Failure Modes and Influencing Factors of Rubber O-Ring Seals in High-Pressure Hydrogen Environments
Abstract
1. Introduction
1.1. Application Background of O-Ring Seals in High-Pressure Hydrogen Environment
1.2. Objectives and Significance
2. Failure Modes and Evaluation Criteria
2.1. Common Failure Modes in High-Pressure Hydrogen Environment
2.2. Failure Assessment Criteria
2.2.1. Appearance and Geometric Dimensions
2.2.2. Stress Analysis
2.2.3. Leakage Rate Analysis
2.3. Performance Evaluation Standards in High-Pressure Hydrogen Environments
3. Main Failure Modes Under Conventional High-Pressure Environment
3.1. Extrusion and Nibbling
3.2. Fretting Wear and Crack Evolution
3.3. Thermal Aging and Compression Set
4. Failure Modes in High-Pressure Hydrogen Environment
4.1. Overview
4.2. Performance of Typical Rubber Materials in High-Pressure Hydrogen Environments
4.3. Newly Emerged Failure Modes in Hydrogen Environment
4.3.1. Hydrogen-Induced Swelling
4.3.2. Rapid Gas Decompression
4.4. Amplification Effect of Conventional Failure Modes in Hydrogen Environment
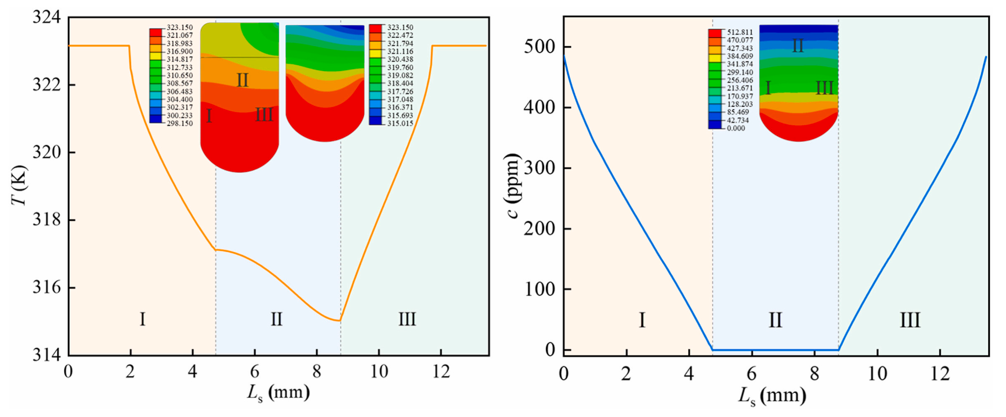
4.5. Multi-Factor Coupling Effects in High-Pressure Hydrogen Environments
5. Future Research Directions and Challenges
5.1. Existing Problems in Current Research
5.2. Key Future Research Directions
5.2.1. R&D of High-Performance Blister-Resistant Rubber Materials
5.2.2. Collaborative Design Optimization of Sealing Structures
5.2.3. In-Depth Study on Tribological Behavior Under Dynamic Sealing Conditions
5.2.4. Impact of Damage Accumulation on Rubber Permeation Performance
6. Conclusions
Author Contributions
Funding
Data Availability Statement
Conflicts of Interest
Abbreviations
| RGD | Rapid Gas Decompression |
| NBR | Nitrile Butadiene Rubber |
| HNBR | Hydrogenated Nitrile Butadiene Rubber |
| FKM | Fluoroelastomer |
| EPDM | Ethylene Propylene Diene Monomer |
References
- Hosseini, S.E.; Wahid, M.A. Hydrogen production from renewable and sustainable energy resources: Promising green energy carrier for clean development. Renew. Sustain. Energy Rev. 2016, 57, 850–866. [Google Scholar] [CrossRef]
- Nowotny, J.; Hoshino, T.; Dodson, J.; Atanacio, A.J.; Ionescu, M.; Peterson, V.; Prince, K.E.; Yamawaki, M.; Bak, T.; Sigmund, W.; et al. Towards sustainable energy. Generation of hydrogen fuel using nuclear energy. Int. J. Hydrogen Energy 2016, 41, 12812–12825. [Google Scholar] [CrossRef]
- Dawood, F.; Anda, M.; Shafiullah, G.M. Hydrogen production for energy: An overview. Int. J. Hydrogen Energy 2020, 45, 3847–3869. [Google Scholar] [CrossRef]
- Mekonnin, A.S.; Wacławiak, K.; Humayun, M.; Zhang, S.; Ullah, H. Hydrogen Storage Technology, and Its Challenges: A Review. Catalysts 2025, 15, 260. [Google Scholar] [CrossRef]
- Sattar, M.A.; Rasul, M.G.; Jahirul, M.I.; Hasan, M.M. An up-to-date review on the progress and challenges of hydrogen storage, and its safety and economic analysis. Sustain. Energy Fuels 2024, 8, 3545–3573. [Google Scholar] [CrossRef]
- Barth, R.R.; Simmons, K.L.; Marchi, C.S. Polymers for Hydrogen Infrastructure and Vehicle Fuel Systems; SAND2013–8904; Sandia National Laboratories: Albuquerque, NM, USA, 2013. [Google Scholar] [CrossRef]
- Zhou, C.; Zheng, J.; Gu, C.; Zhao, Y.; Liu, P. Sealing performance analysis of rubber O-ring in high-pressure gaseous hydrogen based on finite element method. Int. J. Hydrogen Energy 2017, 42, 11996–12004. [Google Scholar] [CrossRef]
- Jeon, S.K.; Jung, J.K.; Chung, N.K.; Baek, U.B.; Nahm, S.H. Investigation of Physical and Mechanical Characteristics of Rubber Materials Exposed to High-Pressure Hydrogen. Polymers 2022, 14, 2233. [Google Scholar] [CrossRef]
- Jeon, S.K.; Kwon, O.H.; Tak, N.H.; Chung, N.K.; Baek, U.B.; Nahm, S.H. Relationships between Properties and Rapid Gas Decompression (RGD) Resistance of Filled NBR Vulcanizates under High-Pressure Hydrogen. Mater. Today Commun. 2022, 30, 103038. [Google Scholar] [CrossRef]
- Theiler, G.; Cano Murillo, N.; Hausberger, A. Effect of Hydrogen Pressure on the Fretting Behavior of Rubber Materials. Lubricants 2024, 12, 233. [Google Scholar] [CrossRef]
- Liu, S.Q. Application of O-Ring Rubber Seals in Pneumatic Systems. Xin Xing Gong Ye Hua 2022, 12, 162–166. [Google Scholar] [CrossRef]
- Chen, Q.; Yang, M.; Peng, W.; Yao, R.; Shi, J. Review on Hydrogen-Induced Failure of Rubber O-Rings for High Pressure Hydrogen Storage Tanks. In Proceedings of the ASME Pressure Vessels and Piping Conference, Atlanta, GA, USA, 16–21 July 2023; ASME: New York, NY, USA, 2023. Paper No. V002T03A014. [Google Scholar] [CrossRef]
- Koga, A.; Uchida, K.; Yamabe, J.; Nishimura, S. Evaluation on High-Pressure Hydrogen Decompression Failure of Rubber O-Ring Using Design of Experiments. Int. J. Automot. Eng. 2011, 2, 123–129. [Google Scholar] [CrossRef]
- Zhou, C.; Shen, Y.; Wang, H.; Zheng, Y.; Deng, B.; Qin, C.; Hua, Z.; Li, X. Numerical analysis of hydrogen-induced blister crack effect on rubber O-ring dynamic sealing performance. Polym. Eng. Sci. 2025, 61, 1234–1243. [Google Scholar] [CrossRef]
- Yamabe, J.; Nishimura, S. Hydrogen-Induced Degradation of Rubber Seals. In Gaseous Hydrogen Embrittlement of Materials in Energy Technologies; Gangloff, R.P., Somerday, B.P., Eds.; Woodhead Publishing (Elsevier Ltd.): Oxford, UK, 2012; pp. 769–816. [Google Scholar] [CrossRef]
- Zhou, C.; Liu, X.; Sun, J. A Comprehensive Review of Hydrogen-Induced Swelling in Rubber Materials. Polym. Test. 2024, 126, 108543. [Google Scholar] [CrossRef]
- Liu, X.; Yang, R. Research Progress on Aging of Rubber Sealing Materials. Ji Xie Gong Cheng Cai Liao 2020, 44, 1–10+71. [Google Scholar] [CrossRef]
- Clute, C.; Balasooriya, W.; Cano Murillo, N.; Theiler, G.; Kaiser, A.; Fasching, M.; Schwarz, T.; Hausberger, A.; Pinter, G.; Schlögl, S. Morphological investigations on silica and carbon-black filled acrylonitrile butadiene rubber for sealings used in high-pressure H2 applications. Int. J. Hydrogen Energy 2024, 67, 540–552. [Google Scholar] [CrossRef]
- Maruschak, P.; Konovalenko, I.; Sorochak, A. Methods for evaluating fracture patterns of polycrystalline materials based on the parameter analysis of ductile separation dimples: A review. Eng. Fail. Anal. 2023, 162, 107587. [Google Scholar] [CrossRef]
- Li, X.; Zhang, Y.; Wang, J.; Zhao, H. Analyses of permeation characteristics of hydrogen in nitrile butadiene rubber using gas chromatography. Mater. Chem. Phys. 2021, 267, 124653. [Google Scholar] [CrossRef]
- Li, J.X.; Liu, P.F.; Wang, S.B.; Leng, J.X. Finite Element Analysis of O-Ring Sealing Performance of Manned Submersible Viewports. J. Fail. Anal. Prev. 2020, 20, 1628–1637. [Google Scholar] [CrossRef]
- ISO 19880-3:2018; Gaseous Hydrogen—Fuelling Stations—Part 3: Valves. International Organization for Standardization (ISO): Geneva, Switzerland, 2018.
- GB/T 34425-2023; Hydrogen Refueling Nozzles for Fuel Cell Electric Vehicles. China Standards Press: Beijing, China, 2023.
- GB/T 42536-2023; High-Pressure Hydrogen Storage Cylinder Combination Valves for Vehicles. China Standards Press: Beijing, China, 2023.
- GB/T 42612-2023; Fully-Wrapped Carbon Fiber Reinforced Cylinders with a Plastic Liner for the On-Board Storage of Compressed Hydrogen as a Fuel for Land Vehicles. China Standards Press: Beijing, China, 2023.
- NORSOK M-710 Rev. 2; Qualification of Non-Metallic Sealing Materials and Manufacturers. NTS: Oslo, Norway, 2001.
- ISO 23936-2:2011; Petroleum, Petrochemical and Natural Gas Industries—Non-Metallic Materials in Contact with Media Related to Oil and Gas Production—Part 2: Elastomers. ISO: Geneva, Switzerland, 2011.
- SAE J2579; Performance Evaluation of Elastomeric Seals for High Pressure Hydrogen Applications. SAE International: Warrendale, PA, USA, 2023.
- SAE J2600; High Pressure Hydrogen Storage and Delivery Component Validation. SAE International: Warrendale, PA, USA, 2015.
- Wang, Z.; Chen, C.; Liu, Q.; Lou, Y.; Suo, Z. Extrusion, Slide, and Rupture of an Elastomeric Seal. J. Mech. Phys. Solids 2017, 99, 289–303. [Google Scholar] [CrossRef]
- Zhu, J.L.; Zhang, J.; Lu, Y.C.; Duan, Y.; Li, Y.X.; Liu, C.W.; Zhao, J.; He, L.; Liu, X. Experimental and Simulation Study on the Sealing Performance of Rubber O-Rings Exposed to Hydrogen Conditions. Int. J. Hydrogen Energy 2025, 158, 150239. [Google Scholar] [CrossRef]
- Sun, S.; Zou, Y.; Zhang, Z.; Yang, Y.; Che, J.; Gong, Y. Simulation and Experiments on Sealing and Extrusion Failure on Application of Deep-Sea Adsorption by Differential Pressure. J. Press. Vessel Technol. 2024, 146, 041701. [Google Scholar] [CrossRef]
- Soon, K.H.; Wong, Y.C.; Jayamani, E.; Sia, C.C.V. The Effect of Groove Geometry on the Stress Developed at the Contact Region and Inner Core of the O-Ring. J. Eng. Sci. Technol. 2023, 18, 1459–1476. [Google Scholar]
- El Bahloul, E.M.; Diany, M.; Aissaoui, H.; Boudaia, E.; Mabrouki, M. Analysis of the Sealing Performance of a Concave O-Ring Groove. Int. Rev. Mech. Eng. 2021, 15, 530–537. [Google Scholar] [CrossRef]
- Qiao, X.K.; Miao, Y.; Zhang, X.J.; Shen, H.X.; Hua, Y.; Sun, L.J.; Huang, Y.F.; Xu, J.X.; Wu, D. An Analytical Model for Stress Distribution of NBR O-Ring during Dynamic Hydrogen Permeation. Int. J. Hydrogen Energy 2025, 109, 164–173. [Google Scholar] [CrossRef]
- Zha, Y.; Chen, Y.; Liu, Y.; Wang, X.; Chen, Z.; Xie, P.; Yang, W. Optimizing Sealing Structure Design for Enhanced Sealing Performance in Type IV Hydrogen Storage Vessels. J. Appl. Polym. Sci. 2025, 132, 57050. [Google Scholar] [CrossRef]
- Zhou, Q.; Li, S.; Zhang, K.; Qin, K.; Lv, M.; Sun, W.; Yuan, T. Transitions of Wear Characteristics for Rubber/Steel Seal Pairs during the Abrasive Wear Process. Tribol. Lett. 2021, 69, 142. [Google Scholar] [CrossRef]
- Zhou, Z.; Zhou, Q.; Zhang, K.; Wei, T.; Di, Y.; Wang, Y.; Qin, K. Failure of Protection against Particle Invasion in Hard/Soft Seal Interfaces. Eng. Fail. Anal. 2024, 155, 107021. [Google Scholar] [CrossRef]
- Song, W.; Cui, W. Finite Element Analysis of Large-Sized O-Rings Used in Deep-Ocean Pressure Chambers. Adv. Mech. Eng. 2021, 13, 1–13. [Google Scholar] [CrossRef]
- Liu, R.; Su, J.; Zhang, T.; Ke, L. Fretting Wear Behaviors of Silicone Rubber under Dry Friction and Different Lubrication Conditions. Materials 2024, 17, 553. [Google Scholar] [CrossRef]
- Kuang, W.; Bennett, W.D.; Roosendaal, T.J.; Arey, B.W.; Dohnalkova, A.; Petrossian, G.; Simmons, K.L. In Situ Friction and Wear Behavior of Rubber Materials Incorporating Various Fillers and/or a Plasticizer in High-Pressure Hydrogen. Tribol. Int. 2021, 153, 106720. [Google Scholar] [CrossRef]
- Qiao, Z.; Guo, Y.; Wei, R.; Zhang, Z.; Wang, B.; Wang, D. Comparative Study on Wear Properties of Different Rubber Materials under Reciprocating Sliding Conditions. Wear 2024, 191, 108917. [Google Scholar] [CrossRef]
- Li, Y.; Wu, J.; Chen, Z.; Zhang, Z.; Su, B.; Wang, Y. The Influence of Oil and Thermal Aging on the Sealing Characteristics of Nitrile Butadiene Rubber O-Rings. Polymers 2024, 16, 2501. [Google Scholar] [CrossRef]
- Xie, K.Y.; An, Q.; Sun, Y.; Wang, D.X.; Li, J.K. High-Temperature Compression Set of Rubber. Polym. Mater. Sci. Eng. 2025, 41, 99–105. [Google Scholar]
- Pan, J.; Bai, G.; Chen, W. Accelerated Aging Test and Study of Storage Life Prediction of NBR O-Ring. In Proceedings of the International Conference on Advances in Materials and Manufacturing Processes, Paris, France, 8–13 July 2018. [Google Scholar] [CrossRef]
- GB/T 7759-2015; Rubber, Vulcanized or Thermoplastic—Determination of Compression Set. China Standards Press: Beijing, China, 2015.
- ASTM D395-18; Standard Test Methods for Rubber Property—Compression Set. ASTM International: West Conshohocken, PA, USA, 2018.
- Kömmling, A.; Jaunich, M.; Pourmand, P.; Wolff, D.; Hedenqvist, M. Analysis of O-Ring Seal Failure under Static Conditions and Determination of End-of-Lifetime Criterion. Polymers 2019, 11, 1251. [Google Scholar] [CrossRef]
- Zheng, Y.; Tan, Y.; Zhou, C.; Chen, G.; Li, J.; Liu, Y.; Liao, B.; Zhang, G. A Review on Effect of Hydrogen on Rubber Seals Used in the High-Pressure Hydrogen Infrastructure. Int. J. Hydrogen Energy 2020, 45, 23721–23738. [Google Scholar] [CrossRef]
- Tao, J.H.; Xu, P.; Wang, L. Research Progress on High-Pressure Hydrogen Permeation Characteristics of Key Sealing Materials for Type Hydrogen Storage Cylinders. China Plast. Ind. 2022, 50, 13–17. [Google Scholar] [CrossRef]
- Lee, J.H. Development of In-Situ Hydrogen Permeation Measurement Technology Based on Volumetric and Manometric Analysis of Polymer Specimen under High Pressure Hydrogen Environment. J. Sens. Sens. Syst. 2025, 34, 163–173. [Google Scholar] [CrossRef]
- Yamabe, J.; Koga, A.; Nishimura, S. Failure Behavior of Rubber O-Ring under Cyclic Exposure to High-Pressure Hydrogen Gas. Eng. Fail. Anal. 2013, 35, 193–205. [Google Scholar] [CrossRef]
- Ma, Y.; Wu, X.; Deng, X.; Peng, X.; Meng, X. Mechanical and Diffusion Property and Multi-Objective Optimization of Rubber Seals Exposed to High-Pressure Hydrogen Gas. Sci. Prog. 2024, 107, 1–25. [Google Scholar] [CrossRef]
- Jung, J.K.; Choi, K.S.; Kuang, W.B.; Simmons, K.L.; Baek, B.-H. Determination of Permeation Properties of Hydrogen Gas in Nitrile Butadiene Rubber (NBR), Ethylene Propylene Diene Monomer (EPDM) and Fluoroelastomer (FKM). Sci. Rep. 2021, 11, 2522. [Google Scholar] [CrossRef]
- Zaghdoudi, M.; Koemm-ling, A.; Böhning, M.; Jaunich, M. Ageing of Elastomers in Air and in Hydrogen Environment: A Comparative Study. Int. J. Hydrogen Energy 2024, 63, 207–216. [Google Scholar] [CrossRef]
- Zhou, C.L.; Li, Z.Y.; Zheng, Y.R. Study on Hydrogen-Induced Blister Fracture of Nitrile Butadiene Rubber Seals Servicing in High-Pressure Hydrogen Environments. CIESC J. 2025, in press. [CrossRef]
- Chen, Q.; Peng, W.; Yang, M.; Yao, R.; Hua, Z.; Zheng, J.; Shi, J. Numerical Simulation of Hydrogen Diffusion in Rubber O-Rings Containing a Cavity Defect Based on Thermomechanical Coupling Equivalent Model. Int. J. Hydrogen Energy 2025, 139, 846–853. [Google Scholar] [CrossRef]
- Jung, J.K.; Kim, I.G.; Kim, K.T.; Ryu, K.S.; Chung, K.S. Evaluation Techniques of Hydrogen Permeation in Sealing Rubber Materials. Polym. Test. 2021, 93, 107016. [Google Scholar] [CrossRef]
- Zhu, J.L.; Zhang, J.; Li, Y.X.; Liu, C.W.; Ning, Y.X. Research progress on seal ring and gasket for pure hydrogen/hydrogen-enriched compressed natural gas pipeline. Oil Gas Storage Transp. 2024, 43, 730–739. [Google Scholar] [CrossRef]
- Zhou, C.; Zheng, Y.; Hua, Z.; Mou, W.; Liu, X. Recent Insights into Hydrogen-Induced Blister Fracture of Rubber Sealing Materials: An In-Depth Examination. Polym. Degrad. Stabil. 2024, 224, 110747. [Google Scholar] [CrossRef]
- Ono, H.; Nait-Ali, A.; Diallo, O.K.; Benoit, G.; Castagnet, S. Influence of Pressure Cycling on Damage Evolution in an Unfilled EPDM Exposed to High-Pressure Hydrogen. Int. J. Fract. 2018, 210, 137–152. [Google Scholar] [CrossRef]
- Kuang, W.; Arey, B.W.; Dohnalkova, A.C.; Kovarik, L.; Mills, B.; Menon, N.C.; Seffens, R.J.; Simmons, K.L. Multi-Scale Imaging of High-Pressure Hydrogen Induced Damage in EPDM Rubber Using X-Ray Microcomputed Tomography, Helium-Ion Microscopy and Transmission Electron Microscopy. Int. J. Hydrogen Energy 2023, 48, 8573–8587. [Google Scholar] [CrossRef]
- Zhou, C.L.; Chen, G.H. Simulation Study on Ultra-High Pressure Hydrogen Combined Seal. Chin. J. High Press. Phys. 2023, 37, 77–83. [Google Scholar]
- Kulkarni, S.S.; Choi, K.S.; Kuang, W.B.; Menon, N.; Mills, B.; Soulami, A.; Simmons, K. Damage Evolution in Polymer Due to Pressurization-Depressurization Cycles of Hydrogen Gas; Pacific Northwest National Laboratory: Richland, WA, USA, 2020. [Google Scholar]
- Zheng, S.L.; Zheng, L.N.; Wu, A.Q. Application of rubber fracture mirror zone in scanning electron microscope imaging. Rubber Technol. 2017, 15, 45–47. [Google Scholar]
- Mukhopadhyay, A. SEM study of worn surface morphology of an indigenous ‘EPDM’ rubber. Polym. Test. 2016, 53, 231–237. [Google Scholar] [CrossRef]
- Yasin, S.; Shi, J.; Yihu, S.; Qi, C.; Yang, M.; Peng, W.; Zheng, C.; Li, Y.; Gu, C. Impacts of Deep Eutectic Solvent on Silica/Nitrile Rubber Nanocomposites for High-Pressure Hydrogen Storage Applications. Compos. Commun. 2024, 46, 101820. [Google Scholar] [CrossRef]
- Yasin, S.; Shi, J.; Ye, S.; Yihu, S.; Ullah, A.; Li, G.; Peng, W.; Gu, C. Sustainable Rubber Nanocomposites for Hydrogen Sealings: Impact of Carbon Nano-Onions and Bio-Based Plasticizer. Polym. Degrad. Stab. 2024, 230, 111051. [Google Scholar] [CrossRef]
- Ye, S.; Yasin, S.; Zhi, H.; Song, Y.; Gu, C.; Shi, J. High-Pressure Hydrogen Influence on Cellulose Nanofibers Filled Nitrile Rubber: Performance in Storage Applications. Fibers 2025, 13, 29. [Google Scholar] [CrossRef]
- Yang, M.; Yasin, S.; Chen, Q.; Peng, W.; Lv, Z.; Qi, Z.; Shi, J. Suppressing High Pressure Hydrogen Blistering in NBR via Zn-Based MOF Vulcanization: Microstructural and Mechanical Insights. Int. J. Hydrogen Energy 2025, 181, 151810. [Google Scholar] [CrossRef]
- Yasin, S.; Zhongzhen, W.; Mahmood, A.; Hussain, M.; Yang, L.; Qi, C.; Yang, M.; Ahmad, N.M.; Yihu, S.; Shi, J. Cellulose-Based High-Performance Rubber Micro- or Nano-Composites. In Rubber Based Bionanocomposites: Applications; Visakh, P.M., Ed.; Springer Nature: Cham, Switzerland, 2025; pp. 53–70. ISBN 978-3-031-78557-3. [Google Scholar]
- Yasin, S.; Hussain, M.; Zheng, Q.; Song, Y. Large Amplitude Oscillatory Rheology of Silica and Cellulose Nanocrystals Filled Natural Rubber Compounds. J. Colloid Interface Sci. 2021, 588, 602–610. [Google Scholar] [CrossRef]
- Yasin, S.; Hussain, M.; Zheng, Q.; Song, Y. Effects of Ionic Liquid on Cellulosic Nanofiller Filled Natural Rubber Bionanocomposites. J. Colloid Interface Sci. 2021, 591, 409–417. [Google Scholar] [CrossRef]
- Yasin, S.; Hussain, M.; Zheng, Q.; Song, Y. Thermo-Soil Weathering and Life Cycle Assessment of Carbon Black, Silica and Cellulose Nanocrystal Filled Rubber Nanocomposites. Sci. Total Environ. 2022, 835, 155521. [Google Scholar] [CrossRef]
- Yasin, S.; Hafeez, M.; Hussain, M.; Mahmood, A.; Yihu, S.; Qiang, Z.; Gheewala, S.H.; Li, X.; Li, Y.; Shi, J.; et al. Cellulose Nanocrystal Filled Synthetic Rubber: Sustainable Production, Envi-ronmental Assessment and End-of-Life Biodegradation by Polyphagous Pests. Sustain. Mater.-Als Technol. 2024, 40, e00947. [Google Scholar] [CrossRef]
- Hussain, M.; Yasin, S.; Ali, A.; Li, Z.; Fan, X.; Song, Y.; Zheng, Q.; Wang, W. Synergistic Im-pact of Ionic Liquid on Interfacial Interaction and Viscoelastic Behaviors of Silica Filled Nitrile Butadiene Rubber Nanocomposites. Compos. Part A Appl. Sci. Manuf. 2022, 163, 107202. [Google Scholar] [CrossRef]
- Hussain, M.; Yasin, S.; Uddin, A.; Ashraf, H.T.; Feichao, Z.; Bin, Y.; Zheng, Q.; Song, Y. High-Performance Volatile Organic Compounds Free Silica-Filled Butadiene Rubber Green Nanocomposites Using Ionic Liquid Peroxide Vulcanization. J. Mater. Res. Technol. 2024, 33, 9752–9761. [Google Scholar] [CrossRef]
- Hussain, M.; Yasin, S.; Memon, H.; Li, Z.; Fan, X.; Akram, M.A.; Wang, W.; Song, Y.; Zheng, Q. Rheological and Mechanical Properties of Silica/Nitrile Butadiene Rubber Vulcanizates with Eco-Friendly Ionic Liquid. Polymers 2020, 12, 2763. [Google Scholar] [CrossRef]
- Wang, Z.; Li, Y.; Yasin, S.; Zheng, C.; Hu, P.; Zhang, L.; Shi, J. Preparation and Properties of the Low-Cost Heat-Resistant Rubber Material for Trenchless Rehabilitation of Thermal Pipelines. In Proceedings of the PVP2024, Bellevue, WA, USA, 28 July–2 August 2024; Volume 4: Materials & Fabrication. [Google Scholar]
- Zhi, H.; Yasin, S.; Li, Y.; Zheng, C.; Li, G.; Zhao, J.; Zou, X.; Zhang, L.; Shi, J. Industrial Preparation of High-Temperature Resistant Rubber Pipes for Trenchless Rehabilitation Technology. In Proceedings of the PVP2025, Montreal, QC, Canada, 20–25 July 2025; Volume 5B: Materials & Fabrication. [Google Scholar]
- Yasin, S.; Hussain, M.; Uddin, A.; Zheng, Q.; Shi, J.; Song, Y. Recycling of Binary Polymer (PET/SBR) Carpet into Microfibrillar Composites: A Life Cycle Perspective with Microplastics Quantification. Sustain. Mater. Technol. 2024, 40, e00988. [Google Scholar] [CrossRef]
- Habib, A.K.M.A.; Sakib, A.N.; Mona, Z.T.; Bhuiyan, M.M.H.; Kazempoor, P.; Siddique, Z. Hydrogen-Assisted Aging Applied to Storage and Sealing Materials: A Comprehensive Review. Materials 2023, 16, 6689. [Google Scholar] [CrossRef]
- Ma, Y.; Wu, L.; Li, C.; Meng, X.; Peng, X.; Jiang, J. Thermal-mechanical-diffusion multi-field coupling behavior of rubber seals in high-pressure hydrogen environment. Int. J. Hydrogen Energy 2025, 112, 333–346. [Google Scholar] [CrossRef]
- Ma, Y.; Liu, M.; Meng, X.; Peng, X.; Jiang, J. Transient Sealing Performance of Rubber Seals During High-Pressure Hydrogen Filling Process. Int. J. Hydrogen Energy, 2025, in press. [CrossRef]
- Zhang, J.; Kang, D.; An, P.; Zhang, X.; Zeng, Y. Sealing Performance of 70 MPa Type IV Hydrogen Storage Cylinders Based on Multi-Field Coupling. Int. J. Hydrogen Energy, 2025; to be submitted. [Google Scholar]









| Application Scenario | Working Pressure | Temperature Range | Requirements for Leak Rate and Cycle Count |
|---|---|---|---|
| On-board Hydrogen Storage Tank (Type IV) | 70 MPa | −40~85 °C | Type A1, B1: No leakage for 15-year service life; Type A2, B2: No leakage during regular inspection period |
| Valve for Hydrogen Refueling Station | 70 MPa | −40~85 °C | Leakage rate ≤ 10 cm3/h; Withstand 16,000 cycles |
| Hydrogen Gun Refueling Nozzle | 98 MPa | −40~85 °C | Leakage rate ≤ 20 cm3/h; Withstand 16,000 cycles |
| High-pressure Hydrogen Storage Vessel | 70 MPa | −40~85 °C | Service life: 100,000 cycles (15 years, with regular inspection) |
| Content | Explanation |
|---|---|
| Main Problems | Existing studies have four main limitations: overemphasis on single failure modes (lacking systematic research on multi-mechanism coupling), short-term experimental data (insufficient long-term support), numerical simulations ignoring multi-physics field coupling effects, and inadequate exploration of material design and temperature rise effects. |
| Research Objectives | Study multi-mechanism coupling failure patterns, conduct long-duration and multi-condition tests, develop multi-physics coupling models, create new sealing materials, and optimize design and operating conditions to enhance the reliability of sealing systems in high-pressure hydrogen environments. |
| Expected Outcomes | Systematically analyze the interrelationships between different failure modes, accumulate experimental data and failure evolution patterns in high-pressure hydrogen environment, establish a life prediction model for sealing systems in hydrogen energy equipment, and propose optimization design solutions based on experimental and simulation results. |
Disclaimer/Publisher’s Note: The statements, opinions and data contained in all publications are solely those of the individual author(s) and contributor(s) and not of MDPI and/or the editor(s). MDPI and/or the editor(s) disclaim responsibility for any injury to people or property resulting from any ideas, methods, instructions or products referred to in the content. |
© 2025 by the authors. Licensee MDPI, Basel, Switzerland. This article is an open access article distributed under the terms and conditions of the Creative Commons Attribution (CC BY) license (https://creativecommons.org/licenses/by/4.0/).
Share and Cite
Lv, Z.; Yasin, S.; Shi, J.; Zeng, S. Failure Modes and Influencing Factors of Rubber O-Ring Seals in High-Pressure Hydrogen Environments. Polymers 2025, 17, 3075. https://doi.org/10.3390/polym17223075
Lv Z, Yasin S, Shi J, Zeng S. Failure Modes and Influencing Factors of Rubber O-Ring Seals in High-Pressure Hydrogen Environments. Polymers. 2025; 17(22):3075. https://doi.org/10.3390/polym17223075
Chicago/Turabian StyleLv, Zhenwei, Sohail Yasin, Jianfeng Shi, and Sheng Zeng. 2025. "Failure Modes and Influencing Factors of Rubber O-Ring Seals in High-Pressure Hydrogen Environments" Polymers 17, no. 22: 3075. https://doi.org/10.3390/polym17223075
APA StyleLv, Z., Yasin, S., Shi, J., & Zeng, S. (2025). Failure Modes and Influencing Factors of Rubber O-Ring Seals in High-Pressure Hydrogen Environments. Polymers, 17(22), 3075. https://doi.org/10.3390/polym17223075

