Effects of Modification on Properties of Wood Flour/PBAT Biocomposites
Abstract
1. Introduction
2. Experimental
2.1. Materials and Reagents
2.2. WF Modification
2.2.1. Mercerization
2.2.2. Coupling Agent Treatment
2.2.3. Acetylation
2.3. Sample Preparation
2.4. Testing and Characterization
2.4.1. Fourier-Transform Infrared Spectroscopy (FTIR) Analysis
2.4.2. Mechanical Characterization
2.4.3. Scanning Electron Microscopy (SEM) Observation
2.4.4. Water Absorption Test
2.4.5. Thermal Stability Assessment
2.4.6. Melting and Crystallization Behavior Analysis
2.4.7. Wettability Testing
3. Results and Discussion
3.1. FTIR Analysis
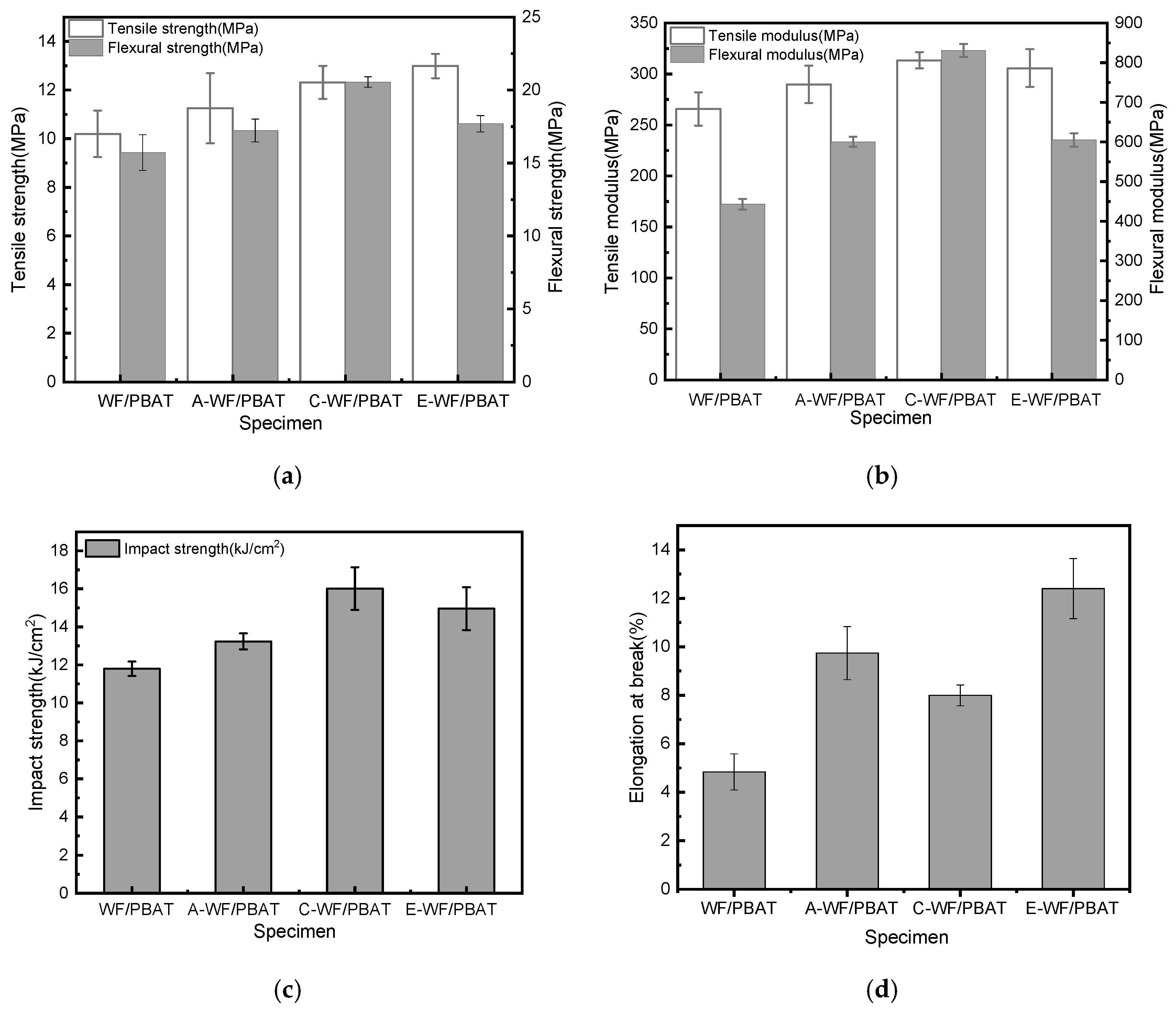
3.2. Mechanical Properties Analysis
3.3. SEM Analysis
3.4. Water Absorption Analysis
3.5. Thermal Stability Analysis
3.6. Crystallization and Melting Behavior Analysis
3.7. Hydrophobicity Analysis
4. Conclusions
- (1)
- For the mechanical measurements, the treated composite systems showed improvements in all the properties, including tensile properties (tensile strength, tensile modulus, and elongation at break), flexural properties (flexural strength and modulus), and impact properties, among which the coupling agent treatment gave the composite the greatest tensile modulus, elongation at break, flexural strength and modulus, as well as impact strength;
- (2)
- For the thermal behaviors, the modifications did not change the degradation and crystallization mechanisms but improved the thermal stability and crystallinity of the samples. Among all the composites, C-WF/PBAT had the greatest Ti and Tp,1, showing that it was the most thermally stable. Meanwhile, it had the greatest crystallinity;
- (3)
- Treated fibers were wrapped more tightly by PBAT when the composites were fractured. The modified composites, especially C-WF/PBAT, had much more homogeneous morphologies of fractured surfaces than untreated ones. The morphological observation supported the improved mechanical properties and reduced water absorption of modified WF/PBAT compared to pristine WF/PBAT;
- (4)
- After WF modifications, the hydrophobicity of WF/PBAT was enhanced, especially for C-WF/PBAT: it had the greatest water contact angle of 101.8°, while that of pristine WF/PBAT was only 95.2°. In addition, WF treatments obviously reduced the water absorption by the composites.
Author Contributions
Funding
Institutional Review Board Statement
Data Availability Statement
Conflicts of Interest
References
- Copenhaver, K.; Smith, T.; Armstrong, K.; Kamath, D.; Rencheck, M.; Bhagia, S.; Korey, M.; Lamm, M.; Ozcan, S. Recyclability of additively manufactured bio-based composites. Compos. Part B Eng. 2023, 255, 110617. [Google Scholar] [CrossRef]
- Jessica, S.; Silva, D.P.; Juliana, M.; Silva, D.F.; Bluma, G.; Soares; Livi, S. Fully biodegradable composites based on poly(butylene adipate-coterephthalate)/peach palm trees fiber. Compos. Part B Eng. 2017, 129, 117–123. [Google Scholar]
- Yang, X.P.; Zhong, S.Y. Properties of maleic anhydride-modified lignin nanoparticles/polybutylene-co-terephthalate composites. J. Appl. Polym. Sci. 2020, 137, 49025. [Google Scholar] [CrossRef]
- Wang, H.M.; Wang, B.; Yuan, T.Q.; Zheng, L.; Shi, Q.T.; Wang, S.F.; Song, G.Y.; Sun, R.C. Tunable, UV-shielding and biodegradablecomposites based on well-characterized lignins and poly(butylene adipate-co-terephthalate). Green Chem. 2020, 22, 8623–8632. [Google Scholar] [CrossRef]
- Cintra, C.S.; Braga, F.N.; Morgado, F.G.; Montanheiro, L.T.; Marini, J.; Passador, R.F.; Montagna, L. Development of new biodegradable composites materials from polycaprolactone and wood flour. Wood Mater. Sci. Eng. 2022, 17, 586–597. [Google Scholar] [CrossRef]
- Chelali, L.; Benaboura, A. Effect of Agave americana fibers used as reinforcement in the preparation of composites based on recycled PVC. Polym. Compos. 2022, 43, 7222–7231. [Google Scholar] [CrossRef]
- Naderloo, H.S.; Najafi, K.S.; Mohebby, B. Effect of Natural Weathering on Performance of Wood Flour-Recycled Polypropylene Composites. Drv. Ind. 2024, 75, 131–142. [Google Scholar]
- Salah, F.; Ali, A.; Batouti, E.M.; Abdelhamed, M.; El-Rafey, E. Formulation and characterization of new ternary stable composites: Polyvinyl chloride-wood flour-calcium carbonate of promising physicochemical properties. J. Mater. Res. Technol. 2020, 9, 12840–12854. [Google Scholar]
- Ge, S.B.; Ouyang, H.; Ye, H.R.; Shi, Y.; Sheng, Y.Q.; Peng, W.X. High-performance and environmentally friendly acrylonitrile butadiene styrene/wood composite for versatile applications in furniture and construction. Adv. Compos. Hybrid Mater. 2023, 6, 44. [Google Scholar] [CrossRef]
- Aina, S.K.; Oladimeji, O.A.; Agboola, Z.F.; Oguntayo, O.D. Dimensional stability and mechanical properties of extruded-compression biopolymer composites made from selected Nigerian grown wood species at varying Proportions. Sci. Rep. 2022, 12, 10545. [Google Scholar]
- Park, C.W.; Youe, W.J.; Han, S.Y.; Park, J.S.; Lee, E.A.; Park, J.Y.; Kwon, G.J.; Kim, S.J.; Lee, S.H. Influence of Lignin and Polymeric Diphenylmethane Diisocyante Addition on the Properties of Poly(butylene succinate)/Wood Flour Composite. Polymers 2019, 11, 1161. [Google Scholar] [CrossRef] [PubMed]
- Joseph, T.M.; Kallingal, A.; Suresh, A.M.; Mahapatra, D.K.; Hasanin, M.S.; Haponiuk, J.; Thomas, S. 3D printing of polylactic acid: Recent advances and opportunities. Int. J. Adv. Manuf. Technol. 2023, 125, 1015–1035. [Google Scholar] [CrossRef]
- Fabijański, M. Properties of Composites Based on Polylactide Filled with Cork Filler. J. Compos. Sci. 2024, 8, 185. [Google Scholar] [CrossRef]
- Saeed, U.; Nawaz, M.; Al-Turaif, H. Wood flour reinforced biodegradable PBS/PLA composites. J. Compos. Mater. 2018, 52, 19. [Google Scholar] [CrossRef]
- Li, M.; Lei, W.; Yu, W. FDM 3D Printing and Properties of WF/PBAT/PLA Composites. Molecules 2024, 29, 5087. [Google Scholar] [CrossRef] [PubMed]
- Lin, C.; Luo, Q.; Kanstad, T.; Grammatikos, S.; Ji, G. A comprehensive study on the physico-mechanical properties of a sustainable mortar reinforced by waste wood fiber. Constr. Build. Mater. 2025, 461, 139928. [Google Scholar] [CrossRef]
- Zhang, L.; Zhang, J.; Lv, C.; Gao, L.; Luo, S.; Ren, Y.; Chang, L.; Chen, X.; Tang, Q.; Guo, W. Fabrication and characterization of flexible natural cellulosic fiber composites through collaborative modification strategy of sodium hydroxide and γ-Aminopropyl triethoxysilane. Int. J. Biol. Macromol. 2024, 261, 129831. [Google Scholar] [CrossRef] [PubMed]
- Kellersztein, I.; Dotan, A. Chemical surface modification of wheat straw fibers for polypropylene reinforcement. Polym. Compos. 2016, 37, 2133–2141. [Google Scholar] [CrossRef]
- ASTM D638-22; Standard Test Method for Tensile Properties of Plastics. ASTM International (ASTM): West Conshohocken, PA, USA, 2022; p. 23.
- ASTM D 790-2010; Standard Test Methods for Flexural Properties of Unreinforced and Reinforced Plastics and Electrical Insulating Materials. ASTM International (ASTM): West Conshohocken, PA, USA, 2010.
- GB/T 1043.1-2008; Plastics-Determination of Charpy Impact Properties-Part 1: Non-Instrumented Impact Test. Standardization Administration of China: Beijing, China, 2008.
- Botta, L.; Titone, V.; Teresi, R.; Scarlata, M.C.; Re, G.L.; Mantia, F.P.L.; Lopresti, F. Biocomposite PBAT/lignin blown films with enhanced photo-stability. Int. J. Biol. Macromol. 2022, 217, 161–170. [Google Scholar] [CrossRef] [PubMed]
- Sienkiewicz, A.; Czub, P. Modification of Epoxy Compositions by the Application of Various Fillers of Natural Origin. Materials 2023, 16, 3149. [Google Scholar] [CrossRef]
- Liu, H.; He, H.; Peng, X.D.; Huang, B.; Li, J.X. Three-dimensional printing of poly(lactic acid) bio-based composites with sugarcane bagasse fiber: Effect of printing orientation on tensile performance. Polym. Adv. Technol. 2019, 30, 910–922. [Google Scholar] [CrossRef]
- Wu, J.Y.; Zong, Y.X.; Zhong, T.H.; Zhang, W.F.; Chen, H. Bamboo slivers with high strength and toughness prepared by alkali treatment at a proper temperature. J. Wood Sci. 2023, 69, 13. [Google Scholar] [CrossRef]
- Sun, Y.F.; Wang, Y.P.; Mu, W.L.; Zheng, Z.P.; Yang, B.; Wang, J.W.; Zhang, R.K.; Zhou, K.Y.; Chen, L.; Ying, J.L.; et al. Mechanical properties of 3D printed micro-nano rice husk/polylactic acid filaments. J. Appl. Polym. Sci. 2022, 139, 28. [Google Scholar] [CrossRef]
- Liu, Y.N.; Guo, L.M.; Wang, W.H.; Sun, Y.N.; Wang, H.G. Modifying wood veneer with silane coupling agent for decorating wood fiber/high-density polyethylene composite. Constr. Build. Mater. 2019, 224, 691–699. [Google Scholar] [CrossRef]
- Fernandes, M.E.; Mano, F.J.; Reis, L.R. Hybrid cork-polymer composites containing sisal fibre: Morphology, effect of the fibre treatment on the mechanical properties and tensile failure prediction. Compos. Struct. 2013, 105, 153–162. [Google Scholar] [CrossRef]
- Liu, X.J.; Lv, S.S.; Jiang, Y.; Shi, J.Y.; Tan, H.Y.; Gu, J.Y.; Zhang, Y.H. Effects of alkali treatment on the properties of WF/PLA composites. J. Adhes. Sci. Technol. 2017, 31, 1151–1161. [Google Scholar] [CrossRef]
- Jung, S.J.; Song, H.K.; Kim, H.S. Biodegradable Acetylated Kenaf Fiber Composites. Fibers Polym. 2021, 22, 3437–3443. [Google Scholar] [CrossRef]
- Zhang, X.L.; Gao, L.M.; Li, S.G.; Lv, J.Y.; Zhu, X.F.; Xu, L.; Li, X.; Yang, M.H.; Zhang, W.; Wang, Y.; et al. Effect of different modifiers on tobacco stalk fiber/high-density polyethylene composites. Polym. Eng. Sci. 2024, 64, 108–118. [Google Scholar] [CrossRef]
- Kabir, M.M.; Al-Haik, Y.M.; Aldajah, H.S.; Lau, T.K.; Wang, H. Impact Properties of the Chemically Treated Hemp Fibre Reinforced Polyester Composites. Fibers Polym. 2020, 21, 2098–2110. [Google Scholar] [CrossRef]
- Kong, M.R.; Qin, Z.; Zhang, P.; Xie, G.Q.; Wang, H.; Wang, J.; Guan, F.L.; Yang, W.Z.; Qiu, Z.W. Study on modified poplar wood powder/polylactic acid high toughness green 3D printing composites. Int. J. Biol. Macromol. 2023, 228, 311–322. [Google Scholar] [CrossRef]
- Kurimoto, Y.; Sasaki, S. Preparation of acetylated wood meal and polypropylene composites II: Mechanical properties and dimensional stability of the composites. J. Wood Sci. 2013, 59, 216–220. [Google Scholar] [CrossRef]
- Rahman, R.M.; Hamdan, S.; Hasan, M.; Baini, R.; ASalleh, A. Physical, Mechanical, and Thermal Properties of Wood Flour Reinforced Maleic Anhydride Grafted Unsaturated Polyester(UP) Biocomposites. Bioresources 2015, 10, 4557–4568. [Google Scholar] [CrossRef]
- Shahar, S.F.; Sultan, H.T.M.; Safri, A.N.S.; Jawaid, M.; Abd Talib, A.R.; Basri, A.A.; Shah, M.U.A. Physical, thermal and tensile behaviour of 3D printed kenaf/PLA to suggest its usability for ankle-foot orthosis-a preliminary study. Rapid Prototyp. J. 2022, 28, 1355–2546. [Google Scholar] [CrossRef]
- Sukmawan, R.; Kusmono; Wildan, W.M. Optimizing Acetic Anhydride Amount for Improved Properties of Acetylated Cellulose Nanofibers from Sisal Fibers Using a High Speed Blender. ACS Omega 2023, 8, 27117–27126. [Google Scholar] [CrossRef] [PubMed]
- Liu, Y.X.; Liao, L.Y.; Xiong, J.M.; Liang, Z.S. Thermal degradation behavior and structures of thermoplastic cassava starch/sisal fiber composites. Polym. Compos. 2022, 43, 2022–2033. [Google Scholar] [CrossRef]
- An, S.N.; Ma, X.J. Properties and structure of poly (3-hydroxybutyrate-co-4-hydroxybutyrate)/wood fiber biodegradable composites modified with maleic anhydride. Ind. Crops Prod. 2017, 109, 882–888. [Google Scholar] [CrossRef]
- Zaman, U.H.; Khan, A.R. Acetylation used for natural fiber/polymer composites. J. Thermoplast. Compos. Mater. 2019, 34, 1–21. [Google Scholar] [CrossRef]
- Zhu, J.Y.; Xiong, J.W.; Hu, X.F.; Wang, B.Y. Mechanical Properties and Wettability of Bagasse-reinforced Composite. J. Wuhan Univ. Technol.-Mater. Sci. Ed. 2019, 34, 312–316. [Google Scholar] [CrossRef]










| Sample | Ti (°C) | Tp,1 (°C) | Tp,2 (°C) | Tf (°C) |
|---|---|---|---|---|
| WF/PBAT | 342.04 | 368.98 | 415.14 | 440.82 |
| A-WF/PBAT | 364.53 | 376.12 | 412.44 | 433.01 |
| C-WF/PBAT | 367.71 | 378.52 | 415.22 | 440.63 |
| E-WF/PBAT | 365.23 | 373.74 | 414.31 | 438.35 |
| Sample | Tcc/°C | ΔHc (J/g) | Tm/°C | ΔHm (J/g) | Xc/% |
|---|---|---|---|---|---|
| WF/PBAT | 94.7 | −6.19 | 123.0 | 5.15 | 9.04 |
| A-WF/PBAT | 82.6 | −7.586 | 123.5 | 8.89 | 15.60 |
| C-WF/PBAT | 82.4 | −9.12 | 127.1 | 9.75 | 17.10 |
| E-WF/PBAT | 83.8 | −9.025 | 127.9 | 9.00 | 15.79 |
Disclaimer/Publisher’s Note: The statements, opinions and data contained in all publications are solely those of the individual author(s) and contributor(s) and not of MDPI and/or the editor(s). MDPI and/or the editor(s) disclaim responsibility for any injury to people or property resulting from any ideas, methods, instructions or products referred to in the content. |
© 2025 by the authors. Licensee MDPI, Basel, Switzerland. This article is an open access article distributed under the terms and conditions of the Creative Commons Attribution (CC BY) license (https://creativecommons.org/licenses/by/4.0/).
Share and Cite
Yu, W.; Qiu, R.; Lei, W.; Chen, Y. Effects of Modification on Properties of Wood Flour/PBAT Biocomposites. Polymers 2025, 17, 555. https://doi.org/10.3390/polym17050555
Yu W, Qiu R, Lei W, Chen Y. Effects of Modification on Properties of Wood Flour/PBAT Biocomposites. Polymers. 2025; 17(5):555. https://doi.org/10.3390/polym17050555
Chicago/Turabian StyleYu, Wangwang, Rui Qiu, Wen Lei, and Yong Chen. 2025. "Effects of Modification on Properties of Wood Flour/PBAT Biocomposites" Polymers 17, no. 5: 555. https://doi.org/10.3390/polym17050555
APA StyleYu, W., Qiu, R., Lei, W., & Chen, Y. (2025). Effects of Modification on Properties of Wood Flour/PBAT Biocomposites. Polymers, 17(5), 555. https://doi.org/10.3390/polym17050555

