Assessing the Bioenergy Potential of Peanut Shell Waste: High Heating Rate Combustion Behavior and Thermodynamic Analysis
Abstract
1. Introduction
2. Materials and Methods
2.1. Sample Collection and Preparation
2.2. Physicochemical Characterization
2.2.1. Proximate Analysis
2.2.2. Ultimate Analysis
2.2.3. Lignocellulosic Fiber Analysis
2.2.4. Higher Heating Value (HHV)
2.3. Spectroscopic and Morphological Analysis
2.3.1. Fourier Transform Infrared (FTIR) Spectroscopy
2.3.2. Scanning Electron Microscopy (SEM)
2.4. Thermogravimetric Analysis (Combustion Kinetics)
2.5. Kinetic and Thermodynamic Modelling
3. Results and Discussion
3.1. Fundamental Properties of PnS
3.2. Structural and Morphological Characterization
3.2.1. Surface Functional Groups (FTIR)
3.2.2. Morphology Feature (SEM)
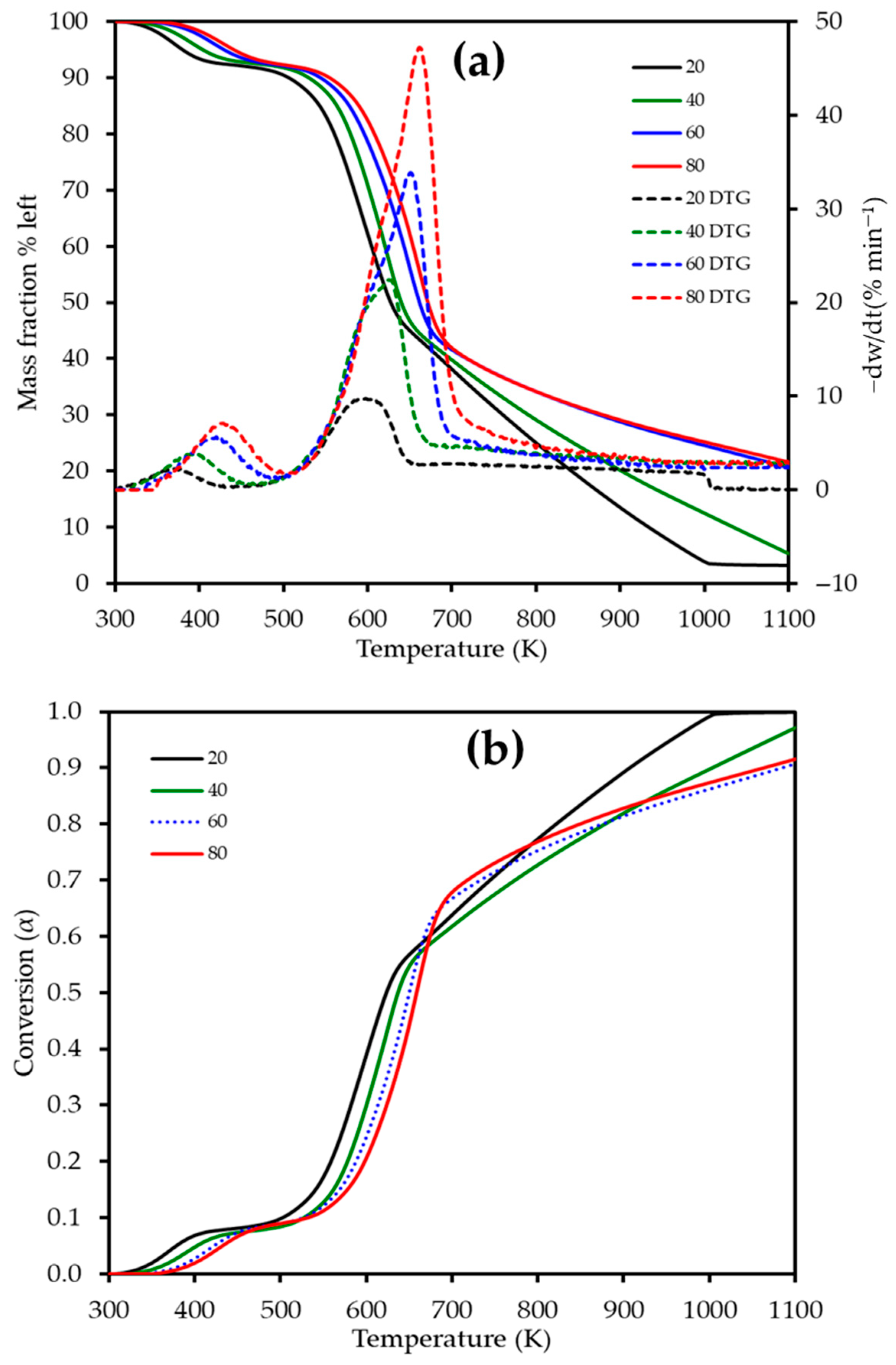
3.3. Combustion Characteristics via TGA
3.4. Kinetic Modelling of Peanut Shell Combustion
3.4.1. Activation Energies from Model-Free Methods
3.4.2. Validation of Kinetic Parameters: The Kinetic Compensation Effect
3.4.3. Reaction Mechanism and Kinetic Parameters from CR Method
3.5. Thermodynamic Assessment of Combustion
3.6. Integrated Analysis and Implications for Biofuel Applications
4. Conclusions
Supplementary Materials
Author Contributions
Funding
Institutional Review Board Statement
Data Availability Statement
Conflicts of Interest
References
- International Energy Agency. World Energy Outlook 2023; International Energy Agency: Paris, France, 2023. [Google Scholar]
- Basu, P. Biomass Gasification, Pyrolysis and Torrefaction, 3rd ed.; Elsevier: Amsterdam, The Netherlands, 2018; ISBN 978-0-12-396488-5. [Google Scholar]
- Fernandez, A.; Ortiz, L.R.; Asensio, D.; Rodriguez, R.; Mazza, G. Kinetic Analysis and Thermodynamics Properties of Air/Steam Gasification of Agricultural Waste. J. Environ. Chem. Eng. 2020, 8, 103829. [Google Scholar] [CrossRef]
- Al-Hamamre, Z.; Saidan, M.; Hararah, M.; Rawajfeh, K.; Alkhasawneh, H.E.; Al-Shannag, M. Wastes and Biomass Materials as Sustainable-Renewable Energy Resources for Jordan. Renew. Sustain. Energy Rev. 2017, 67, 295–314. [Google Scholar] [CrossRef]
- Ahmad, M.S.; Mehmood, M.A.; Liu, C.-G.; Tawab, A.; Bai, F.-W.; Sakdaronnarong, C.; Xu, J.; Rahimuddin, S.A.; Gull, M. Bioenergy Potential of Wolffia arrhiza Appraised through Pyrolysis, Kinetics, Thermodynamics Parameters and TG-FTIR-MS Study of the Evolved Gases. Bioresour. Technol. 2018, 253, 297–303. [Google Scholar] [CrossRef]
- FAO. Agricultural Production Statistics; FAO: Rome, Italy, 2025. [Google Scholar]
- Yang, B.; Zhang, C.; Zhang, X.; Wang, G.; Li, L.; Geng, H.; Liu, Y.; Nie, C. Survey of Aflatoxin B1 and Heavy Metal Contamination in Peanut and Peanut Soil in China during 2017–2018. Food Control 2020, 118, 107372. [Google Scholar] [CrossRef]
- Varma, A.K.; Singh, S.; Rathore, A.K.; Thakur, L.S.; Shankar, R.; Mondal, P. Investigation of Kinetic and Thermodynamic Parameters for Pyrolysis of Peanut Shell Using Thermogravimetric Analysis. Biomass Convers. Biorefinery 2022, 12, 4877–4888. [Google Scholar] [CrossRef]
- Kumar, M.; Rai, D.; Bhardwaj, G.; Upadhyay, S.N.; Mishra, P.K. Pyrolysis of Peanut Shell: Kinetic Analysis and Optimization of Thermal Degradation Process. Ind. Crops Prod. 2021, 174, 114128. [Google Scholar] [CrossRef]
- Xu, Z.; Xiao, X.; Fang, P.; Ye, L.; Huang, J.; Wu, H.; Tang, Z.; Chen, D. Comparison of Combustion and Pyrolysis Behavior of the Peanut Shells in Air and N2: Kinetics, Thermodynamics and Gas Emissions. Sustainability 2020, 12, 464. [Google Scholar] [CrossRef]
- Alves, J.L.F.; Da Silva, J.C.G.; Mumbach, G.D.; Domenico, M.D.; Bolzan, A.; Machado, R.A.F.; Marangoni, C. Evaluating the Bioenergy Potential of Cupuassu Shell through Pyrolysis Kinetics, Thermodynamic Parameters of Activation, and Evolved Gas Analysis with TG/FTIR Technique. Thermochim. Acta 2022, 711, 179187. [Google Scholar] [CrossRef]
- Zaaba, N.F.; Ismail, H.; Jaafar, M. Effect of Peanut Shell Powder Content on the Properties of Recycled Polypropylene (RPP)/Peanut Shell Powder (PSP) Composites. BioResources 2013, 8, 5826–5841. [Google Scholar] [CrossRef]
- Pączkowski, P.; Puszka, A.; Gawdzik, B. Effect of Eco-Friendly Peanut Shell Powder on the Chemical Resistance, Physical, Thermal, and Thermomechanical Properties of Unsaturated Polyester Resin Composites. Polymers 2021, 13, 3690. [Google Scholar] [CrossRef] [PubMed]
- Mandala, R.; Hegde, G.; Kodali, D.; Kode, V.R. From Waste to Strength: Unveiling the Mechanical Properties of Peanut-Shell-Based Polymer Composites. J. Compos. Sci. 2023, 7, 307. [Google Scholar] [CrossRef]
- Guinati, B.G.S.; Smith, R.C. Upcycling Nutshells: Reinforced Polymers and Biocomposites. Sustain. Chem. 2025, 6, 25. [Google Scholar] [CrossRef]
- Bong, J.T.; Loy, A.C.M.; Chin, B.L.F.; Lam, M.K.; Tang, D.K.H.; Lim, H.Y.; Chai, Y.H.; Yusup, S. Artificial Neural Network Approach for Co-Pyrolysis of Chlorella Vulgaris and Peanut Shell Binary Mixtures Using Microalgae Ash Catalyst. Energy 2020, 207, 118289. [Google Scholar] [CrossRef]
- Torres-García, E.; Ramírez-Verduzco, L.F.; Aburto, J. Pyrolytic Degradation of Peanut Shell: Activation Energy Dependence on the Conversion. Waste Manag. 2020, 106, 203–212. [Google Scholar] [CrossRef] [PubMed]
- Lei, J.; Yang, L.; Wang, Y.; Zhao, D. Pyrolysis Kinetics, Mechanism and Thermodynamics of Peanut Shell Based on Gaussian Function Deconvolution. Heliyon 2025, 11, e42800. [Google Scholar] [CrossRef]
- Zhou, D.; Luo, Z.; Cai, W.; Liang, W.; Huang, H.; Cai, Y.; Dang, C. Kinetics, Comprehensive Characteristics, and Product Analysis of Peanut Shell Pyrolysis Activated by a Small Amount of KCl. J. Anal. Appl. Pyrolysis 2023, 174, 106148. [Google Scholar] [CrossRef]
- Tao, W.; Zhang, P.; Yang, X.; Li, H.; Liu, Y.; Pan, B. An Integrated Study on the Pyrolysis Mechanism of Peanut Shell Based on the Kinetic Analysis and Solid/Gas Characterization. Bioresour. Technol. 2021, 329, 124860. [Google Scholar] [CrossRef]
- Jerzak, W.; Kalicka, Z.; Kawecka-Cebula, E.; Kuźnia, M. Comparison of Hazelnut and Peanut Shells Combustion in Bubbling Fluidized-Bed Combustor. Energy Sources Part Recovery Util. Environ. Eff. 2016, 38, 2272–2281. [Google Scholar] [CrossRef]
- Nie, Y.; Deng, M.; Shan, M.; Yang, X. Evaluating the Impact of Wood Sawdust and Peanut Shell Mixing Ratio on Co-Combustion Performance. Fuel 2022, 324, 124667. [Google Scholar] [CrossRef]
- Nie, Y.; Song, X.; Shan, M.; Yang, X. Effect of Pelletization on Biomass Thermal Degradation in Combustion: A Case Study of Peanut Shell and Wood Sawdust Using Macro-TGA. Energy Built Environ. 2025, 6, 920–929. [Google Scholar] [CrossRef]
- Lei, J.; Liu, X.; Xu, B.; Liu, Z.; Fu, Y. Combustion Characteristics, Kinetics and Thermodynamics of Peanut Shell for Its Bioenergy Valorization. Processes 2024, 12, 1022. [Google Scholar] [CrossRef]
- Liu, L.; Pang, Y.; Lv, D.; Wang, K.; Wang, Y. Thermal and Kinetic Analyzing of Pyrolysis and Combustion of Self-Heating Biomass Particles. Process Saf. Environ. Prot. 2021, 151, 39–50. [Google Scholar] [CrossRef]
- Chen, D.; Zhou, J.; Zhang, Q. Effects of Heating Rate on Slow Pyrolysis Behavior, Kinetic Parameters and Products Properties of Moso Bamboo. Bioresour. Technol. 2014, 169, 313–319. [Google Scholar] [CrossRef] [PubMed]
- Cai, H.; Zou, H.; Liu, J.; Xie, W.; Kuo, J.; Buyukada, M.; Evrendilek, F. Thermal Degradations and Processes of Waste Tea and Tea Leaves via TG-FTIR: Combustion Performances, Kinetics, Thermodynamics, Products and Optimization. Bioresour. Technol. 2018, 268, 715–725. [Google Scholar] [CrossRef] [PubMed]
- Yiga, V.A.; Katamba, M.; Lubwama, M.; Adolfsson, K.H.; Hakkarainen, M.; Kamalha, E. Combustion, Kinetics and Thermodynamic Characteristics of Rice Husks and Rice Husk-Biocomposites Using Thermogravimetric Analysis. J. Therm. Anal. Calorim. 2023, 148, 11435–11454. [Google Scholar] [CrossRef]
- Mishra, R.K.; Vinu, R. Pyrolysis Characteristics and Kinetic Investigation of Waste Groundnut Shells Using Thermogravimetric Analyzer, Py-FTIR, and Py-GC-MS. J. Anal. Appl. Pyrolysis 2024, 179, 106514. [Google Scholar] [CrossRef]
- Shagali, A.A.; Hu, S.; Li, H.; Chi, H.; Qing, H.; Xu, J.; Jiang, L.; Wang, Y.; Su, S.; Xiang, J. Thermal Behavior, Synergistic Effect and Thermodynamic Parameter Evaluations of Biomass/Plastics Co–Pyrolysis in a Concentrating Photothermal TGA. Fuel 2023, 331, 125724. [Google Scholar] [CrossRef]
- Ismail, M.A.; Dubdub, I.; Mousa, S.; Al-Yaari, M.; Alfaiad, M.A.; Alshehab, A. Assessing Lemon Peel Waste as a Solid Biofuel: A Study of Its Combustion Behaviour, Kinetics, and Thermodynamics. Polymers 2025, 17, 2830. [Google Scholar] [CrossRef]
- Mousa, S.; Dubdub, I.; Alfaiad, M.A.; Younes, M.Y.; Ismail, M.A. Characterization and Kinetic Study of Agricultural Biomass Orange Peel Waste Combustion Using TGA Data. Polymers 2025, 17, 1113. [Google Scholar] [CrossRef]
- Ismail, M.A.; Dubdub, I.; Mousa, S.; Albin Zaid, Z.A.A.; Alfaiad, M.A. Characterization, Combustion Behaviour, and Kinetic and Thermodynamic Modelling of Mango Peel as a Potential Biomass Feedstock. Polymers 2025, 17, 1799. [Google Scholar] [CrossRef]
- Tian, L.; Shen, B.; Xu, H.; Li, F.; Wang, Y.; Singh, S. Thermal Behavior of Waste Tea Pyrolysis by TG-FTIR Analysis. Energy 2016, 103, 533–542. [Google Scholar] [CrossRef]








| Analysis/Property | Parameter | Value |
|---|---|---|
| Proximate Analysis | ||
| Moisture Content | 9.61 ± 0.2 | |
| Volatile Matter | 65.30 ± 0.11 | |
| Ash | 6.59 ± 0.3 | |
| Fixed Carbon | 18.50 ± 0.10 | |
| Ultimate Analysis (dry basis) | ||
| Carbon (C) | 43.50 ± 0.16 | |
| Hydrogen (H) | 6.73 ± 0.3 | |
| Nitrogen (N) | 0.85 ± 0.03 | |
| Sulphur (S) | 0.23 ± 0.04 | |
| Oxygen (O) | 48.69 ± 0.18 | |
| Heating Value (MJ kg−1) | 20.87 ± 0.5 | |
| Fiber Fraction (dry basis) | ||
| Hemicellulose | 14.5 ± 0.5 | |
| Cellulose | 47.86 ± 0.35 | |
| Lignin | 28.4 ± 0.11 |
| Heating Rate (K min−1) | 1st Reaction | 2nd Reaction | ||||
|---|---|---|---|---|---|---|
| T Range, Tpeak (K) | Weight Loss% | Process | T Range, Tpeak (K) | Weight Loss% | Process | |
| 20 | 300–430, 360 | 8.0 | dehydration | 460–650, 600 | 50.0 | Hemicellulose, cellulose, and lignin degradation |
| 40 | 340–460, 390 | 8.0 | 500–660, 630 | 50.0 | ||
| 60 | 350–490, 430 | 9.0 | 520–700, 650 | 58.0 | ||
| 80 | 360–500, 440 | 9.0 | 530–720, 660 | 61.0 | ||
| Conversion | FR | FWO | KAS | STK | K | VY | Average | |||||||
|---|---|---|---|---|---|---|---|---|---|---|---|---|---|---|
| E (kJ mol) | R2 | E (kJ/mol) | R2 | E (kJ/mol) | R2 | E (kJ/mol) | R2 | E (kJ/mol) | R2 | E (kJ/mol) | R2 | E (kJ/mol) | R2 | |
| 0.1 | 74 | 0.9902 | 90 | 0.849 | 86 | 0.8231 | 86 | 0.8243 | 94 | 0.849 | 23 | NA * | 76 | 0.86712 |
| 0.2 | 92 | 0.9879 | 96 | 0.9976 | 91 | 0.997 | 91 | 0.9971 | 101 | 0.9976 | 74 | NA | 91 | 0.99544 |
| 0.3 | 95 | 0.9849 | 97 | 0.9971 | 92 | 0.9963 | 92 | 0.9963 | 102 | 0.9971 | 74 | NA | 92 | 0.99434 |
| 0.4 | 119 | 0.9848 | 104 | 0.9929 | 99 | 0.9912 | 99 | 0.9913 | 109 | 0.9929 | 74 | NA | 101 | 0.99062 |
| 0.5 | 187 | 0.9946 | 128 | 0.9876 | 124 | 0.9853 | 124 | 0.9854 | 134 | 0.9876 | 75 | NA | 129 | 0.9881 |
| Average | 113 | 0.9885 | 103 | 0.9648 | 98.4 | 0.9586 | 98.4 | 0.9589 | 108 | 0.9648 | 64 | NA | 98 | 0.9671 |
| FR | FWO | |||||||
| α | A0 | ΔH | ΔG | ΔS | A0 | ΔH | ΔG | ΔS |
| min−1 | (kJ mol−1) | (kJ mol−1) | (kJ mol−1 K−1) | min−1 | (kJ mol−1) | (kJ mol−1) | (kJ mol−1 K−1) | |
| 0.1 | 1.79 × 104 | 70.67 | 140.37 | −0.17425 | 3.17 × 109 | 86.67 | 116.19 | −0.07378 |
| 0.2 | 1.55 × 106 | 86.76 | 175.56 | −0.14095 | 2.74 × 109 | 90.76 | 140.38 | −0.07876 |
| 0.3 | 3.24 × 106 | 89.76 | 174.69 | −0.13481 | 2.76 × 109 | 91.76 | 141.35 | −0.07872 |
| 0.4 | 3.01 × 108 | 113.76 | 174.96 | −0.09713 | 8.88 × 109 | 98.76 | 142.23 | −0.069 |
| 0.5 | 8.37 × 1013 | 181.76 | 177.3 | 0.007086 | 8.18 × 1011 | 122.76 | 142.54 | −0.03139 |
| KAS | STK | |||||||
| α | A0 | ΔH | ΔG | ΔS | A0 | ΔH | ΔG | ΔS |
| min−1 | (kJ mol−1) | (kJ mol−1) | (kJ mol−1 K−1) | min−1 | (kJ mol−1) | (kJ mol−1) | (kJ mol−1 K−1) | |
| 0.1 | 1.61 × 103 | 82.67 | 160.38 | −0.19426 | 2.88 × 103 | 82.67 | 158.45 | −0.18944 |
| 0.2 | 1.11 × 103 | 85.76 | 212.47 | −0.20112 | 2.01 × 103 | 85.76 | 209.39 | −0.19623 |
| 0.3 | 1.03 × 103 | 86.76 | 213.88 | −0.20177 | 1.86 × 103 | 86.76 | 210.78 | −0.19685 |
| 0.4 | 3.10 × 103 | 93.76 | 215.1 | −0.1926 | 5.62 × 103 | 93.76 | 211.99 | −0.18766 |
| 0.5 | 2.70 × 105 | 118.76 | 216.71 | −0.15548 | 4.90 × 105 | 118.76 | 213.59 | −0.15051 |
| K | ||||||||
| α | A0 | ΔH | ΔG | ΔS | ||||
| min−1 | (kJ mol−1) | (kJ mol−1) | (kJ mol−1 K−1) | |||||
| 0.1 | 1.80 × 104 | 90.67 | 160.36 | −0.17422 | ||||
| 0.2 | 6.91 × 103 | 95.76 | 212.91 | −0.18594 | ||||
| 0.3 | 6.95 × 103 | 96.76 | 213.88 | −0.1859 | ||||
| 0.4 | 2.24 × 104 | 103.76 | 214.76 | −0.17618 | ||||
| 0.5 | 2.06 × 106 | 128.76 | 216.06 | −0.13858 | ||||
Disclaimer/Publisher’s Note: The statements, opinions and data contained in all publications are solely those of the individual author(s) and contributor(s) and not of MDPI and/or the editor(s). MDPI and/or the editor(s) disclaim responsibility for any injury to people or property resulting from any ideas, methods, instructions or products referred to in the content. |
© 2026 by the authors. Licensee MDPI, Basel, Switzerland. This article is an open access article distributed under the terms and conditions of the Creative Commons Attribution (CC BY) license.
Share and Cite
Mousa, S.; Almithn, A.; Dubdub, I.; Alshehab, A.; Ismail, M.A. Assessing the Bioenergy Potential of Peanut Shell Waste: High Heating Rate Combustion Behavior and Thermodynamic Analysis. Polymers 2026, 18, 560. https://doi.org/10.3390/polym18050560
Mousa S, Almithn A, Dubdub I, Alshehab A, Ismail MA. Assessing the Bioenergy Potential of Peanut Shell Waste: High Heating Rate Combustion Behavior and Thermodynamic Analysis. Polymers. 2026; 18(5):560. https://doi.org/10.3390/polym18050560
Chicago/Turabian StyleMousa, Suleiman, Abdulrahman Almithn, Ibrahim Dubdub, Abdullah Alshehab, and Mohamed Anwar Ismail. 2026. "Assessing the Bioenergy Potential of Peanut Shell Waste: High Heating Rate Combustion Behavior and Thermodynamic Analysis" Polymers 18, no. 5: 560. https://doi.org/10.3390/polym18050560
APA StyleMousa, S., Almithn, A., Dubdub, I., Alshehab, A., & Ismail, M. A. (2026). Assessing the Bioenergy Potential of Peanut Shell Waste: High Heating Rate Combustion Behavior and Thermodynamic Analysis. Polymers, 18(5), 560. https://doi.org/10.3390/polym18050560

