The Influence of Halloysite Clay on the Properties of the Polybutylene Succinate (PBS)/Sawdust, PBS/Sugarcane Bagasse, and PBS/Sawdust/Sugarcane Bagasse Hybrid Composites
Abstract
1. Introduction
2. Materials and Methods
2.1. Materials
2.2. Sample Preparation
2.2.1. Preparation of Sugarcane Bagasse (SB) Fibres
2.2.2. Fabrication of Composites
2.3. Sample Characterization
2.3.1. Microscopic Analysis (Scanning Electron Microscopy—SEM)
2.3.2. Chemical Structures (Fourier Transform Infrared Spectroscopy—FTIR)
2.3.3. Flow Dynamics (Rheology)
2.3.4. Thermal Stability (Thermo-Gravimetric Analysis—TGA)
2.3.5. Differential Scanning Calorimetry (DSC)
2.3.6. Impact Resilience (Charpy Impact Test)
2.3.7. Mechanical: Tensile
3. Results
3.1. Scanning Electron Microscopy
3.2. Rheological Properties of Investigated Samples
3.3. Thermal Stability of Composites and Hybrid Composite
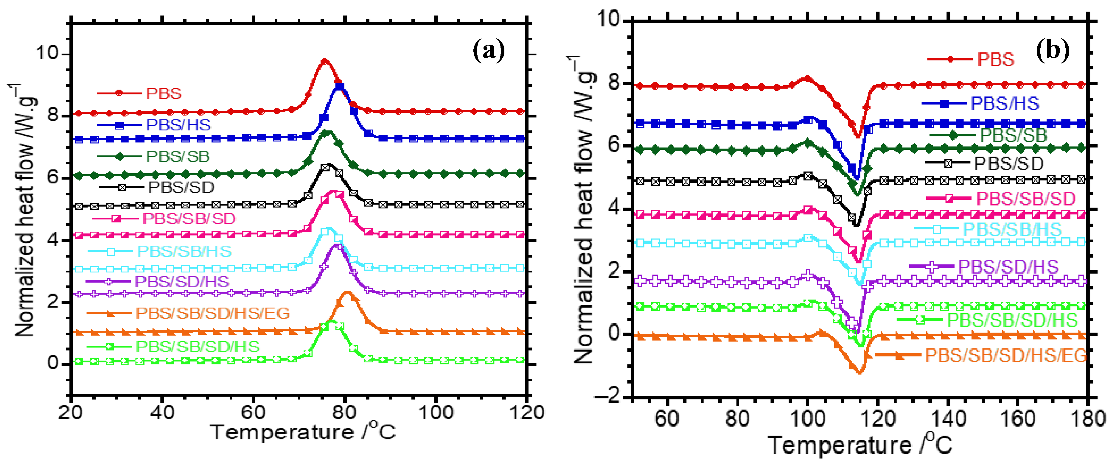
3.4. Differential Scanning Calorimetry
3.5. Dynamic Mechanical Analysis of Composites and Hybrid Composites
3.6. Mechanical Properties of Composites and Hybrid Composites
4. Discussion
5. Conclusions
Author Contributions
Funding
Institutional Review Board Statement
Data Availability Statement
Acknowledgments
Conflicts of Interest
References
- Nanda, S.; Patra, B.R.; Patel, R.; Bakos, J.; Dalai, A.K. Innovations in applications and prospects of bioplastics and biopolymers: A review. Environ. Chem. Lett. 2022, 20, 379–395. [Google Scholar] [CrossRef] [PubMed]
- Samir, A.; Ashour, F.H.; Hakim, A.A.A.; Bassyouni, M. Recent advances in biodegradable polymers for sustainable applications. npj Mater. Degrad. 2022, 6, 68. [Google Scholar] [CrossRef]
- Platnieks, O.; Gaidukovs, S.; Kumar Thakur, V.; Barkane, A.; Beluns, S. Bio-based poly (butylene succinate): Recent progress, challenges and future opportunities. Eur. Polym. J. 2021, 161, 110855. [Google Scholar] [CrossRef]
- Mochane, M.J.; Magagula, S.I.; Sefadi, J.S.; Mokhena, T.C. A review on green composites based on natural fiber-reinforced polybutylene succinate (PBS). Polymers 2021, 13, 1200. [Google Scholar] [CrossRef] [PubMed]
- Aliotta, L.; Seggiani, M.; Lazzeri, A.; Gigante, V.; Cinelli, P. A brief review of poly (butylene succinate) (PBS) and its main copolymers: Synthesis, blends, composites, biodegradability, and applications. Polymers 2022, 14, 844. [Google Scholar] [CrossRef] [PubMed]
- Horiuchi, L.N.; de Melo Barbosa, R.; Azevedo, J.B.; Garcia-Villen, F.; Viseras, C.; Fialho, R.L.L. Eco-friendly composite materials of polybutylene succinate with clay minerals, lignin and canabrava fiber. Appl. Clay Sci. 2024, 262, 107606. [Google Scholar] [CrossRef]
- Nurazzi, N.M.; Asyraf, M.R.M.; Fatimah Athiyah, S.; Shazleen, S.S.; Rafiqah, S.A.; Harussani, M.M.; Kamarudin, S.H.; Razman, M.R.; Rahmah, M.; Zainudin, E.S.; et al. A review on mechanical performance of hybrid natural fiber polymer composites for structural applications. Polymers 2021, 13, 2170. [Google Scholar] [CrossRef] [PubMed]
- Haris, M.; Hassan, M.Z.; Ilyas, R.A.; Suhot, M.A.; Sapuan, S.M.; Dolah, R.; Mohammad, R.; Asyraf, M.R.M. Dynamic mechanical properties of natural fiber reinforced hybrid polymer composites: A review. J. Mater. Res. Technol. 2022, 18, 167–182. [Google Scholar] [CrossRef]
- Kamarudin, S.H.; Mohd Basri, M.S.; Rayung, M.; Abu, F.; Ahmad, S.; Norizan, M.N.; Osman, S.; Sarifuddin, N.; Desa, M.S.Z.M.; Abdullah, U.H.; et al. A review on natural fiber reinforced polymer composites (NRFPC) for sustainable industrial applications. Polymers 2022, 14, 3698. [Google Scholar] [CrossRef] [PubMed]
- Elfaleh, I.; Abbassi, F.; Habibi, M.; Ahmad, F.; Guedri, M.; Nasri, M.; Garnier, C. A comprehensive review of natural fibers and their composites: An eco-friendly alternative to conventional materials. Results Eng. 2023, 19, 101271. [Google Scholar] [CrossRef]
- Theys, L.; Mochane, M.J.; Mofokeng, T.G.; Motloung, M.T.; Motloung, M.P.; Mokhena, T.C. The effect of expandable graphite and montmorillonite (MMT) clay on the morphology, thermal stability, and flammability properties of the maize stalk/PBS bio-composite. J. Thermoplast. Compos. Mater. 2025, 1–21. [Google Scholar] [CrossRef]
- Motloung, M.P.; Mofokeng, T.G.; Bandyopadhyay, J.; Ray, S.S. Properties and soil degradation characteristics of chitin-reinforced poly (butylene succinate)/hydroxyapatite composites. Macromol. Mater. Eng. 2023, 309, 2300293. [Google Scholar] [CrossRef]
- Allaf, R.M.; Futian, M. Solid-state compounding for recycling of sawdust waste into green packaging composites. Processes 2020, 8, 1386. [Google Scholar] [CrossRef]
- Ferede, E. Evaluation of mechanical and water absorption properties of alkaline-treated sawdust-reinforced polypropylene composites. J. Eng. 2020, 2020, 3706176. [Google Scholar] [CrossRef]
- Motaung, T.; Mochane, M.; Makhetha, T.; Motloung, S.; Mokhothu, T.; Mokhena, T.; Moji, R. Effect of mechanical treatment on morphology and thermal and mechanical properties of sugar cane bagasse-low density polyethylene composites. Polym. Compos. 2014, 38, 1497–1503. [Google Scholar] [CrossRef]
- Mahmud, M.A.; Anannya, F.R. Sugarcane bagasse-a source of cellulosic fiber diverse applications. Heliyon 2021, 7, e07771. [Google Scholar] [CrossRef] [PubMed]
- Frollini, E.; Bartolucci, N.; Sisti, L.; Celli, A. Poly (butylene succinate) reinforced with different lignocellulosic fibers. Ind. Crops. Prod. 2013, 45, 160–169. [Google Scholar] [CrossRef]
- Feng, Y.-H.; Li, Y.-J.; Xu, B.-P.; Zhang, D.-W.; Qu, J.-P.; He, H.-Z. Effect of fiber morphology on rheological properties of plant fiber reinforced poly (butylene succinate) composites. Compos. Part B Eng. 2013, 44, 193–199. [Google Scholar] [CrossRef]
- Hongsriphan, N.; Jeensikhong, K.; Sornnuwat, K.; Yaemyen, N. Properties of renewable biocomposite from poly (butylene succinate) and Teakwood sawdust before and after accelerated weathering condition. J. Bionic Eng. 2018, 15, 1075–1086. [Google Scholar] [CrossRef]
- Petchwattana, N.; Sanetuntikul, J.; Sriromreun, P.; Narupai, B. Wood plastic composites prepared from biodegradable poly (butylene succinate) and Burma Padauk sawdust (Pterocarpus macrocarpus): Water absorption kinetics and sunlight exposure investigations. J. Bionic. Eng. 2017, 14, 781–790. [Google Scholar] [CrossRef]
- Priya, E.; Vasanthi, P.; Prabhu, B.; Murugesan, P. Sawdust as a sustainable additive: Comparative insights into its role in concrete and brick applications. Clean. Waste Syst. 2025, 11, 100286. [Google Scholar] [CrossRef]
- Mohlala, L.M.; Bodunrin, M.O.; Awosusi, A.A.; Daramola, M.O.; Cele, N.P.; Olubambi, P.A. Benefifciation of corncob and sugarcane bagasse for energy generation and materials development in Nigeria and South Africa: A short overview. Alex. Eng. J. 2016, 55, 3025–3036. [Google Scholar] [CrossRef]
- Fahimizadeh, M.; Wong, L.W.; Baifa, Z.; Sadjadi, S.; Auckloo, S.A.B.; Palaniandy, K.; Pasbakhsh, P.; Tan, J.B.L.; Raman Singh, R.K.; Yuan, P. Halloysite clay nanotubes: Innovative applications by smart systems. Appl. Clay Sci. 2024, 251, 107319. [Google Scholar] [CrossRef]
- Krishnaiah, P.; Manickam, S.; Ratman, C.T.; Raghu, M.; Parashuram, L.; Prashantha, K.; Jeon, B.-H. Surface-treated short sisal fibers and halloysite nanotubes for synergistically enhanced performance of polypropylene hybrid composites. J. Thermoplast. Compos. Mater. 2022, 35, 2089–2104. [Google Scholar] [CrossRef]
- Hasan, K.S.; Zainuddin, S.; Turner, A.J.; Hosur, M.V.; Jeelani, S. Halloysite infused jute fiber/poly (3-hydroxy-butyrate-co-3valerate) bionanocomposites: Thermal, mechanical and fire retardant properties. J. Compos. Mater. 2022, 56, 4069–4079. [Google Scholar] [CrossRef]
- Wu, H.; Lu, C.; Zhang, W.; Zhang, X. Preparation of low-density polyethylene/low-temperature expandable graphite composites with high thermal conductivity by an in situ expansion melt blending process. Mater. Des. 2013, 52, 621–629. [Google Scholar] [CrossRef]
- Has, M.; Erdem, A.; Savas, L.A.; Tayfun, U.; Dogan, M. The influence of expandable graphite on the thermal, flame retardant and mechanical characteristics of short carbon fiber reinforced polyamide composites. J. Therm. Compos. Mater. 2023, 36, 2777–2788. [Google Scholar] [CrossRef]
- Jalalah, M.; Khaliq, Z.; Ali, Z.; Ahmad, A.; Qadir, M.B.; Afzal, A.; Ashraf, U.; Faisal, M.; Alsaiari, M.; Irfan, M.; et al. Preliminary studies on conversion of sugarcane bagasse into sustainable fibers for apparel textiles. Sustainability 2022, 14, 16450. [Google Scholar] [CrossRef]
- Chimenez, T.A.; Gehlen, M.H.; Marabezi, K.; Curvelo, A.A.S. Characterization of sugarcane bagasse by autofluorescence microscopy. Cellulose 2013, 21, 653–664. [Google Scholar] [CrossRef]
- Rezende, C.; de Lima, M.; Mazsiero, P.; deAzevedo, E.; Garcia, W.; Polikarpov, I. Chemical and morphological characterization of sugarcane bagasse submitted to a delignification process for enhanced enzymatic digestibility. Biotechnol. Biofuels 2011, 4, 54. [Google Scholar] [CrossRef] [PubMed]
- Pokharel, A.; Falua, K.J.; Babaei-Ghazvini, A.; Acharya, B. Biobased polymer composites: A review. J. Compos. Sci. 2022, 6, 255. [Google Scholar] [CrossRef]
- Huang, Z.; Wang, N.; Zhang, Y.; Hu, H.; Luo, Y. Effect of mechanical activation pretreatment on the properties of sugarcane bagasse/poly(vinyl chloride) composites. Compos. Part A Appl. Sci. Manuf. 2012, 43, 114–120. [Google Scholar] [CrossRef]
- DeBruijn, G.; Whitton, S.M. Fluids. In Applied Well Cementing Engineering; Elsevier eBooks: Amsterdam, The Netherlands, 2021; pp. 163–251. [Google Scholar]
- Fakhruddin, K.; Hassan, R.; Khan, M.U.A.; Allisha, S.N.; Razak, S.I.A.; Zreaqat, M.H.; Latip, H.F.M.; Jamaludin, M.N.; Hassan, A. Halloysite nanotubes and halloysite-based composites for biomedical applications. Arab. J. Chem. 2021, 14, 103294. [Google Scholar] [CrossRef]
- Martynková, G.S. Preparation and mechanical properties of polymeric nanocomposites with hydroxyapatite and hydroxyapatite/clay mineral fillers—Review. Nanotechnol. Nanomed. Nanobiotechnol. 2015, 2, 1–8. [Google Scholar] [CrossRef] [PubMed]
- Sukur, E.F.; Elimsa, S.; Eskizeybek, V.; Avci, A. Damage tolerance of basalt fiber reinforced multiscale composites: Effect of nanoparticle morphology and hygrothermal aging. Compos. Part B Eng. 2024, 273, 111234. [Google Scholar] [CrossRef]
- Jasinski, E.; Bounor-Legaré, V.; Taguet, A.; Beyou, E. Influence of halloysite nanotubes onto the fire properties of polymer-based composites: A review. Polym. Degrad. Stab. 2020, 183, 109407. [Google Scholar] [CrossRef]
- Choi, I.S.; Kim, Y.K.; Hong, S.H.; Seo, H.-J.; Hwang, S.-H.; Kim, J.; Lim, S.K. Effects of polybutylene succinate content on the rheological properties of polylactic acid/polybutylene succinate blends and the characteristics of their fibers. Materials 2024, 17, 662. [Google Scholar] [CrossRef] [PubMed]
- Guchait, A.; Saxena, A.; Chattopadhyay, S.; Mondal, T. Influence of nanofillers on adhesion properties of polymeric composites. ACS Omega 2022, 7, 3844–3859. [Google Scholar] [CrossRef] [PubMed]
- Phua, Y.J.; Chow, W.S.; Mohd Ishak, Z.A. Reactive processing of maleic anhydride-grafted poly(butylene succinate) and the compatibilizing effect on poly(butylene succinate) nanocomposites. Express Polym. Lett. 2013, 7, 340–354. [Google Scholar] [CrossRef]
- Hiller, B.T.; Azzi, J.L.; Rennert, M. Improvement of the thermo-oxidative stability of biobased poly(butylene succinate) (PBS) using biogenic wine by-products as sustainable functional fillers. Polymers 2023, 15, 2533. [Google Scholar] [CrossRef] [PubMed]
- Xia, W.; Xu, T. Thermal characteristics, kinetic models, and volatile constituents during the energy conversion of bituminous SARA fractions in air. ACS Omega 2020, 5, 20831–20841. [Google Scholar] [CrossRef] [PubMed]
- Paolin, E.; Matija, S. Volatile organic compounds (VOCs) in heritage environments and their analysis: A review. Appl. Sci. 2024, 14, 4620. [Google Scholar] [CrossRef]
- Massaro, M.; Noto, R.; Riela, S. Halloysite nanotubes: Smart nanomaterials in catalysis. Catalysts 2022, 12, 149. [Google Scholar] [CrossRef]
- Yeoh, G.H.; Miguel, I.; Wang, W.; Wang, C.; Chun, A.; Bo, T.; Vargas, J.B.; Mao, G.; Garbe, U.; Chua, H.T. Carbon-based flame retardants for polymers: A bottom-up review. Adv. Mater. 2024, 36, 2403835. [Google Scholar] [CrossRef] [PubMed]
- Righetti, M.C.; Di Lorenzo, M.L.; Cavallo, D.; Müller, A.J.; Gazzano, M. Structural evolution of poly (butylene succinate) crystals on heating with the formation of a dual lamellar population, as monitored by temperature-dependent WAXS/SAXS analysis. Polymer 2023, 268, 125711. [Google Scholar] [CrossRef]
- Mngomezulu, M.E.; Luyt, A.S.; John, M.J. Morphology, thermal and dynamic mechanical properties of poly (lactic acid)/expandable graphite (PLA/EG) flame retardant composites. J. Thermoplast. Compos. Mater. 2019, 32, 89–107. [Google Scholar] [CrossRef]
- Marset, D.; Fages, E.; Gonga, E.; Ivorra-Martinez, J.; Sánchez-Nacher, L.; Quiles-Carrillo, L. Development and characterization of high environmentally friendly composites of bio-based polyamide 1010 with enhanced fire retardancy properties by expandable graphite. Polymers 2022, 14, 1843. [Google Scholar] [CrossRef] [PubMed]









| Samples | Percentages (wt.%) |
|---|---|
| PBS | 100 |
| PBS/HS | 97/3 |
| PBS/SD | 90/10 |
| PBS/SB | 90/10 |
| PBS/SB/SD | 90/5/5 |
| PBS/SB/HS | 87.3/9.7/3 |
| PBS/SD/HS | 87.3/9.7/3 |
| PBS/SB/SD/HS | 87.3/4.85/4.85/3 |
| PBS/SB/SD/HS/EG | 87.3/4.85/4.85/1.5/1.5 |
| Samples | T5%/℃ | T50%/℃ |
|---|---|---|
| PBS | 356.7 | 400 |
| PBS/SB | 329.4 | 395 |
| PBS/SD | 338.1 | 396.1 |
| PBS/HS | 348.6 | 394.4 |
| PBS/SB/HS | 336.7 | 396.7 |
| PBS/SD/HS | 337.8 | 396.7 |
| PBS/SB/SD | 337.5 | 395 |
| PBS/SB/SD/HS | 341.1 | 395.6 |
| PBS/SB/SD/HS/EG | 340.0 | 395.6 |
| Sample | Tc (°C) | Tm (°C) | ΔHm (J/g) |
|---|---|---|---|
| PBS | 75.7 | 114.4 | 71.4 |
| PBS/SB | 76.6 | 114.2 | 63.5 |
| PBS/SD | 76.6 | 114.0 | 60.6 |
| PBS/HS | 78.9 | 114.1 | 65.6 |
| PBS/SB/HS | 76.5 | 115.0 | 57.2 |
| PBS/SD/HS | 78.2 | 114.0 | 64.0 |
| PBS/SB/SD | 77.6 | 114.5 | 63.1 |
| PBS/SB/SD/HS | 77.2 | 115.2 | 56.6 |
| PBS/SB/SD/HS/EG | 80.6 | 115.0 | 48.3 |
Disclaimer/Publisher’s Note: The statements, opinions and data contained in all publications are solely those of the individual author(s) and contributor(s) and not of MDPI and/or the editor(s). MDPI and/or the editor(s) disclaim responsibility for any injury to people or property resulting from any ideas, methods, instructions or products referred to in the content. |
© 2025 by the authors. Licensee MDPI, Basel, Switzerland. This article is an open access article distributed under the terms and conditions of the Creative Commons Attribution (CC BY) license (https://creativecommons.org/licenses/by/4.0/).
Share and Cite
Sikhosana, T.S.; Malebo, N.J.; Motloung, M.P.; Mofokeng, T.G.; Mochane, M.J. The Influence of Halloysite Clay on the Properties of the Polybutylene Succinate (PBS)/Sawdust, PBS/Sugarcane Bagasse, and PBS/Sawdust/Sugarcane Bagasse Hybrid Composites. Polymers 2025, 17, 2120. https://doi.org/10.3390/polym17152120
Sikhosana TS, Malebo NJ, Motloung MP, Mofokeng TG, Mochane MJ. The Influence of Halloysite Clay on the Properties of the Polybutylene Succinate (PBS)/Sawdust, PBS/Sugarcane Bagasse, and PBS/Sawdust/Sugarcane Bagasse Hybrid Composites. Polymers. 2025; 17(15):2120. https://doi.org/10.3390/polym17152120
Chicago/Turabian StyleSikhosana, Tlholohelo Sylvia, Ntsoaki Joyce Malebo, Mpho Phillip Motloung, Tladi Gideon Mofokeng, and Mokgaotsa Jonas Mochane. 2025. "The Influence of Halloysite Clay on the Properties of the Polybutylene Succinate (PBS)/Sawdust, PBS/Sugarcane Bagasse, and PBS/Sawdust/Sugarcane Bagasse Hybrid Composites" Polymers 17, no. 15: 2120. https://doi.org/10.3390/polym17152120
APA StyleSikhosana, T. S., Malebo, N. J., Motloung, M. P., Mofokeng, T. G., & Mochane, M. J. (2025). The Influence of Halloysite Clay on the Properties of the Polybutylene Succinate (PBS)/Sawdust, PBS/Sugarcane Bagasse, and PBS/Sawdust/Sugarcane Bagasse Hybrid Composites. Polymers, 17(15), 2120. https://doi.org/10.3390/polym17152120

