Mechanical, Electrical, and Thermal Performance of Hemp Fiber-Reinforced Elium Biocomposites Modified with Activated Carbon Nanoparticles: Experiment and Simulation
Abstract
1. Introduction
2. Materials and Methods
2.1. Materials
2.2. Fabrication of Composites
2.3. Evaluation and Testing of Composites
2.3.1. Thermogravimetric Analysis (TGA)
2.3.2. Electrical Conductivity Test
2.3.3. Tensile Testing
2.3.4. Scanning Electron Microscopy (SEM)
2.3.5. Modeling of Composites
3. Results and Discussions
3.1. Characterization of Composites
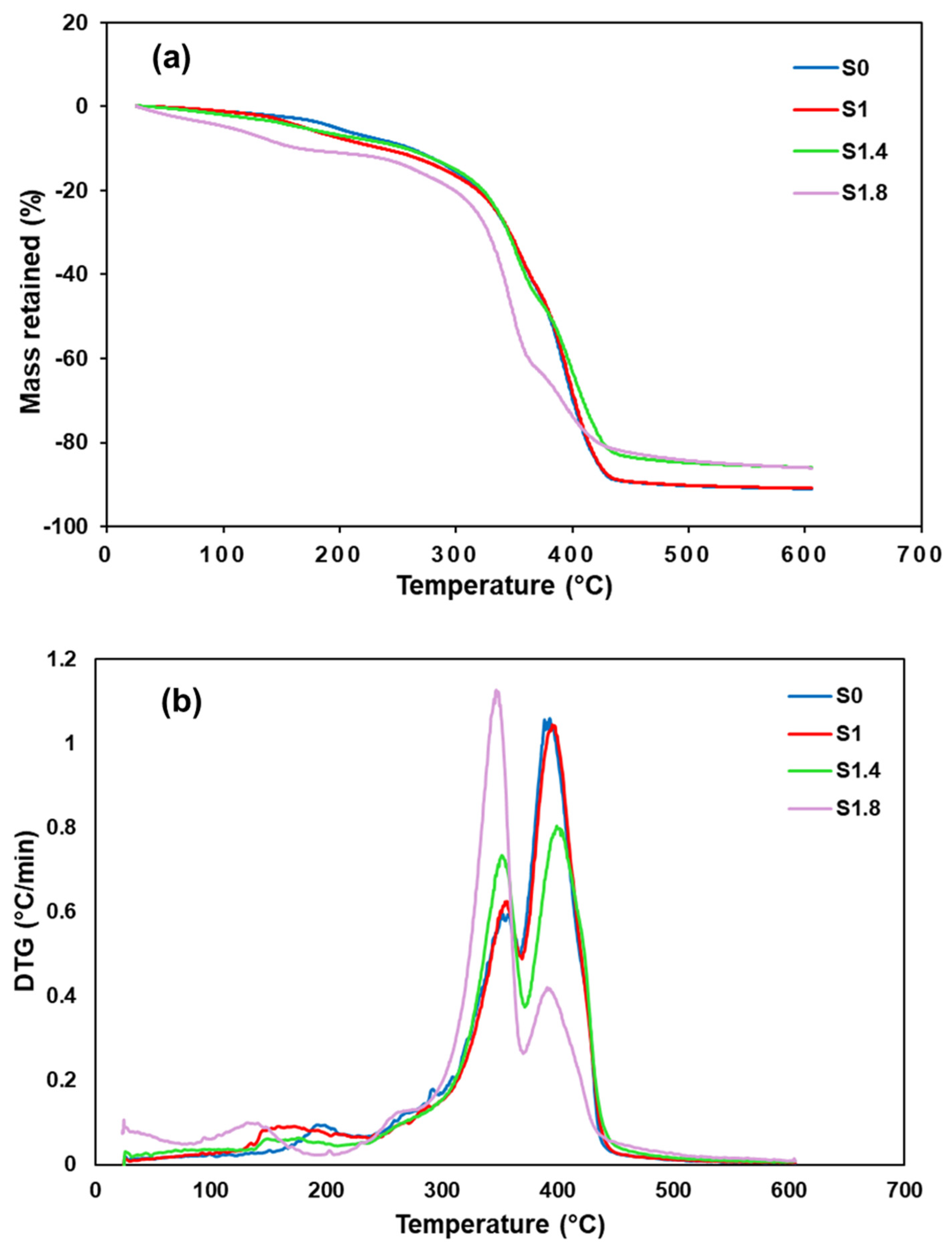
3.1.1. Thermal Analysis of Composites
3.1.2. Electrical Properties Measurement of Composites
3.1.3. Tensile Properties
3.1.4. Surface and Cross-Sectional Morphological Analysis
3.1.5. Experimental Tensile Data Validation by Numerical Simulation and Models
4. Conclusions
Author Contributions
Funding
Institutional Review Board Statement
Data Availability Statement
Acknowledgments
Conflicts of Interest
References
- Stelea, L.; Filip, I.; Lisa, G.; Ichim, M.; Drobotă, M.; Sava, C.; Mureșan, A. Characterisation of Hemp Fibres Reinforced Composites Using Thermoplastic Polymers as Matrices. Polymers 2022, 14, 481. [Google Scholar] [CrossRef]
- Ullah, S.; Palevicius, A.; Janusas, G.; Ul-Hasan, Z. Enhancing Mechanical and Impact Properties of Flax/Glass and Jute/Glass Hybrid Composites Through KOH Alkaline Treatment. Polymers 2025, 17, 804. [Google Scholar] [CrossRef]
- Liu, W.; Qiu, J.; Chen, T.; Fei, M.; Qiu, R.; Sakai, E. Regulating tannic acid crosslinked epoxidized soybean oil oligomers for strengthening and toughening bamboo fibers reinforced poly (lactic acid) biocomposites. Compos. Sci. Technol. 2019, 181, 107709. [Google Scholar] [CrossRef]
- Singh, A.S.; Halder, S.; Wang, J.; Imam, M.A.; Chen, P. Tannic acid intermediated surface functionalization of bamboo micron fibers to enhance mechanical performance of hybrid GFRP. Compos. Part B Eng. 2019, 177, 107322. [Google Scholar] [CrossRef]
- Xiang, D.; Chen, C.; Xie, G.; Gong, Y.; Harkin Jones, E.; Liu, H. Tannic acid and aminopropyltriethoxysilane modified basalt fiber/epoxy resin composites with enhanced interfacial and mechanical properties. Polym. Compos. 2025, 46, 1108–1122. [Google Scholar] [CrossRef]
- Kamarudin, S.H.; Basri, M.S.M.; Rayung, M.; Abu, F.; Ahmad, S.; Norizan, M.N.; Osman, S.; Sarifuddin, N.; Desa, M.S.Z.M.; Abdullah, U.H.; et al. A Review on Natural Fiber Reinforced Polymer Composites (NFRPC) for Sustainable Industrial Applications. Polymers 2022, 14, 3698. [Google Scholar] [CrossRef] [PubMed]
- Shahzad, A. Hemp Fiber and Its Composites—A Review. Polymers 2012, 46, 973–986. [Google Scholar] [CrossRef]
- Manaia, J.P.; Manaia, A.T.; Rodrigues, L. Industrial Hemp Fibers: An Overview. Fibers 2019, 7, 106. [Google Scholar] [CrossRef]
- Sepe, R.; Bollino, F.; Boccarusso, L.; Caputo, F. Influence of chemical treatments on mechanical properties of hemp fibre reinforced composites. Comp Part B Eng. 2018, 133, 210–217. [Google Scholar] [CrossRef]
- Tanasa, F.; Zănoagă, M.; Teacănoagă, C.-A.; Nechifor, M.; Shahzad, A. Modified hemp fibers intended for fiber-reinforced polymer composites used in structural applications—A review. Polym. Compos. 2020, 41, 5–31. [Google Scholar] [CrossRef]
- Ullah, S.; Akhter, Z.; Palevicius, A.; Janusas, G. Review: Natural fiber-based biocomposites for potential advanced automotive applications. Polymers 2025, 17, 804. [Google Scholar] [CrossRef]
- Thakur, A.; Purohit, R.; Rana, R.S.; Bandhu, D. Characterization and Evaluation of Mechanical Behavior of Epoxy-CNT-Bamboo Matrix Hybrid Composites. Mater. Proc. 2018, 5, 3971–3980. [Google Scholar] [CrossRef]
- Yim, Y.-J.; Kim, B.-J. Preparation and Characterization of Activated Carbon/Polymer Composites: A Review. Polymers 2023, 15, 3472. [Google Scholar] [CrossRef] [PubMed]
- Salleh, Z.; Yusop, M.Y.M.; Rosdi, M.S. Mechanical Properties of Activated Carbon (AC) Coir Fibers Reinforced with Epoxy Resin. J. Mech. Eng. Sci 2013, 5, 631–638. [Google Scholar] [CrossRef]
- Anu, K.S.; Vishnumurthy, K.A.; Mahesh, A.; Natarajan, K. Carbon fiber-reinforced, activated carbon-embedded copper oxide nanoparticles/epoxy hybrid composites for EMI shielding in aircraft applications. Polym. Bull. 2024, 81, 8723–8750. [Google Scholar] [CrossRef]
- Sun, Z.; Duan, Y.; An, H.; Wang, X.; Liang, S.; Li, N. Research Progress and Application of Natural Fiber Composites. J. Nat. Fibers 2023, 20, 2206591. [Google Scholar] [CrossRef]
- Shen, X.; Jia, J.; Chen, C.; Li, Y.; Kim, J.-K. Enhancement of mechanical properties of natural fiber composites via carbon nanotube addition. J. Mater. Sci. 2014, 49, 3225–3233. [Google Scholar] [CrossRef]
- Wang, H.; Yang, L.; Guo, H.; Zhao, Y.; Zhao, J. Mechanical and Thermodynamic Properties of Unidirectional Flax Fiber Reinforced CNT Modified Epoxy Composites. Fibers Polym. 2019, 20, 1266–1276. [Google Scholar] [CrossRef]
- Dehrooyeh, S.; Vaseghi, M.; Sohrabian, M.; Sameezadeh, M. Glass fibre/Carbon nanotube/Epoxy hybrid composites: Achieving superior mechanical properties. Mech. Mater. 2021, 161, 104025. [Google Scholar] [CrossRef]
- Feng, Y.; Hao, H.; Lu, H.; Chow, C.L.; Lau, D. Exploring the development and applications of sustainable natural fiber composites: A review from a nanoscale perspective. Compos. Part B Eng. 2024, 276, 111369. [Google Scholar] [CrossRef]
- Ali, A.; Shaker, K.; Nawab, Y.; Jabbar, M.; Hussain, T.; Militky, J.; Baheti, V. Hydrophobic treatment of natural fibers and their composites—A review. J. Ind. Text. 2018, 47, 2153–2183. [Google Scholar] [CrossRef]
- Kumar, S.; Prasad, L.; Bijlwan, P.P.; Yadav, A. Thermogravimetric analysis of lignocellulosic leaf-based fiber-reinforced thermosets polymer composites: An overview. Biomass Convers. Biorefin. 2022, 14, 12673–12698. [Google Scholar] [CrossRef]
- Dinu, R.; Lafont, U.; Damiano, O.; Mija, A. High Glass Transition Materials from Sustainable Epoxy Resins with Potential Applications in the Aerospace and Space Sectors. ACS Appl. Polym. Mater. 2022, 4, 3636–3646. [Google Scholar] [CrossRef]
- Thomas, J.; Soucek, M.D. Cationic Copolymers of Norbornylized Seed Oils for Fiber-Reinforced Composite Applications. ACS Omega 2022, 7, 33949–33962. [Google Scholar] [CrossRef] [PubMed]
- Yue, L.; Pircheraghi, G.; Monemian, S.A.; Manas-Zloczower, I. Epoxy composites with carbon nanotubes and graphene nanoplatelets—Dispersion and synergy effects. Carbon 2014, 78, 268–278. [Google Scholar] [CrossRef]
- Lee, T.-W.; Han, M.; Lee, S.-E.; Jeong, Y.G. Electrically conductive and strong cellulose-based composite fibers reinforced with multiwalled carbon nanotube containing multiple hydrogen bonding moiety. Compos. Sci. Technol. 2016, 123, 57–64. [Google Scholar] [CrossRef]
- Appelsved, P. Investigation of Mechanical Properties of Thermoplastics with Implementations of LS-DYNA Material Models. Master’s Thesis, KTH Royal Institute of Technology, School of Engineering Sciences, Stockholm, Sweden, 2012. Available online: https://www.diva-portal.org/smash/get/diva2:561650/FULLTEXT01.pdf (accessed on 5 November 2025).
- Gurumurthy, C.; Fang, J. Modelling of Glass Fiber Reinforced Plastic for Crash Applications. Master’s Thesis, Department of Industrial and Materials Science, Chalmers University of Technology, Gothenburg, Sweden, 2020. Available online: https://odr.chalmers.se/server/api/core/bitstreams/18803c92-685d-4bfe-b908-6226ada621e4/content (accessed on 5 November 2025).
- Haufe, A.; Effinger, V.; Reithofer, P.; Rollant, M.; Fritz, M. Validation and material modelling of plastics. In Proceedings of the 8th European LS-DYNA Users Conference, Strasbourg, France, 23–24 May 2011; DYNAmore GmbH: Stuttgart, Germany, 2011. Available online: https://www.dynalook.com/conferences/8th-european-ls-dyna-conference/session-16/Session16_Paper3.pdf (accessed on 5 November 2025).
- Ganjoo, R.; Sharma, S.; Kumar, A.; Daouda, M.M.A. Chapter 1: Activated Carbon: Fundamentals, Classification, and Properties. In Activated Carbon: Progress and Applications, 1st ed.; Verma, C., Quraishi, M.A., Eds.; Royal Society of Chemistry: Cambridge, UK, 2023; pp. 1–22. [Google Scholar] [CrossRef]
- Hossain, M.A.; Islam, S.; Chowdhury, F.A.; Mohiuddin, T. Structural, Mechanical, and Electrical Properties of Carbon Nanoparticles Synthesized from Diesel. Fullerenes Nanotub. Carbon Nanostruct. 2016, 24, 43–51. [Google Scholar] [CrossRef]
- Reithofer, P.; Hirschmann, B.; Pothukuchi, H.; Riemelmoser, S. Modeling Plastics in LS-DYNA. Part 1: Isotropic Modeling of Thermoplastics; Part 2: Anisotropic Modeling of Fiber-Reinforced Thermoplastics; DYNAmore Express Webinar, 4a Engineering GmbH: Stuttgart, Germany, 2020. Available online: https://www.dynamore.de/de/download/presentation/2020/modeling_plastcis-2020.pdf (accessed on 5 November 2025).
- Pinto, Â.; Esteves, D.; Nobre, L.; Bessa, J.; Cunha, F.; Fangueiro, R. Mechanical Performance Enhancement in Natural Fibre-Reinforced Thermoplastic Composites Through Surface Treatment and Matrix Functionalisation. Polymers 2025, 17, 532. [Google Scholar] [CrossRef] [PubMed]
- Pandiarajan, P.; Baskaran, P.G.; Palanisamy, S.; Karuppusamy, M.; Marimuthu, K.; Rajan, A.; Almansour, M.I.; Ma, Q.; Al-Farraj, S.A. Enhancing Polyester Composites with Nano Aristida hystrix Fibers: Mechanical and Microstructural Insights. BioResources 2025, 20, 9257–9281. [Google Scholar] [CrossRef]
- Ayrilmis, N.; Kuzmin, A.M.; Masri, T.; Yagoub, M.; Sedira, L.; Pantyukhov, P.; Mausam, K.; Palanisamy, S.; Ma, Q.; Al-Farraj, S.A. Effects of Reinforcement by Both Waste Glass and Barley Straw on Water Resistance, Mechanical, and Thermal Properties of Polyethylene Composite. BioResources 2025, 20, 5967–5987. [Google Scholar] [CrossRef]
- Sanaka, R.; Sahu, S.K.; Sreekanth, P.S.R.; Giri, J.; Mohammad, F.; Al-Lohedan, H.A.; Saharudin, M.S.; Ma, Q. Heat-Responsive PLA/PU/MXene Shape Memory Polymer Blend Nanocomposite: Mechanical, Thermal, and Shape Memory Properties. Polymers 2025, 17, 338. [Google Scholar] [CrossRef] [PubMed]
- Sandu, I.-L.; Stan, F.; Fetecau, C. Mechanical Recycling of Ethylene-Vinyl Acetate/Carbon Nanotube Nanocomposites: Processing, Thermal, Rheological, Mechanical and Electrical Behavior. Polymers 2023, 15, 583. [Google Scholar] [CrossRef]
- Chandra, R.B.J.; Shivamurthy, B.; Kumar, M.S.; Prabhu, N.N.; Sharma, D. Mechanical and Electrical Properties and Electromagnetic-Wave-Shielding Effectiveness of Graphene-Nanoplatelet-Reinforced Acrylonitrile Butadiene Styrene Nanocomposites. J. Compos. Sci. 2023, 7, 117. [Google Scholar] [CrossRef]
- Azubuike, L.; Wang, J.; Sundararaj, U. Carbon Nanotube Migration in a Compatibilized Blend System, Leading to Kinetically Induced Enhancement in Electrical Conductivity and Mechanical Properties. Nanomaterials 2023, 13, 1039. [Google Scholar] [CrossRef]
- Ahmed, H.M.; Abdel-Gawad, N.M.K.; Afifi, W.A.; Mansour, D.-E.A.; Lehtonen, M.; Darwish, M.M.F. A Novel Polyester Varnish Nanocomposites for Electrical Machines with Improved Thermal and Dielectric Properties Using Functionalized TiO2 Nanoparticles. Polymers 2023, 15, 6478. [Google Scholar] [CrossRef]
- Ullah, S.; Palevicius, A.; Janusas, G.; Ul Hasan, Z. Impact properties of composite materials: The significance of glass microspheres. Tekstilec 2025, 68, 57–69. [Google Scholar] [CrossRef]
- ASTM D3039/D3039M; Standard Test Method for Tensile Properties of Polymer Matrix Composite Materials. ASTM International: West Conshohocken, PA, USA, 2017.
- Thermo Fisher Scientific. FEI Nova NanoSEM 200 Scanning Electron Microscope. Thermo Fisher Scientific: Hillsboro, OR, USA. Available online: https://www.bridgetronic.com/products/75095?srsltid=AfmBOooKmfbPQOC4P5Sf4ooaKtD2bb3WA14evyGwsgzKqGp0Rx0vnMBV (accessed on 28 November 2025).
- Keya, K.N.; Kona, N.A.; Koly, F.A.; Maraz, K.M.; Islam, M.N.; Khan, R.A. Natural fiber reinforced polymer composites: History, types, advantages and applications. Mater. Eng. Res. 2019, 1, 69–85. [Google Scholar] [CrossRef]
- Mergen, Ö.B.; Arda, E.; Evingür, G. Electrical, optical and mechanical properties of chitosan biocomposites. J. Compos. Mater. 2019, 54, 1497–1510. [Google Scholar] [CrossRef]
- Baysal, A.; Yayla, P.; Turkmen, H.S.; Karaca Ugural, B. Mechanical characterization of hybrid biocomposites reinforced with nonwoven hemp and unidirectional flax fibers. Polym. Compos. 2023, 44, 3555–3566. [Google Scholar] [CrossRef]
- Mamalis, D.; Murray, J.J.; McClements, J.; Tsikritsis, D.; Koutsos, V.; McCarthy, E.D.; Ó Brádaigh, C.M. Novel Carbon-Fibre Powder-Epoxy Composites: Interface Phenomena and Interlaminar Fracture Behaviour. Compos. Part B Eng. 2019, 174, 107012. [Google Scholar] [CrossRef]
- Shahid, M.; Monastyreckis, G.; Zeleniakiene, D. Numerical study on elastic properties of natural fibres in multi-hybrid composites. Polymers 2025, 17, 3031. [Google Scholar] [CrossRef] [PubMed]











| Properties | Value |
|---|---|
| Fiber density | 1.46 ± 0.02 g/cm3 |
| Areal density | 150 g/m2 |
| Elongation at break | 1.5–4% |
| Water content 1 | 6–12% |
| Apparent modulus | 40–68 GPa |
| Properties | Value |
|---|---|
| Form | Powder |
| Color | Black |
| Shape | Cylindrical |
| Average particle size | <90 nm |
| Specific surface area | 1350 g/m2 |
| pH | 7.5–10.5 |
| True density | 0.41 g/cm3 |
| Bulk density | 0.32 g/cm3 |
| Resistivity | 0.2 Ω.cm |
| Pore size | 3–45 nm |
| Pore volume | 1.2–1.4 |
| Properties | Value |
|---|---|
| Heat deflection temperature | 75.90 °C |
| Tensile strength | 47.00 MPa |
| Tensile modulus | 2.6–2.70 GPa |
| Tensile elongation at break | 4.3–4.6% |
| Flexural strength | 80.00–81.50 MPa |
| Flexural modulus | 2.6–2.7 GPa |
| Flexural elongation | 4.42% |
| Sample Code | AC NPs (%) | Mixer Speed (rpm) | Duration (min) |
|---|---|---|---|
| S0 | 0 | 600 | 20 |
| S1 | 1 | 600 | 20 |
| S1.4 | 1.4 | 600 | 20 |
| S1.8 | 1.8 | 600 | 20 |
| Sample Code | Reinforcement | 1st Pressure Cycle (kN)/ Duration (min) | 2nd Pressure Cycle (kN)/ Duration (min) |
|---|---|---|---|
| S0 | 2 layers of hemp (0°/0°) | 2/10 | 12/40 |
| S1 | 2 layers of hemp (0°/0°) | 2/10 | 12/40 |
| S1.4 | 2 layers of hemp (0°/0°) | 2/10 | 12/40 |
| S1.8 | 2 layers of hemp (0°/0°) | 2/10 | 12/40 |
| Parameter | Name | Unit | S0 | S1 | S1.4 | S1.8 |
|---|---|---|---|---|---|---|
| RO | Mass density | Kg·m−3 | 1120.43 | 1123.60 | 1125.55 | 1128.68 |
| E | Young’s modulus | MPa | 8000 | 9000 | 8500 | 6000 |
| PR | Major Poisson’s ratio | 0.3545 | 0.3506 | 0.3503 | 0.3503 | |
| TDEL | Min time step size for element deletion | s | 1 × 10−10 | 1 × 10−10 | 1 × 10−10 | 1 × 10−10 |
| EC | Young’s modulus for compression | MPa | 8000 | 9000 | 8500 | 6000 |
| RPCT | Scaling factor between E and EC | 0.5 | 0.5 | 0.5 | 0.5 | |
| PC | Compressive mean stress (pressure) | MPa | 5.02 | 6.76 | 5.0 | 3.06 |
| PT | Tensile mean stress (pressure) | MPa | 5.02 | 6.76 | 5.0 | 3.06 |
| K | Bulk modulus | MPa | 9163.80 | 10,040.16 | 9463.37 | 6680.03 |
| Sample Code | Resistance (Ω) | Std Dev | Resistivity (Ω·m) | Std Dev | Conductivity (S·m−1) | Std Dev |
|---|---|---|---|---|---|---|
| S1 | 1570 | 116.59 | 1.62 | 0.12 | 0.62 | 0.05 |
| S1.4 | 7890 | 2397.45 | 8.16 | 2.48 | 0.128 | 0.03 |
| S1.8 | 42,500 | 11,792.18 | 44.0 | 12.2 | 0.0239 | 0.01 |
| Sample | Maximum Stress σmax (MPa) | Maximum Strain εmax (%) | ||||
|---|---|---|---|---|---|---|
| Experiment | Numerical | Diff. % | Experiment | Numerical | Diff. % | |
| S0 | 164.31 | 163.99 | −0.20 | 3.80 | 3.81 | 0.24 |
| S1 | 199.64 | 197.12 | −1.27 | 4.040 | 4.036 | −0.11 |
| S1.4 | 177.02 | 179.77 | 1.55 | 3.75 | 3.72 | 0.74 |
| S1.8 | 66.27 | 71.09 | 7.28 | 3.01 | 2.93 | 2.59 |
Disclaimer/Publisher’s Note: The statements, opinions and data contained in all publications are solely those of the individual author(s) and contributor(s) and not of MDPI and/or the editor(s). MDPI and/or the editor(s) disclaim responsibility for any injury to people or property resulting from any ideas, methods, instructions or products referred to in the content. |
© 2025 by the authors. Licensee MDPI, Basel, Switzerland. This article is an open access article distributed under the terms and conditions of the Creative Commons Attribution (CC BY) license.
Share and Cite
Akhter, Z.; Palevicius, A.; Fangueiro, R.; Ullah, S.; Janusas, G. Mechanical, Electrical, and Thermal Performance of Hemp Fiber-Reinforced Elium Biocomposites Modified with Activated Carbon Nanoparticles: Experiment and Simulation. Polymers 2026, 18, 66. https://doi.org/10.3390/polym18010066
Akhter Z, Palevicius A, Fangueiro R, Ullah S, Janusas G. Mechanical, Electrical, and Thermal Performance of Hemp Fiber-Reinforced Elium Biocomposites Modified with Activated Carbon Nanoparticles: Experiment and Simulation. Polymers. 2026; 18(1):66. https://doi.org/10.3390/polym18010066
Chicago/Turabian StyleAkhter, Zeenat, Arvydas Palevicius, Raul Fangueiro, Sultan Ullah, and Giedrius Janusas. 2026. "Mechanical, Electrical, and Thermal Performance of Hemp Fiber-Reinforced Elium Biocomposites Modified with Activated Carbon Nanoparticles: Experiment and Simulation" Polymers 18, no. 1: 66. https://doi.org/10.3390/polym18010066
APA StyleAkhter, Z., Palevicius, A., Fangueiro, R., Ullah, S., & Janusas, G. (2026). Mechanical, Electrical, and Thermal Performance of Hemp Fiber-Reinforced Elium Biocomposites Modified with Activated Carbon Nanoparticles: Experiment and Simulation. Polymers, 18(1), 66. https://doi.org/10.3390/polym18010066

