n-propyl)-2-oxazoline) (PnPrOx), which is the third and most recently reported poly(2-oxazoline) homopolymers exhibiting LCST behavior [22]. PiPrOx and PnPrOx are structural isomers and potential alternatives of poly(N-isopropylacrylamide) (PNIPAM; LCST = 32 °C), considered as the “gold standard” of LCST polymers, especially for biomedical applications [23].
The phase transition or cloud point temperature of PiPrOx can be tuned via the polarity of the end groups [24,25]. Furthermore, Kataoka et al. demonstrated that the cloud point of aqueous solutions of PiPrOx-based statistical copolymers can be altered by the nature and amount of the second comonomer. Aqueous solutions containing 1 wt% of gradient copolymers of iPrOx and EtOx exhibited cloud points between 39 and 67 °C, depending linearly on the weight fraction of EtOx [26]. A broad temperature range between 9 and 75 °C could be covered by combination of iPrOx with other 2-alkyl-2-oxazolines, alkyl = n-propyl (nPrOx), n-butyl (nBuOx), and n-nonyl (nNonOx), in varying composition, as demonstrated by Jordan et al. [27]. Also, statistical copolymers of iPrOx and 2-(3-butenyl)-2-oxazoline were modified with various hydrophobic and hydrophilic thiols, including alkanethiols and thio-sugars, which allowed straightforward tuning of the cloud point temperature in the range of 10–90 °C, as demonstrated by Diehl and Schlaad (Figure 1(a)) [28].
Kataoka et al. showed that the cloud points of EtOx-nPrOx copolymers could be tuned from 24 to 75 °C exhibiting a non-linear relation between the cloud points and the composition [22]. Extended investigations by Hoogenboom and Schubert et al. revealed that the cloud points could not only be tuned by the composition, but also by the degree of polymerization, as shown in Figure 1(b). An empirical model was proposed allowing the prediction of cloud points [29].
Graft copolymers and molecular brushes with polymethacrylate or polymethacrylamide backbones and hydrophilic poly(2-alkyl-2-oxazoline) side-chains have been studied by Hoogenboom and Schubert et al. [30] and by Jordan et al. [31]. The cloud points of 0.5–1 wt% aqueous polymer solutions were found to vary from 27 to 80 °C, depending on the chain lengths and compositions of the copolymers. Branched polymers were found to exhibit lower cloud point temperatures as compared to corresponding linear polymers [31]. Graft copolymers of PEtOx with methacrylic acid revealed a strongly pH-dependent thermoresponsiveness due to switching of the polarity and repulsion of the carboxylic acid groups upon (de)protonation [32]. Voit et al. investigated graft copolymers with thermoresponsive poly(NIPAM-stat-chloromethylstyrene) backbones and hydrophilic poly(2-alkyl-2-oxazoline) side-chains. The phase transition temperatures were found to increase with increasing number and length of the side-chains [33].
A few recent reports discussed the UCST (= upper critical solution temperature) behavior of poly(2-oxazoline)s in aqueous solution, namely ethanol-water mixtures. Schubert et al. reported that poly(2-phenyl-2-oxazoline) (PPhOx) exhibits an UCST in ethanol solution [34]. Interestingly, the solubility of PPhOx was found to increase with the addition of water to the ethanol solution leading to a solubility maximum at a water content of 6 to 25 wt%. The solubility maximum was ascribed to the presence of a ‘compatibilizing’ hydration shell around the polymer. Hoogenboom and Schubert more recently reported a systematical investigation on the solubility of various poly(2-substituted-2-oxazoline)s in ethanol-water solvent mixtures revealing that more ethanol is required for the UCST transition of more hydrophobic polymers [35]. Also PEtOx-PPhOx statistical copolymers exhibit UCST behavior in ethanol-water solvent mixtures, including a special case for PEtOx80-PPhOx20 in a water-ethanol mixture containing 40 wt% of ethanol revealing both LCST and UCST transitions when heated [34]. Furthermore, Hoogenboom and Schubert et al. showed that copolymers of EtOx and NonOx also display UCST behavior in water-ethanol solvent mixtures [36].
2.2. Thermoresponsive Poly(2-oxazoline)-Based Hydrogels
Thermoresponsive AB diblock, ABA triblock and multiblock copolymers based on poly(ε-caprolactone) (PCL) (A) and PEtOx (B) formed physically cross-linked micellar gels at low temperature and high concentration, as reported by Jeong et al. [37,38]. Increasing the temperature induced a gel-sol transition followed by precipitation due to the collapse of the PEtOx chains. Contrary to that demonstrated by Wang and HSiue, ABA triblock copolymers with polylactide (PLA) A blocks and PEtOx B blocks did not precipitate, but formed weak gels on passing the phase transition temperature, i.e., thermally induced gelation, again based on physical crosslinks [39]. Interestingly, the cloud point temperature of PEtOx could be lowered to 33–38 °C by combination with PLA depending on the block copolymer composition.
Covalently cross-linked PEtOx hydrogels were first reported by Wang and Hsiue by copolymerization of PEtOx-bismethacrylate with three-armed PLA-trismethacrylate, resulting in biodegradable thermoresponsive hydrogels [40]. Du Prez et al. introduced non-degradable covalently cross-linked hydrogels consisting of PEtOx macromonomers and hydroxyethyl methacrylate (HEMA) or hydroxypropylacrylate [17]. These hydrogels exhibited reversible swelling-deswelling behavior upon step-wise change of temperature from 20 to 70 °C. Similarly, Kim reported reversible temperature-induced swelling-deswelling cycles for interpenetrating network hydrogels of cross-linked PEtOx macromonomer with polyvinyl alcohol) (PVA) [41] or chitosan [42].
Albertson et al. reported the synthesis and swelling behavior of ternary microgel particles consisting of PNIPAM, PHEMA, and PMeOx or PEtOx [43]. The microgel particles displayed thermosensitivity in the 28–38 °C range and could be assembled into a colloidal crystal-like fashion to form porous hydrogels with uniform micron-sized channels (Figure 2). The self-assembly process is mainly based on hydrogen bond development between tertiary (hydrogen accepting) and secondary amide groups (hydrogen donating). The channel-like microstructure facilitated the release of water, thus leading to a more rapid deswelling of the hydrogels as compared to PNIPAM hydrogels.
3. Self-Assembly of Poly(2-oxazoline)s in Aqueous Solution
The overall polarity of poly(2-oxazoline)s can be easily tuned by the variation of the 2-substituent providing access to both hydrophilic and hydrophobic polymers. In combination with their preparation via living cationic ring-opening polymerization this opens up the formation of a variety of amphiphilic block copolymers. The hydrophobic assembly of such block copolymers in aqueous solutions will be discussed in this section as well as the assembly of amphiphilic structures having a poly(2-oxazoline) hydrophilic block and another hydrophobic (polymer) block.
3.1. Micelles
The simplest class of poly(2-oxazoline) amphiphiles is based on hydrophilic homopolymers bearing one or two hydrophobic end-groups that can be introduced by initiation or termination. Amiel et al. reported the self-assembly behavior of monoalkyl end-functionalized PMeOx based on small angle neutron scattering (SANS) [44,45]. Star-like micelles were formed with the PMeOx blocks stretched in solution. The micelles could be disrupted by the addition of β-cyclodextrin rendering the hydrophobic end-group hydrophilic by inclusion complex formation. In addition, it was demonstrated by the same group that α,ω-dialkyl end-functionalized PMeOx self-assembles in aqueous solution into flower-like micelles that form intermicellar bridges in the vicinity of the micelle overlap concentration leading to a large increase in viscosity [46]. Winnik et al. investigated the self-assembly of telechelic and semi-telechelic octadecyl functional PEtOx and PiPrOx as a function of temperature [47]. The polymers formed self-assembled micellar aggregates below the LCST temperature, while heating above the transition temperature resulted in the formation of large flexible aggregates of micelles. Further heating resulted in the formation of smaller rigid aggregates that preserve their shape upon further heating as depicted in Figure 3.
Besides hydrophobic alkyl end-groups, other polymeric hydrophobic blocks have been combined with a hydrophilic poly(2-oxazoline) block resulting in amphiphilic block copolymers. The majority of reports dealing with such block copolymer micellization focused on the combination of PEtOx or PMeOx with poly(ε-caprolactone) [48] or poly(lactide) [39,49] as basis for micellar drug delivery. A more detailed study of the effect of micelle preparation method on the micelle radius was reported by Lee and Jeong for a PEtOx-PCL block copolymer [50]. Micelles were prepared by first dissolving the copolymer in an organic solvent followed by drop-wise addition of water and organic solvent evaporation, whereby the polarity of the organic solvent determines the resulting micellar size. The effect of the block copolymer composition on micellar characteristics and critical micelle concentration (CMC) for PEtOx-block-poly(1,3-trimethylene carbonate) have been studied by Kim et al., revealing, as expected, a lower CMC and larger micelles with increasing hydrophobic block length [51]. All previous block copolymers were based on biodegradable polyesters as hydrophobic block. In contrast, Volet prepared non-degradable poly(isobutylvinyl ether)-block-PMeOx block copolymers to study their micellization behavior in water as selective solvent for PMeOx and cyclohexane as selective solvent for poly(isobutylvinyl ether) revealing the formation of micelles with a dehydrated core in water and micelles with a swollen core in cyclohexane due to the partial solubility of PMeOx in this solvent [52]. Schubert et al. reported the micellization behavior of a series of PEtOx-block-polystyrene (PS) block copolymers with varying PS chain length [53]. The size of micelles scaled linearly with the degree of polymerization of the insoluble block to the power of three fifths, indicating the formation of hairy micelles.
Despite the successful synthesis and micellization of block copolymers consisting of a poly(2-oxazoline) block and another hydrophobic polymer block, the most straightforward amphiphilic poly(2-oxazoline) block copolymers comprise multiple poly(2-oxazoline) blocks and can be made by sequential monomer addition procedures. Amphiphilic poly(2-oxazoline) block copolymers were already recognized as promising non-ionic surfactants by the group of Kobayashi in 1986 [54]. Naka et al. and Binder et al. demonstrated that the micellization of such poly(2-oxazoline) block copolymers can be influenced by variation of the hydrophobic poly(2-oxazoline) block [55,56].
The self-assembly of fluorescently labeled PMeOx-b-PNonOx copolymers was investigated in detail by Papadakis et al. using fluorescence correlation spectroscopy (FCS) [57,58]. The PNonOx was found to be fully stretched by SANS while the PMeOx is coiled in the corona [59]. The formation of PEtOx-b-NonOx micellar aggregates in both water and a hydrophobic ionic liquid was reported by Schubert et al. revealing temperature-induced shuttling of the micelles [60]. At low temperature, the micelles are present in water while the decreasing solubility of PEtOx in water at elevated temperatures leads to reversible transfer of the micelles to the ionic liquid. Furthermore, Hoogenboom and Schubert et al. studied the micellization of PEtOx-b-NonOx block copolymers in water-ethanol mixtures revealing spherical micelles that increased in size with the addition of ethanol due to expansion of the PEtOx chains in the corona [36]. The self-assembly behavior of a block copolymer based on EtOx and a hydrophobic monomer with soy-bean fatty acid side chains was investigated by Schubert and Gohy et al. revealing the formation of well-defined spherical micelles [61]. The oxidative crosslinking of the unsaturated fatty acid side chains was successfully exploited for cross-linking the micellar structures. Recently, Trzebicka and coworkers reported the micellization of PEtOx-PPhOx block copolymers with varying PPhOx hydrophobic segment length [62]. A small PPhOx segment gave rise to the formation of highly hydrated spherical micelles while larger PPhOx domains resulted in large aggregates consisting of multiple spherical micelles that could be disrupted by shear. The self-assembly of poly(2-oxazoline) block copolymers with a catalytic side-chain functionality in the hydrophobic block has been studied in detail for micellar catalysis by Nuyken and Weberskirch et al. [63-65]. Illustrative examples include the micellar catalysis using block copoly(2-oxazoline)s functionalized with copper [66], ruthenium [67], rhodium [68], and palladium [69] metal complexes.
The self-assembly of triblock and tetrablock copoly(2-oxazoline)s based on MeOx, EtOx, NonOx and PhOx was demonstrated by Schubert et al. [70,71]. Recently, more detailed investigations on the micellization of these copolymers were reported in solvent mixtures of ethanol and water [72]. Within this study the effect of sample preparation on the resulting micellar morphology was demonstrated for PMeOx-b-PPhOx-b-PNonOx revealing the formation of spherical micelles when the ethanol-solvent ratio was changed from 60:40 ethanol:water to 40:60, while direct micellization of the triblock copolymer in 40:60 ethanol water resulted in mostly cylindrical micelles and even some vesicles. The temperature induced micellization of triblock copolymers having hydrophilic PMeOx outer blocks and a thermoresponsive PiPrOx block was demonstrated by Hruby and coworkers as depicted in Figure 4 [73]. The size of the formed micelles could be controlled by the length of the polymer blocks and the critical micellization temperature was adjusted by copolymerization of iPrOx with 2-n-butyl-2-oxazoline. Finally, a minor fraction of a phenolic comonomer was incorporated allowing labeling with iodine radioisotopes for diagnostics and radiotherapy.
Besides linear block copolymers, star-shaped block copoly(2-oxazoline)s are accessible by using a star-shaped initiator. This synthetic strategy was exploited by Jin for the preparation of amphiphilic porphyrin-centered star-shaped PMeOx-b-PPhOx block copolymers [74]. The location of the porphyrin in the self-assembled aqueous micelles, either in the core or in the corona, was controlled by incorporating the hydrophobic PPhOx as first block attached to the porphyrin leading to ‘normal’ micelles with the porphyrin in the core or having the PPhOx as outer block leading to flower-like micelles with the porphyrin in the corona.
The previously described block copolymer micelles require a one-pot multistep synthetic procedure for the preparation of the block copolymers. A simpler approach for the formation of amphiphilic poly(2-oxazoline) structures is the copolymerization of monomers with different reactivities, e.g., copolymerization of EtOx with the less nucleophilic PhOx, resulting in the formation of a spontaneous gradient in monomer composition. Jordan and Papadakis et al. exploited the slight difference in reactivity between MeOx and NonOx to make copolymers with a shallow monomer gradient [75]. This shallow gradient was demonstrated to already have significant impact on the micellization behavior leading to smaller micelles compared to the block copolymer analogue. Hoogenboom and Schubert et al. investigated the self-assembly behavior of MeOx-stat-PhOx copolymers with a much steeper monomer gradient in water-ethanol solvent mixtures [76]. With increasing ethanol content, more and more of the gradient structure dissolved leading to the formation of smaller micelles due to a shift in solvophilic to solvophobic ratio. The combination of the different influence of the ethanol-water solvent composition on the UCST behavior of PPhOx and PNonOx, was exploited by the same authors to develop thermoresponsive schizophrenic micelles based on statistical gradient copolymers of PNonOx and PPhOx [77].
A special class of poly(2-oxazoline) based micelles is represented by copolymers with a fluorinated hydrophobic segment, potentially leading to multicompartment micellar structures due to the demixing of lipophilic and fluorophilic hydrophobic segments. The synthesis and self-assembly behavior of amphiphilic PMeOx with both fluorocarbon and hydrocarbon chain end functionalities was reported by Spiess and Nuyken et al. giving rise to the formation multicompartment micelles containing two segregated spherical hydrophobic domains [78] or, at lower concentration, cylindrical micelles with a segregated cylindrical core [79]. Amphiphilic block copoly(2-oxazoline)s with a poly(2-perfluoroalkyl-2-oxazoline) hydrophobic block were demonstrated by Nuyken to aggregate into micellar structures in aqueous solution [80]. To circumvent the very low nucleophilicity of perfluoralkyl oxazoline monomers that decelerate the polymerization, Jordan and Papadakis et al. reported the polymerization of 2-fluoroalkylethyl-2-oxazoline monomers where the strong electron withdrawing perfluoroalkyl chain is decoupled from the 2-oxazoline ring [81]. Amphiphilic block copolymers of MeOx with fluorinated monomers were prepared, which self-assembled into micelles with an elongated core-shell structure, presumably due to the high stiffness of the perfluorinated chain and the strong segregation from the water phase. Schubert and Gohy et al. recently described amphiphilic triblock copoly(2-oxazoline)s based on EtOx, a branched 2-(1-ethylheptyl)-2-oxazoline hydrophobic monomer, and fluorinated 2-(ortho-difluorophenyl)-2-oxazoline, which in water self-assembled into unprecedented rolled up spiral like cylindrical micelles (Figure 5) [82]. The formation of these spiral-like structures was purported to be due to a combination of the high flexibility of the branched aliphatic side chains with the limited water-solubility of PEtOx.
3.2. Vesicles
Schlaad et al. described a non-amphiphilic poly [2-(4-(β-D-glucosylsulfanyl)-butyl)-2-oxazoline] homopolymer, degree of polymerization n = 63, which upon direct dissolution in water produced a mixture of spherical and fibrillar aggregates (vide infra) [83]. The spherical aggregates, which measured about 60 nm in diameter, were believed to be unilamellar vesicles. Details concerning the structure of the vesicle wall, however, were not provided.
Kuo et al. synthesized a series of amphiphilic rod-coil block copolymers consisting of hydrophobic poly(γ-benzyl l-glutamate) (PBLG) and hydrophilic PEtOx blocks. In water, these copolymers self-assembled into spherical micelles or vesicles. In toluene or benzyl alcohol, i.e., helicogenic solvents for PBLG, diverse aggregate morphologies including spheres, vesicles, ribbons, and tubes were observed [84]. Jin observed for a porphyrin-centered star polymer bearing four PPhOx-PMeOx block copolymer arms the formation of spherical and tubular vesicular aggregates in a DMF/water mixture [85]. However, the mechanism of formation of these structures is not known yet.
Several reports in the recent literature deal with triblock copolymer vesicles or polymersomes. The hydrophobic wall is usually built with polydimethylsiloxane (PDMS) or a related copolymer, and the stabilizing corona or shell is made of hydrophilic poly(2-oxazoline), usally PMeOx or PEtOx.
ABA symmetric membranes. Scholz et al. synthesized ABA triblock copolymers with the A blocks consisting of PMeOx and the B block consisting of hydrophobic poly(dimethylsiloxane-co-methyl-hydrosiloxane), P(DMS-MHS) [86]. The middle block was decorated with supramolecular receptors, i.e., methyl benzoate or 18-crown-6 ether, via polymer analogous hydrosilylation reaction. The block copolymers self-assembled into vesicles of 2–10 μm in diameter, as observed by conventional light microscopy, upon electroformation in aqueous solution. The size of vesicles could be controlled by the composition and overall polarity of the copolymer.
Meier et al. applied a crosslinking polymerization of a PMeOx-PDMS-PMeOx triblock copolymer carrying methacrylate groups for the formation of a freestanding 10-nm ultrathin membrane [87]. In this artificial polymer membrane, transmembrane proteins like OmpF and maltoporin could be reconstituted under the preservation of protein conformation and function. Also, the functional water channel protein Aquaporin Z could be incorporated into PMeOx-PDMS-PMeOx vesicles, measuring about 320 nm in diameter, to yield highly permeable polymeric membranes [88]. Such polymer-protein hybrid membranes have salt rejection and water permeability ideal for desalination. Also, the same group applied ionophores to control ion concentration within PMeOx-PDMS-PMeOx block copolymer giant vesicles during the mineralization of e.g., calcium phosphate (Figure 6(a)) [89]. Reconstituted channel proteins LamB in triblock copolymer vesicles were found to function as phage receptor. After binding to the vesicle surface, the phage injected its DNA across the polymer membrane into the vesicle (Figure 6(b))—this type of polymeric vehicle for DNA could be useful for gene therapy [90].
Montemagno et al. used polymer vesicles made from ABA triblock copolymers, A = PEtOx (hydrophilic) and B = PDMS (hydrophobic) for the construction of a multiprotein–polymersome system [91-93]. Polymer vesicles had mean diameters in the range of a few tens to hundreds of nanometers and exhibited a hydrophobic wall thickness of about 4 nm (similar to that of biological phospholipid membranes), which is enough for successful reconstitution of proteins. Bacteriorhodopsin, a light-driven transmembrane proton pump, and F0F1-ATP synthase were simultaneously reconstituted into the polymersome in order to achieve light-driven ATP biosynthesis.
ABC asymmetric membranes. Stoenescu and Meier investigated linear ABC triblock copolymers made of polyethylene oxide) (PEO) (A), PDMS (B), and PMeOx (C) [94]. Solutions of 2 wt% polymer in water contained vesicles with sizes in the range of 30–600 nm, as evidenced by dynamic light scattering (DLS) and transmission electron microscopy (TEM). Interestingly, fluorescence quenching experiments suggested that vesicles exhibited phase-separated or asymmetric membranes (see also [95]). In the case of A45B65C346 (the subscripts denoting the average numbers of repeat units), all PMeOx chains were oriented towards the outside of the vesicle membrane and the PEO chains towards the inside. The inverse arrangement of chains was found for A45B40C97 with shorter PMeOx block, indicating that the self-assembly process was directed through geometrical issues, i.e., the relative volume fractions of the two hydrophilic block segments. This polymer system appears to be well-suited to prepare asymmetric membranes for biologically inspired technical applications as well as for “directed” reconstitution of proteins (vide supra).
Solid-supported biomimetic membranes. Jordan et al. prepared stable lipid membranes with controlled substrate-membrane spacing using telechelic lipopolymers (PMeOx or PEtOx) as a tether [96]. Polymers were grafted onto a solid substrate via silanol reactive groups to form brush-like monolayers. Transfer of a pre-organized monolayer and subsequent spreading of the upper lipid monolayer by vesicle fusion enabled the successful construction of a polymer-tethered membrane.
3.3. Fibers
Schlaad et al. reported poly [2-(4-(β-d-glucosylsulfanyl)-butyl)-2-oxazoline] homopolymers, which spontaneously formed nanotubes of several hundreds of nanometers in length in water (Figure 7(a)) [83,97]. The diameter of the nanotubes was just 4–9 nm, and the thickness of the wall was about 1 nm. Formation of the tubes should occur via a 2D hydrogen-bonded layer of interdigitated polymer chains undergoing bending and closing to a tube, i.e., it is driven by hydrogen bonding and not hydrophobic interactions. Supporting the idea of a hydrogen-bonded structure, the nanotubes were not observed in 8 M aqueous urea or in PBS buffer solution.
PiPrOx homopolymers can be crystallized in hot aqueous solution at a temperature above the cloud point temperature, producing coagulate particles with an internal fibrous structure and a melting point close to 200 °C [98], i.e., PiPrOx is semi-crystalline while PMeOx, PEtOx and PnPrOx are amorphous materials. It was proposed that hydrophobic interactions and oriented dipolar interactions promote a slow crystallization of the PiPrOx chains to form nanoribbons, which then fuse together to form nanofibers (Figure 7(b), left). These nanofibers can further assemble into microspheres (vide infra), which is prevented by the presence of small amounts of a co-solvent (e.g., ethanol or tetrahydrofuran) (Figure 7(b), right) [98] or a surfactant (e.g., sodium dodecylsulfate) [11]. Likewise, Winnik et al. observed formation of microfibers by heat-induced phase transition and crystallization of an octadecyl end-capped PiPrOx in water (Figure 7(c)) [99].
Ogoshi and Nakamoto et al. reported the supramolecular self-assembly of six-arm star- and tadpole-shaped PMeOxs containing a triphenylene core in aqueous solution, yielding rigid “columnar stacks” (Figure 7(d), left) and more flexible “crooked wires” (Figure 7(d), right), respectively [100]. The formation of such fiber-like structures was driven by π-π-interactions of the hydrophobic aromatic core, and the assemblies were stabilized in water by the neutral hydrophilic PMeOx chains.
3.4. Hierarchical Structures
Poly(2-alkyl-2-oxazoline)s (alkyl = C3 or higher) are known for their ability to crystallize in the bulk [101]. PiPrOx, however, may even crystallize in hot aqueous solution to yield a coagulate of uniform microspheres built of crystalline nanofibers (Figure 8) [11]. Crystalline nanofibers could always be observed, but the morphology on the micrometer length scale was found to depend strongly on the environmental conditions, like for instance temperature [102], presence of a co-solvent, surfactant or salt and polymer end group charges.
The kinetics of the crystallization process and the time-dependent evolution of the morphology were examined using wide-angle X-ray scattering (WAXS) and cryogenic/conventional scanning electron microscopy (SEM). The results indicate that the temperature-induced phase separation of dilute aqueous PiPrOx solutions produces a bicontinuous network-like structure (Figure 9(a)). With the onset of crystallization after ∼4 h (for 1 wt% PiPrOx in water at 60 °C) the network collapses into individual particles composed of a porous fiber mesh. These “premature” particles then act within the next ∼5 h as nucleation sites for secondary crystallization. Nanofibers preferentially form at the particle surface, thus wrapping the microspheres like a ball of wool (Figure 9(b)). This stage is characterized by a steep increase in the crystallinity of the material. Crystallinity reaches a plateau after 8–10 h, when most of the amorphous material is depleted. At this time, compact and isolated microspheres of uniform size (∼1−2 μm in diameter) have been formed. Upon further annealing for several days, the particles then get interconnected by nanofibers.
The phase separation/crystallization process is not restricted to PiPrOx homopolymers but is also observed for random and block copolymers [11]. For instance, the annealing of an aqueous solution of poly[2-(isopropyl/3-butenyl)-2-oxazoline] copolymer containing 5 mol% of unsaturated units resulted in the formation of porous microspheres, which could be further functionalized by thiol-ene photochemistry. Microparticles with carbohydrate moieties on the surface selectively interacted with lectins and could be used as a “fishing rod” for the isolation and separation of specific lectins (ConA and RCA I) from a mixture [103].
Poly(2-oxazoline)s with a chiral substituent at the main-chain carbons have been considered as mimics of polypeptides or proteins with the ability to form secondary and higher-order hierarchical structures. Modeling work of Goodman et al. predicted that main-chain chiral poly(2-oxazoline)s can indeed form a helical secondary structure [104]. Indeed, Hoogenboom and Schubert et al. found evidence for a secondary structure of chiral poly(2-butyl-4-ethyl-2-oxazoline) using circular dichroism (CD) spectroscopy [105]. However, these poly(2-oxazoline)s adopted a dynamic and flexible helical structure with an overall random coil structure, as evidenced by SANS. Statistical copolymers of both enantiomers revealed that the chiral properties can be controlled in a linear fashion, i.e., there is no majority rules effect as might be expected from the dynamic nature of the secondary structure [106].
Bulk hierarchical self-assembly of castor oil end-capped PMeOx amphiphiles was reported by Lapinte and coworkers [107]. Slow evaporation of water revealed the formation of star-shaped morphologies that appear to grow out of the central point, although no details on the formation mechanism were reported.
4. Concluding Remarks
Poly(2-oxazoline)s are a class of synthetic pseudo-polypeptides and, thus, significant research efforts have been devoted to mimicking naturally occurring assembly processes and adaptivity leading to the field of bioinspired poly(2-oxazoline)s. Recent progress in this field has been reviewed, clearly identifying two main research tracks, namely smart poly(2-oxazoline)s and self-assembly of poly(2-oxazoline)s. The smart materials are mainly based on the thermoresponsive behavior of poly(2-oxazoline)s in aqueous solutions, i.e., certain poly(2-oxazoline) reveal a temperature induced phase transition leading to an autonomous response to variations in temperature. The transition temperature could be easily tuned by copolymerization or post-modification methods. Moreover, recent work revealed the less common UCST transition of various poly(2-oxazoline)s in aqueous ethanol. The interest in self-assembly of poly(2-oxazoline)s is driven by the straightforward access to amphiphilic structures based on different 2-oxazoline monomers. Significant progress has been made in the last decade leading to a broad variety of self-assembled structures including multicompartment micelles, self-assembled fibers, and hierarchical assembly processes.
The large amount of recent literature on bioinspired poly(2-oxazoline)s clearly demonstrates the importance and emergence of this research area. Next to the manifold beautiful research examples already published in recent years, we are looking forward to new developments and breakthroughs that without doubt will appear in the coming years.










Acknowledgments
We would like to thank all former and present coworkers working in the field of bioinspired polymers. H. S. acknowledges financial support by the Max Planck Society (Campus Project “Synthetic Bioactive Surfaces”) and German Research Foundation (within the Eurocores Programme BIOSONS).
References
- Tomalia, D.A.; Sheetz, D.P. Homopolymerization of 2-alkyl- and 2-aryl-2-oxazolines. J. Polym. Sci. A-Polym. Chem. 1966, 4, 2253–2265. [Google Scholar]
- Seeliger, W.; Aufderhaar, E.; Diepers, W.; Feinauer, R.; Nehring, R.; Thier, W.; Hellmann, H. Recent synthesis and reactions of cyclic imidic esters. Angew. Chem. Int. Ed. 1966, 5, 875–888. [Google Scholar]
- Kagiya, T.; Narisawa, S.; Maeda, T.; Fukui, K. Ring-opening polymerization of 2-substituted 2-oxazolines. J. Polym. Sci. B-Polym. Lett. 1966, 4, 441–445. [Google Scholar]
- Bassiri, T.G.; Levy, A.; Litt, M. Polymerization of cyclic imino ethers. I. Oxazolines. J. Polym. Sci. B-Polym. Lett. 1967, 5, 871–879. [Google Scholar]
- Aoi, K.; Suzuki, H.; Okada, M. Architectural control of sugar-containing polymers by living polymerization: Ring-opening polymerization of 2-oxazolines initiated with carbohydrate derivatives. Macromolecules 1992, 25, 7073–7075. [Google Scholar]
- Kobayashi, S. Ethylenimine polymers. Progr. Polym. Sci. 1990, 15, 751–823. [Google Scholar]
- Aoi, K.; Okada, M. Polymerization of oxazolines. Prog. Polym. Sci. 1996, 21, 151–208. [Google Scholar]
- Kobayashi, S.; Uyama, H. Polymerization of cyclic imino ethers: From its discovery to the present state of the art. J. Polm. Sci. A-Polym. Chem. 2001, 40, 192–209. [Google Scholar]
- Hoogenboom, R. Poly(2-oxazoline)s: Alive and kicking. Macromol. Chem. Phys. 2007, 208, 18–25. [Google Scholar]
- Hoogenboom, R. Polyethers and polyoxazolines. In Handbook of Ring-Opening Polymerization; Dubois, P., Coulembier, O., Raquez, J.-M., Eds.; Wiley-VCH: Weinheim, Germany, 2009. [Google Scholar]
- Schlaad, H.; Diehl, C.; Gress, A.; Meyer, M.; Demirel, A.L.; Nur, Y.; Bertin, A. Poly(2-oxazoline)s as smart bioinspired polymers. Macromol. Rapid Commun. 2010, 31, 511–525. [Google Scholar]
- Makino, A.; Kobayashi, S. Chemistry of 2-oxazolines: A crossing of cationic ring-opening polymerization and enzymatic ring-opening polyaddition. J. Polym. Sci. A-Polym. Chem. 2010, 48, 1251–1270. [Google Scholar]
- Hoogenboom, R. Fatty acid based poly(2-oxazoline)s. Eur. J. Lipid Sci. Technol. 2011. [Google Scholar] [CrossRef]
- Knop, K.; Hoogenboom, R.; Fischer, D.; Schubert, U.S. Poly(ethylene glycol) in drug delivery: Pros and cons as well as potential alternatives. Angew. Chem. Int. Ed. 2010, 49, 6288–6308. [Google Scholar]
- Hoogenboom, R. Poly(2-oxazoline)s: A polymer class with numerous potential applications. Angew. Chem. Int. Ed. 2009, 48, 7978–7994. [Google Scholar]
- Lin, P.Y.; Clash, C.; Pearce, E.M.; Kwei, T.K.; Aponte, M.A. Solubility and miscibility of poly(ethyl oxazoline). J. Polym. Sci. B-Polym. Phys. 1988, 26, 603–619. [Google Scholar]
- Christova, D.; Velichkova, R.; Loos, W.; Goethals, E.J.; Du Prez, F. New thermo-responsive polymer materials based on poly(2-ethyl-2-oxazoline) segments. Polymer 2003, 44, 2255–2261. [Google Scholar]
- Bloksma, M.M.; Bakker, D.J.; Weber, C.; Hoogenboom, R.; Schubert, U.S. The effect of Hofmeister salts on the LCST transition of poly(2-oxazoline)s with varying hydrophilicity. Macromol. Rapid Commun. 2010, 31, 724–728. [Google Scholar]
- Uyama, H.; Kobayashi, S. A novel thermo-responsive polymer. Poly(2-isopropyl-2-oxazoline). Chem. Lett. 1992, 21, 1643–1646. [Google Scholar]
- Zhao, J.; Hoogenboom, R.; Van Assche, G.; Van Mele, B. Demixing and remixing kinetics of poly(2-isopropyl-2-oxazoline) (PIPOZ) aqueous solutions studied by modulated temperature differential scanning calorimetry. Macromolecules 2010, 43, 6853–6860. [Google Scholar]
- Diab, C.; Akiyama, Y.; Kataoka, K.; Winnik, F.M. Microcalorimetric study of the temperature-induced phase separation in aqueous solutions of poly(2-isopropyl-2-oxazolines). Macromolecules 2004, 37, 2556–2562. [Google Scholar]
- Park, J.-S.; Kataoka, K. Comprehensive and accurate control of thermosensitivity of poly(2-alkyl-2-oxazoline)s via well-defined gradient or random copolymerization. Macromolecules 2007, 40, 3599–3609. [Google Scholar]
- Schild, H.G. Poly(N-isopropylacrylamide)—Experiment, Theory and Application. Prog. Polym. Sci. 1992, 17, 163–249. [Google Scholar]
- Park, J.-S.; Akiyama, Y.; Winnik, F.M.; Kataoka, K. Versatile synthesis of end-functionalized thermosensitive poly(2-isopropyl-2-oxazolines). Macromolecules 2004, 37, 6786–6792. [Google Scholar]
- Huber, S.; Hutter, N.; Jordan, R. Effect of end group polarity upon the lower critical solution temperature of poly(2-isopropyl-2-oxazoline). Colloid Polym. Sci. 2008, 286, 1653–1661. [Google Scholar]
- Park, J.-S.; Kataoka, K. Precise control of lower critical solution temperature of thermosensitive poly(2-isopropyl-2-oxazoline) via gradient copolymerization with 2-ethyl-2-oxazoline as a hydrophilic comonomer. Macromolecules 2006, 39, 6622–6630. [Google Scholar]
- Huber, S.; Jordan, R. Modulation of the lower critical solution temperature of 2-Alkyl-2-oxazoline copolymers. Colloid Polym. Sci. 2008, 286, 395–402. [Google Scholar]
- Diehl, C.; Schlaad, H. Thermo-responsive polyoxazolines with widely tuneable LCST. Macromol Biosci. 2009, 9, 157–161. [Google Scholar]
- Hoogenboom, R.; Thijs, H.M.L.; Jochems, M.J.H.C.; van Lankvelt, B.M.; Fijten, M.W.M.; Schubert, U.S. Tuning the LCST of poly(2-oxazolines) by varying composition and molecular weight: Alternatives to poly(N-isopropylacrylamide). Chem. Commun. 2008. [Google Scholar] [CrossRef]
- Weber, C.; Becer, C.R.; Hoogenboom, R.; Schubert, U.S. Lower critical solution temperature behavior of comb and graft shaped poly [oligo(2-ethyl-2-oxazoline)methacrylate]s. Macromolecules 2009, 42, 2965–2971. [Google Scholar]
- Zhang, N.; Huber, S.; Schulz, A.; Luxenhofer, R.; Jordan, R. Cylindrical molecular brushes of poly(2-oxazoline)s from 2-isopropenyl-2-oxazoline. Macromolecules 2009, 42, 2215–2221. [Google Scholar]
- Weber, R.; Becer, C.R.; Guenther, W.; Hoogenboom, R.; Schubert, U.S. Dual responsive methacrylic acid and oligo(2-ethyl-2-oxazoline) containing graft copolymers. Macromolecules 2010, 43, 160–167. [Google Scholar]
- Rueda, J.; Zschoche, S.; Komber, H.; Schmaljohann, D.; Voit, B. Synthesis and characterization of thermoresponsive graft copolymers of NIPAAm and 2-alkyl-2-oxazolines by the “grafting from” method. Macromolecules 2005, 38, 7330–7336. [Google Scholar]
- Hoogenboom, R.; Thijs, H.M.L.; Wouters, D.; Hoeppener, S.; Schubert, U.S. Tuning solution polymer properties by binary water-ethanol solvent mixtures. Soft Matter 2008, 4, 103–107. [Google Scholar]
- Lambermont-Thijs, H.M.L.; Van Kuringen, H.P.C.; Van der Put, J.P.W.; Schubert, U.S.; Hoogenboom, R. Temperature induced solubility transitions of various poly(2-oxazoline)s in ethanol-water solvent mixtures. Polymers 2010, 2, 188–199. [Google Scholar]
- Lambermont-Thijs, H.M.L.; Hoogenboom, R.; Fustin, C.-A.; Bomal-D'Haese, C.; Gohy, J.-F.; Schubert, U.S. Solubility behavior of amphiphilic block and random copolymers based on 2-ethyl-2-oxazoline and 2-nonyl-2-oxazoline in binary water-ethanol mixtures. J. Polym. Sci. A-Polym. Chem. 2009, 47, 515–522. [Google Scholar]
- Kim, C.; Lee, S.C.; Kang, S.W.; Kwon, I.C.; Jeong, S.Y. Phase-transition characteristics of amphiphilic poly(2-ethyl-2-oxazoline)/poly(epsilon-caprolactone) block copolymers in aqueous solutions. J. Polym. Sci. B-Polym. Phys. 2000, 38, 2400–2408. [Google Scholar]
- Lee, S.C.; Kang, S.W.; Kwon, I.C.; Jeong, S.Y. Synthesis and characterization of amphiphilic poly(2-ethyl-2-oxazoline)/poly(1-caprolactone) alternating multiblock copolymers. Polymer 2000, 41, 7091–7097. [Google Scholar]
- Wang, C.-H.; Hsiue, G.-H. New amphiphilic poly(2-ethyl-2-oxazoline)/poly(L-lactide) triblock copolymers. Biomacromolecules 2003, 4, 1487–1490. [Google Scholar]
- Wang, C.H.; Hsiue, G.-H. Synthesis and characterization of temperature- and pH-sensitive hydrogels based on poly(2-ethyl-2-oxazoline) and poly(D,L-lactide). J. Polym. Sci. A-Polym. Chem. 2002, 40, 1112–1121. [Google Scholar]
- Kim, S.J.; Lee, K.J.; Kim, S.I. Thermo-sensitive swelling behavior of poly(2-ethyl-2-oxazoline)/poly(vinyl alcohol) interpenetrating polymer network hydrogels. J. Macromol. Sci.-Pure Appl. Chem. 2004, A41, 267–274. [Google Scholar]
- Kim, S.J.; Lee, K.J.; Kim, I.Y.; Shin, D.I.; Kim, S.I. Temperature and pH-response swelling behavior of poly(2-ethyl-2-oxazoline)/chitosan interpenetrating polymer network hydrogels. J. Appl. Polym. Sci. 2006, 99, 1100–1103. [Google Scholar]
- David, G.; Simionescu, B.C.; Albertsson, A.C. Rapid deswelling response of poly(N-isopropylacrylamide)/poly(2-alkyl-2-oxazoline)/poly(2-hydroxyethy l methacrylate) hydrogels. Biomacromolecules 2008, 9, 1678–1683. [Google Scholar]
- Volet, G.; Chanthavong, V.; Wintgens, V.; Amiel, C. Synthesis of monoalkyl end-capped poly(2-methyl-2-oxazoline) and its micelle formation in aqueous solution. Macromolecules 2005, 38, 5190–5197. [Google Scholar]
- Volet, G.; Auvray, L.; Amiel, C. Monoalkyl poly(2-methyl-2-oxazoline) micelles. A small-angle neutron scattering study. J. Phys. Chem. B 2009, 113, 13536–13544. [Google Scholar]
- Volet, G.; Lasne-Deschamps, A.-C.; Amiel, C. Association of hydrophobically α,ω -end-capped poly(2-methyl-2-oxazoline) in water. J. Polym. Sci. A-Polym. Chem. 2010, 48, 2477–2485. [Google Scholar]
- Obeid, R.; Maltseva, E.; Thünemann, A.F.; Tanaka, F.; Winnik, F.M. Temperature response of self-assembled micelles of telechelic hydrophobically modified poly(2-alkyl-2-oxazoline)s in water. Macromolecules 2009, 42, 2204–2214. [Google Scholar]
- Lee, S.C.; Kim, C.; Kwon, I.C.; Chung, H.; Jeong, S.Y. Polymeric micelles of poly(2-ethyl-2-oxazoline)-block-poly(ε-caprolactone) copolymer as a carrier for paclitaxel. J. Control. Release 2003, 89, 437–446. [Google Scholar]
- Wang, C.-H.; Hsiue, G.-H. Polymeric micelles with a pH-responsive structure as intracellular drug carriers. J. Control. Release 2005, 108, 140–149. [Google Scholar]
- Lee, K.Y.; Kwon, I.C.; Jeong, S.Y. Physicochemical characteristics of poly(2-ethyl-2-oxazoline)/poly(-caprolactone) block copolymer micelles in water. Polym. Bull. 2006, 56, 385–393. [Google Scholar]
- Kim, C.; Lee, S.C.; Shin, J.H.; Yoon, J.S.; Kwon, I.C.; Jeong, S.Y. Amphiphilic diblock copolymers based on poly(2-ethyl-2-oxazoline) and poly(1,3-trimethylene carbonate): Synthesis and micellar characteristics. Macromolecules 2000, 33, 7448–7452. [Google Scholar]
- Volet, G.; Amiel, C.; Auvray, L. Interfacial properties of a diblock amphiphilic copolymer: Poly(isobutyl vinyl ether-b-2-methyl-2-oxazoline). Macromolecules 2003, 36, 3327–3336. [Google Scholar]
- Becer, C.R.; Paulus, R.M.; Höppener, S.; Hoogenboom, R.; Fustin, C.-A.; Gohy, J.-F.; Schubert, U.S. Synthesis of poly(2-ethyl-2-oxazoline)-b-poly(styrene) copolymers via a dual initiator route combining cationic ring-opening polymerization and atom transfer radical polymerization. Macromolecules 2008, 41, 5210–5215. [Google Scholar]
- Kobayashi, K.; Igarashi, T.; Moriuchi, Y.; Saegusa, T. Block copolymers from cyclic imino ethers: A new class of nonionic polymer surfactant. Macromolecules 1986, 19, 535–541. [Google Scholar]
- Naka, K.; Yamashita, R.; Nakamura, T.; Ohki, A.; Maeda, S. Aggregates of peptide-containing block copolymers and their interactions with a lipase in aqueous solution. Macromol. Chem. Phys. 1997, 198, 89–100. [Google Scholar]
- Binder, W.H.; Gruber, H. Block copolymers derived from photoreactive 2-oxazolines, 1. Synthesis and micellization behavior. Macromol. Chem. Phys. 2000, 201, 949–957. [Google Scholar]
- Bonné, T.B.; Lüdtke, K.; Jordan, R.; Stepanek, P.; Papadakis, C.M. Aggregation behavior of amphiphilic poly(2-alkyl-2-oxazoline) diblock copolymers in aqueous solution studied by fluorescence correlation spectroscopy. Colloid Polym. Sci. 2004, 282, 833–843. [Google Scholar]
- Bonné, T.B.; Papadakis, C.M.; Lüdtke, K.; Jordan, R. Role of the tracer in characterizing the aggregation behavior of aqueous block copolymer solutions using fluorescence correlation spectroscopy. Colloid Polym. Sci. 2007, 285, 491–497. [Google Scholar]
- Papadakis, C.M.; Ivanova, R.; Lütdke, K.; Mortensen, K.; Pranzas, P.K.; Jordan, R. Micellar structure of amphiphilic poly(2-oxazoline) diblock copolymers. J. Appl. Cryst. 2007, 40, s361–s362. [Google Scholar]
- Guerrero-Sanchez, C.; Gohy, J.-F.; D'Haese, C.; Thijs, H.; Hoogenboom, R.; Schubert, U.S. Controlled thermoreversible transfer of poly(oxazoline) micelles between an ionic liquid and water. Chem. Commun. 2008. [Google Scholar] [CrossRef]
- Huang, H.; Hoogenboom, R.; Leenen, M.A.M.; Guillet, P.; Jonas, A.M.; Schubert, U.S.; Gohy, J.-F. Solvent-induced morphological transition in core-cross-linked block copolymer micelles. J. Am. Chem. Soc. 2006, 128, 3784–3788. [Google Scholar]
- Trzebicka, B.; Koseva, N.; Mitova, V.; Dworak, A. Organization of poly(2-ethyl-2-oxazoline)-block-poly(2-phenyl-2-oxazoline) copolymers in water solution. Polymer 2010, 51, 2486–2493. [Google Scholar]
- Persigehl, P.; Jordan, R.; Nuyken, O. Functionalization of amphiphilic poly(2-oxazoline) block copolymers: A novel class of macroligands for micellar catalysis. Macromolecules 2000, 33, 6977–6981. [Google Scholar]
- Nuyken, O.; Persigehl, P.; Weberskirch, R. Amphiphilic poly(oxazoline)s—Synthesis and application for micellar catalysis. Macromol. Symp. 2002, 177, 163–173. [Google Scholar]
- Kotre, T.; Zarka, M.T.; Krause, J.O.; Buchmeiser, M.R.; Weberskirch, R.; Nuyken, O. Design and application of amphiphilic polymeric supports for micellar catalysis. Macromol. Symp. 2004, 217, 203–214. [Google Scholar]
- Kotre, T.; Nuyken, O.; Weberskirch, R. ATRP of MMA in aqueous solution in the presence of an amphiphilic polymeric macroligand. Macromol. Rapid Commun. 2002, 23, 871–876. [Google Scholar]
- Krause, J.O.; Zarka, M.T.; Anders, U.; Weberskirch, R.; Nuyken, O.; Buchmeiser, M.R. Simple synthesis of poly(acetylene) latex particles in aqueous media. Angew. Chem. Int. Ed. 2003, 42, 5965–5969. [Google Scholar]
- Zarka, M.T.; Nuyken, O.; Weberskirch, R. Amphiphilic polymer supports for the asymmetric hydrogenation of amino acid precursors in water. Chem. Eur. J. 2003, 9, 3228–3234. [Google Scholar]
- Schönfelder, D.; Fischer, K.; Schmidt, M.; Nuyken, O.; Weberskirch, R. Poly(2-oxazoline)s functionalized with palladium carbene complexes: Soluble, amphiphilic polymer supports for C–C coupling reactions in water. Macromolecules 2005, 38, 254–262. [Google Scholar]
- Hoogenboom, R.; Wiesbrock, F.; Huang, H.; Leenen, M.A.M.; Thijs, H.M.L.; Van Nispen, S.F.G.M.; Van der loop, M.; Fustin, C.-A.; Jonas, A.M.; Gohy, J.-F.; Schubert, U.S. Microwave-assisted cationic ring-opening polymerization of 2-oxazolines: A powerful method for the synthesis of amphiphilic triblock copolymers. Macromolecules 2006, 39, 4719–4725. [Google Scholar]
- Hoogenboom, R.; Wiesbrock, F.; Leenen, M.A.M.; Thijs, H.M.L.; Huang, H.; Fustin, C.-A.; Guillet, P.; Gohy, J.-F.; Schubert, U.S. Synthesis and aqueous micellization of amphiphilic tetrablock ter and quarterpoly(2-oxazoline)s. Macromolecules 2007, 40, 2837–2843. [Google Scholar]
- Fustin, C.-A.; Lambermont-Thijs, H.M.L.; Hoeppener, S.; Hoogenboom, R.; Schubert, U.S.; Gohy, J.-F. Multiple micellar morphologies from tri- and tetrablock copoly(2-oxazoline)s in binary water-ethanol mixtures. J. Polym. Sci. A-Polym. Chem. 2010, 48, 3095–3102. [Google Scholar]
- Hruby, M.; Filippov, S.K.; Panek, J.; Novakova, M.; Mackova, H.; Kucka, J.; Vetvicka, D.; Ulbrich, K. Polyoxazoline thermoresponsive micelles as radionuclide delivery systems. Macromol. Biosci. 2010, 10, 916–924. [Google Scholar]
- Jin, R.-H. Controlled location of porphyrin in aqueous micelles self-assembled from porphyrin centered amphiphilic star poly(oxazolines). Adv. Mater. 2002, 14, 889–892. [Google Scholar]
- Bonné, T.B.; Lüdtke, K.; Jordan, R.; Papadakis, C.M. Effect of polymer architecture of amphiphilic poly(2-oxazoline) copolymers on the aggregation and aggregate structure. Macromol. Chem. Phys. 2007, 208, 1402–1408. [Google Scholar]
- Hoogenboom, R.; Thijs, H.M.L.; Wouters, D.; Hoeppener, S.; Schubert, U.S. Solvent responsive micelles based on block and gradient copoly(2-oxazoline)s. Macromolecules 2008, 41, 1581–1583. [Google Scholar]
- Hoogenboom, R.; Lambermont-Thijs, H.M.L.; Jochems, M.J.H.C.; Hoeppener, S.; Guerlain, C.; Fustin, C.-A.; Gohy, J.-F.; Schubert, U.S. A schizophrenic gradient copolymer: Switching and reversing poly(2-oxazoline) micelles based on UCST and subtle solvent changes. Soft Matter 2009, 5, 3590–3592. [Google Scholar]
- Weberskirch, R.; Preuschen, J.; Spiess, H.W.; Nuyken, O. Design and synthesis of a two compartment micellar system based on the self-association behavior of poly(Nacylethyleneimine) end-capped with a fluorocarbon and a hydrocarbon chain. Macromol. Chem. Phys. 2000, 201, 995–1007. [Google Scholar]
- Kubowicz, S.; Thünemann, A.F.; Weberskirch, R.; Möhwald, H. Cylindrical micelles of α-fluorocarbon-ω-hydrocarbon end-capped poly(N-acylethylene imine)s. Langmuir 2005, 21, 7214–7219. [Google Scholar]
- Weberskirch, R.; Nuyken, O. Synthesis and characterization of water-soluble block copolymers with an end-tagged naphthalene probe. J. Macromol. Sci. A 1999, A36, 843–857. [Google Scholar]
- Ivanova, R.; Komenda, T.; Bonné, T.B.; Lüdtke, K.; Mortenson, K.; Pranzas, P.K.; Jordan, R.; Papadakis, C.M. Micellar structures of hydrophilic/lipophilic and hydrophilic/fluorophilic poly(2-oxazoline) diblock copolymers in water. Macromol. Chem. Phys. 2008, 209, 2248–2258. [Google Scholar]
- Kempe, K.; Hoogenboom, R.; Hoeppener, S.; Fustin, C.-A.; Gohy, J.-F.; Schubert, U.S. Discovering new block terpolymer micellar morphologies. Chem. Commun. 2010, 46, 6455–6457. [Google Scholar]
- Gress, A.; Smarsly, B.; Schlaad, H. Formation of glycopolyamide nanofibers. Macromol. Rapid. Commun. 2008, 29, 304–308. [Google Scholar]
- Kuo, S.-W.; Lee, H.-F.; Huang, C.-F.; Huang, C.-J.; Chang, F.-C. Synthesis and self-assembly of helical polypeptide-random coil amphiphilic diblock copolymer. J. Polym. Sci. A-Polym. Chem. 2008, 46, 3108–3119. [Google Scholar]
- Jin, R.-H. Self-assembly of porphyrin-centered amphphilic starr block copolymers into polymeric vesicular aggregates. Macromol. Chem. Phys. 2003, 204, 403–409. [Google Scholar]
- Theogarajan, L.; Desai, S.; Baldo, M.; Scholz, C. Versatile synthesis of self-assembling ABA triblock copolymers with polymethyloxazoline A-blocks and a polysiloxane B-block decorated with supramolecular receptors. Polym. Int. 2008, 57, 660–667. [Google Scholar]
- Meier, W.; Nardin, C.; Winterhalter, M. Reconstitution of channel proteins in (polymerized) ABA triblock copolymer membranes. Angew. Chem.-Int. Edit. 2000, 39, 4599–4602. [Google Scholar]
- Kumar, M.; Grzelakowski, M.; Zilles, J.; Clark, M.; Meier, W. Highly permeable polymeric membranes based on the incorporationm of the functional water channel protein Aquaporin Z. Proc. Natl. Acad. Sci. USA 2007, 104, 20719–20724. [Google Scholar]
- Sauer, M.; Haefele, T.; Graff, A.; Nardin, C.; Meier, W. Ion-carrier controlled precipitation of calcium phosphate in giant ABA triblock copolymer vesicles. Chem. Commun. 2001, 2452–2453. [Google Scholar]
- Graff, A.; Sauer, M.; Van Gelder, P.; Meier, W. Virus-assisted loading of polymer nanocontainer. Proc. Natl. Acad. Sci. USA 2002, 99, 5064–5068. [Google Scholar]
- Choi, H.J.; Brooks, E.; Montemagno, C.D. Synthesis and characterization of nanoscale biomimetic polymer vesicles and polymer membranes for bioelectronic applications. Nanotechnology 2005, 16, S143–S149. [Google Scholar]
- Choi, H.J.; Montemagno, C.D. Artificial organelle: ATP synthesis from cellular mimetic polymersomes. Nano Lett. 2005, 5, 2538–2542. [Google Scholar]
- Choi, H.J.; Montemagno, C.D. Biosynthesis within a bubble architecture. Nanotechnology 2006, 17, 2198–2202. [Google Scholar]
- Stoenescu, R.; Meier, W. Vesicles with asymmetric membranes from amphiphilic ABC triblock copolymers. Chem. Commun. 2002. [Google Scholar] [CrossRef]
- Schlaad, H.; You, L.; Sigel, R.; Smarsly, B.; Heydenreich, M.; Mantion, A.; Mašić, A. Glycopolymer vesicles with an asymmetric membrane. Chem. Commun. 2009. [Google Scholar] [CrossRef]
- Fortig, A.; Jordan, R.; Graf, K.; Schiavon, G.; Purrucker, O.; Tanaka, M. Solid-supported biomimetic membranes with tailored lipopolymer tethers. Macromol. Symp. 2004, 210, 329–338. [Google Scholar]
- Gress, A.; Heilig, A.; Smarsly, B.; Heydenreich, M.; Schlaad, H. Hydrogen-bonded polymer nanotubes in water. Macromolecules 2009, 42, 4244–4248. [Google Scholar]
- Demirel, A.L.; Meyer, M.; Schlaad, H. Formation of polyamide nanofibers by directional crystallization in aqueous solution. Angew. Chem. Int. Ed. 2007, 46, 8622–8624. [Google Scholar]
- Obeid, R.; Tanaka, F.; Winnik, F.M. Heat-induced phase transition and crystallization of hydrophobically end-capped poly(2-isopropyl-2-oxazoline)s in water. Macromolecules 2009, 42, 5818–5828. [Google Scholar]
- Ogoshi, T.; Hiramitsu, S.; Yamagishi, T.-A.; Nakamoto, Y. Columnar stacks of star- and tadpole-shaped polyoxazolines having triphenylene moiety and their application for synthesis od wire-assembled gold nanoparticles. Macromolecules 2009, 42, 3042–3047. [Google Scholar]
- Litt, M.; Rahl, F.; Roldan, L.G. Polymerization of cyclic imino ethers. VI. X-ray studies of some polyaziridines. J. Polym. Sci. A-2 1969, 7, 463–473. [Google Scholar]
- Diehl, C.; Cernoch, P.; Zenke, I.; Runge, H.; Pitschke, R.; Hartmann, J.; Tiersch, B.; Schlaad, H. Mechanistic study of the phase separation/crystallization process of poly(2-isopropyl-2-oxazoline) in hot water. Soft Matter 2010, 6, 3784–3788. [Google Scholar]
- Diehl, C.; Schlaad, H. Polyoxazoline-based crystalline microspheres for carbohydrate-protein recognition. Chem. Eur. J. 2009, 15, 11469–11472. [Google Scholar]
- Oh, Y.S.; Yamozaki, T.; Goodman, M. Syntheses and circular dichroism (CD) spectra of optically active polyoxazolines and their model compounds. Macromolecules 1992, 25, 6322–6331. [Google Scholar]
- Bloksma, M.M.; Rogers, S.; Schubert, U.S.; Hoogenboom, R. Secondary structure formation of main-chain chiral poly(2-oxazoline)s in solution. Soft Matter 2010, 6, 994–1003. [Google Scholar]
- Bloksma, M.M.; Schubert, U.S.; Hoogenboom, R. Main-chain chiral copoly(2-oxazoline)s. Polym. Chem. 2011. [Google Scholar] [CrossRef]
- Giardi, C.; Lapinte, V.; Charnay, C.; Robin, J.J. Nonionic polyoxazoline surfactants based on renewable resource: Synthesis, surface and bulk properties. React. Funct. Polym. 2009, 69, 643–649. [Google Scholar]
© 2011 by the authors; licensee MDPI, Basel, Switzerland. This article is an open access article distributed under the terms and conditions of the Creative Commons Attribution license (http://creativecommons.org/licenses/by/3.0/).
Share and Cite
Hoogenboom, R.; Schlaad, H. Bioinspired Poly(2-oxazoline)s. Polymers 2011, 3, 467-488. https://doi.org/10.3390/polym3010467
Hoogenboom R, Schlaad H. Bioinspired Poly(2-oxazoline)s. Polymers. 2011; 3(1):467-488. https://doi.org/10.3390/polym3010467
Chicago/Turabian StyleHoogenboom, Richard, and Helmut Schlaad. 2011. "Bioinspired Poly(2-oxazoline)s" Polymers 3, no. 1: 467-488. https://doi.org/10.3390/polym3010467
APA StyleHoogenboom, R., & Schlaad, H. (2011). Bioinspired Poly(2-oxazoline)s. Polymers, 3(1), 467-488. https://doi.org/10.3390/polym3010467
