Synergy Between Low-Cost Chitosan and Polyaluminum Chloride (PAC) Improves the Flocculation Process for River Water Treatment
Abstract
1. Introduction
2. Materials and Methods
2.1. Materials
2.2. Flocculation Experiments
2.3. Water Quality and Floc Exploration
2.4. In Silico Docking Studies
2.5. Bacterial Culture
2.6. Statistical Analyses
3. Results and Discussion
3.1. Monitoring of River Water Quality
3.2. Removal of Turbidity and Color from River Water Samples
3.3. Study of Floc Formation Using Optimal Dosage
3.4. Flocculation Trials with Samples of Different Turbidity and Color Values Using CH56 + PAC
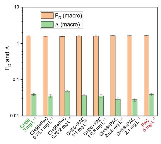
3.5. Fractal Dimension (FD) and Lacunarity as Indicators of the Quality of the Floc
3.6. Flocculation Tests Adding Contaminants to River Samples
3.7. Removal of Bacteria from River Samples
3.8. Understanding the Synergistic Effect and Chitosan–PAC Interactions
4. Conclusions
Supplementary Materials
Author Contributions
Funding
Institutional Review Board Statement
Data Availability Statement
Acknowledgments
Conflicts of Interest
References
- Crini, G.; Lichtfouse, E. Advantages and Disadvantages of Techniques Used for Wastewater Treatment. Environ. Chem. Lett. 2019, 17, 145–155. [Google Scholar] [CrossRef]
- Renault, F.; Sancey, B.; Badot, P.-M.; Crini, G. Chitosan for Coagulation/Flocculation Processes – An Eco-Friendly Approach. Eur. Polym. J. 2009, 45, 1337–1348. [Google Scholar] [CrossRef]
- Lee, C.S.; Robinson, J.; Chong, M.F. A Review on Application of Flocculants in Wastewater Treatment. Process Saf. Environ. Prot. 2014, 92, 489–508. [Google Scholar] [CrossRef]
- JAPAC Plantas Potabilizadoras. Available online: https://japac.gob.mx/infraestructura/plantas-potabilizadoras/ (accessed on 20 February 2024).
- Nharingo, T.; Moyo, M. Application of Opuntia Ficus-Indica in Bioremediation of Wastewaters. A Critical Review. J. Environ. Manage. 2016, 166, 55–72. [Google Scholar] [CrossRef]
- Bratby, J. Coagulation and Flocculation in Water and Wastewater Treatment; IWA Publishing: London, UK, 2016; Volume 15. [Google Scholar]
- Wei, H.; Gao, B.; Ren, J.; Li, A.; Yang, H. Coagulation/Flocculation in Dewatering of Sludge: A Review. Water Res. 2018, 143, 608–631. [Google Scholar] [CrossRef]
- De-Paz-Arroyo, G.; Picos-Corrales, L.A.; Pérez-Sicairos, S.; Licea-Claverie, A. Flocculants Based on Responsive Polymers and Chitosan for Removal of Metallic Nanoparticles as Contaminants of Emerging Concern Present in Water. Colloids Surfaces A Physicochem. Eng. Asp. 2023, 675, 132045. [Google Scholar] [CrossRef]
- Chen, F.; Liu, W.; Pan, Z.; Wang, Y.; Guo, X.; Sun, S.; Jia, R. Characteristics and Mechanism of Chitosan in Flocculation for Water Coagulation in the Yellow River Diversion Reservoir. J. Water Process Eng. 2020, 34, 101191. [Google Scholar] [CrossRef]
- Ruelas-Leyva, J.P.; Contreras-Andrade, I.; Sarmiento-Sánchez, J.I.; Licea-Claveríe, A.; Jiménez-Lam, S.A.; Cristerna-Madrigal, Y.G.; Picos-Corrales, L.A. The Effectiveness of Moringa Oleifera Seed Flour and Chitosan as Coagulant-Flocculants for Water Treatment. CLEAN-Soil Air Water 2017, 45, 1600339. [Google Scholar] [CrossRef]
- Lichtfouse, E.; Morin-Crini, N.; Fourmentin, M.; Zemmouri, H.; do Carmo Nascimento, I.O.; Queiroz, L.M.; Tadza, M.Y.M.; Picos-Corrales, L.A.; Pei, H.; Wilson, L.D.; et al. Chitosan for Direct Bioflocculation of Wastewater. Environ. Chem. Lett. 2019, 17, 1603–1621. [Google Scholar] [CrossRef]
- Vajihinejad, V.; Gumfekar, S.P.; Bazoubandi, B.; Rostami Najafabadi, Z.; Soares, J.B.P. Water Soluble Polymer Flocculants: Synthesis, Characterization, and Performance Assessment. Macromol. Mater. Eng. 2019, 304, 1800526. [Google Scholar] [CrossRef]
- Crini, G. Chitin and Chitosan: Discoveries and Applications for Sustainability, 1st ed.; Elsevier: London, UK, 2022; ISBN 9780323961196. [Google Scholar]
- Salehizadeh, H.; Yan, N.; Farnood, R. Recent Advances in Polysaccharide Bio-Based Flocculants. Biotechnol. Adv. 2018, 36, 92–119. [Google Scholar] [CrossRef] [PubMed]
- Vidal, R.R.L.; Moraes, J.S. Removal of Organic Pollutants from Wastewater Using Chitosan: A Literature Review. Int. J. Environ. Sci. Technol. 2019, 16, 1741–1754. [Google Scholar] [CrossRef]
- Bhalkaran, S.; Wilson, L. Investigation of Self-Assembly Processes for Chitosan-Based Coagulant-Flocculant Systems: A Mini-Review. Int. J. Mol. Sci. 2016, 17, 1662. [Google Scholar] [CrossRef] [PubMed]
- Picos-Corrales, L.A.; Morales-Burgos, A.M.; Ruelas-Leyva, J.P.; Crini, G.; García-Armenta, E.; Jimenez-Lam, S.A.; Ayón-Reyna, L.E.; Rocha-Alonzo, F.; Calderón-Zamora, L.; Osuna-Martínez, U.; et al. Chitosan as an Outstanding Polysaccharide Improving Health-Commodities of Humans and Environmental Protection. Polymers 2023, 15, 526. [Google Scholar] [CrossRef] [PubMed]
- Zhang, Z.; Jing, R.; He, S.; Qian, J.; Zhang, K.; Ma, G.; Chang, X.; Zhang, M.; Li, Y. Coagulation of Low Temperature and Low Turbidity Water: Adjusting Basicity of Polyaluminum Chloride (PAC) and Using Chitosan as Coagulant Aid. Sep. Purif. Technol. 2018, 206, 131–139. [Google Scholar] [CrossRef]
- Chang, M.; Ma, X.; Dong, X.; Fan, Y.; Chen, R. The Synergistic Effects of Al3+ and Chitosan on the Solid–Liquid Separation of Coal Wastewater and Their Mechanism of Action. Polymers 2022, 14, 3970. [Google Scholar] [CrossRef]
- Santos Nunes, G.; Sammarro Silva, K.J.; Souza Freitas, B.L.; Belini, V.L.; Sabogal-Paz, L.P. In-Situ Microscopy Investigation of Floc Development during Coagulation-Flocculation with Chemical and Natural Coagulants. Sep. Sci. Technol. 2022, 57, 2312–2322. [Google Scholar] [CrossRef]
- Nakaya, Y.; Jia, J.; Satoh, H. Tracing Morphological Characteristics of Activated Sludge Flocs by Using a Digital Microscope and Their Effects on Sludge Dewatering and Settling. Environ. Technol. 2023, 45, 4042–4052. [Google Scholar] [CrossRef]
- Yang, R.; Li, H.; Huang, M.; Yang, H.; Li, A. A Review on Chitosan-Based Flocculants and Their Applications in Water Treatment. Water Res. 2016, 95, 59–89. [Google Scholar] [CrossRef]
- Saiyad, M.; Shah, N.; Joshipura, M.; Dwivedi, A.; Pillai, S. Chitosan and Its Derivatives in Wastewater Treatment Application. Mater. Today Proc. 2023, 99, 190–194. [Google Scholar] [CrossRef]
- García-Armenta, E.; Gutiérrez-López, G.F. Fractal Microstructure of Foods. Food Eng. Rev. 2022, 14, 1–19. [Google Scholar] [CrossRef]
- García-Armenta, E.; Picos-Corrales, L.A.; Gutiérrez-López, G.F.; Gutiérrez-Dorado, R.; Perales-Sánchez, J.X.K.; García-Pinilla, S.; Reynoso-García, F.; Martínez-Audelo, J.M.; Armenta-Manjarrez, M.A. Preparation of Surfactant-Free Emulsions Using Amaranth Starch Modified by Reactive Extrusion. Colloids Surfaces A Physicochem. Eng. Asp. 2021, 608, 125550. [Google Scholar] [CrossRef]
- Picos-Corrales, L.A.; Gündoğdu, S. Editorial: Pollution and Environmental Water Quality of River and Streams. Front. Water. 2024, 6, 1441071. [Google Scholar] [CrossRef]
- Bouma-Gregson, K.; Power, M.E.; Bormans, M. Rise and Fall of Toxic Benthic Freshwater Cyanobacteria (Anabaena Spp.) in the Eel River: Buoyancy and Dispersal. Harmful Algae 2017, 66, 79–87. [Google Scholar] [CrossRef]
- Sharma, B.K. First Report of Freshwater Rotifers (Rotifera: Eurotatoria) from South Andaman, India: Composition and Interesting Elements. J. Asia-Pacific Biodivers. 2017, 10, 261–266. [Google Scholar] [CrossRef]
- Drachko, D.; Shɨshkin, Y.; Zlatogursky, V.V. Phenotypic Masquerade: Polymorphism in the Life Cycle of the Centrohelid Heliozoan Raphidiophrys Heterophryoidea (Haptista: Centroplasthelida). Eur. J. Protistol. 2020, 73, 125686. [Google Scholar] [CrossRef]
- Kužat, N.; Marić Pfannkuchen, D.; Smodlaka Tanković, M.; Baričević, A.; Ivančić, I.; Vrana, I.; Gašparović, B.; Pfannkuchen, M. Morpho-Physiological Adaptations of Leptocylindrus Aporus and L. Hargravesii to Phosphate Limitation in the Northern Adriatic. Sci. Rep. 2022, 12, 2687. [Google Scholar] [CrossRef] [PubMed]
- Nanjappa, D.; Sanges, R.; Ferrante, M.I.; Zingone, A. Diatom Flagellar Genes and Their Expression during Sexual Reproduction in Leptocylindrus Danicus. BMC Genomics 2017, 18, 813. [Google Scholar] [CrossRef]
- Souffreau, C.; Verbruggen, H.; Wolfe, A.P.; Vanormelingen, P.; Siver, P.A.; Cox, E.J.; Mann, D.G.; Vijver, B.V.d.; Sabbe, K.; Vyverman, W. A Time-Calibrated Multi-Gene Phylogeny of the Diatom Genus Pinnularia. Mol. Phylogenet. Evol. 2011, 61, 866–879. [Google Scholar] [CrossRef]
- Sakai, M.; Kawakami, M.; Amada, K. Evaluation of the Water Quality of the Hakata River Based on Diatoms. J. Environ. Sci. 2013, 25, S132–S135. [Google Scholar] [CrossRef]
- Arumugham, S.; Joseph, S.J.P.; Gopinath, P.M.; Nooruddin, T.; Subramani, N. Diversity and Ecology of Freshwater Diatoms as Pollution Indicators from the Freshwater Ponds of Kanyakumari District, Tamilnadu. Energy Nexus 2023, 9, 100164. [Google Scholar] [CrossRef]
- Skibbe, O.; Abarca, N.; Forrest, F.; Werner, P. Exploring Diatom Diversity through Cultures—A Case Study from the Bow River, Canada. J. Limnol. 2022, 81, 2095. [Google Scholar] [CrossRef]
- Jiang, X.; Chen, X.; Pang, W.; Wang, Q. Phylogeny of Trachelomonas and Strombomonas (Euglenaceae) Based on Morphological and Molecular Data. Diversity 2022, 14, 623. [Google Scholar] [CrossRef]
- Sarkar, D.J.; Das Sarkar, S.; Das, B.K.; Praharaj, J.K.; Mahajan, D.K.; Purokait, B.; Mohanty, T.R.; Mohanty, D.; Gogoi, P.; Kumar V, S.; et al. Microplastics Removal Efficiency of Drinking Water Treatment Plant with Pulse Clarifier. J. Hazard. Mater. 2021, 413, 125347. [Google Scholar] [CrossRef] [PubMed]
- NOM-127-SSA1-2021; Agua Para Uso y Consumo Humano. Límites Permisibles de La Calidad Del Agua. Ministry of Health—Official Journal of the Federation: Mexico City, Mexico, 2021.
- Saxena, K.; Brighu, U. Comparison of Floc Properties of Coagulation Systems: Effect of Particle Concentration, Scale and Mode of Flocculation. J. Environ. Chem. Eng. 2020, 8, 104311. [Google Scholar] [CrossRef]
- Lv, M.; Li, D.; Zhang, Z.; Logan, B.E.; Peter van der Hoek, J.; Sun, M.; Chen, F.; Feng, Y. Magnetic Seeding Coagulation: Effect of Al Species and Magnetic Particles on Coagulation Efficiency, Residual Al, and Floc Properties. Chemosphere 2021, 268, 129363. [Google Scholar] [CrossRef] [PubMed]
- Wang, Z.; Peng, S.; Nan, J.; He, C.; Qi, F.; Ji, X.; Li, W.; Sun, D. Effect of Al Species of Polyaluminum Chlorides on Floc Breakage and Re-Growth Process: Dynamic Evolution of Floc Properties, Dissolved Organic Matter and Dissolved Al. Chemosphere 2020, 249, 126449. [Google Scholar] [CrossRef]
- Fan, Y.; Ma, X.; Dong, X.; Feng, Z.; Dong, Y. Characterisation of Floc Size, Effective Density and Sedimentation under Various Flocculation Mechanisms. Water Sci. Technol. 2020, 82, 1261–1271. [Google Scholar] [CrossRef]
- Moruzzi, R.B.; Bridgeman, J.; Silva, P.A.G. A Combined Experimental and Numerical Approach to the Assessment of Floc Settling Velocity Using Fractal Geometry. Water Sci. Technol. 2020, 81, 915–924. [Google Scholar] [CrossRef]
- García-Armenta, E.; Téllez-Medina, D.I.; Alamilla-Beltrán, L.; Hernández-Sánchez, H.; Gutiérrez-López, G.F. Morphometric Analysis of Transverse Surface of Fractured Maltodextrin Agglomerates. Int. J. Food Prop. 2016, 19, 2451–2462. [Google Scholar] [CrossRef]
- Du, P.; Li, X.; Yang, Y.; Su, Z.; Li, H.; Wang, N.; Guo, T.; Zhang, T.; Zhou, Z. Optimized Coagulation Pretreatment Alleviates Ultrafiltration Membrane Fouling: The Role of Floc Properties and Slow-Mixing Speed on Mechanisms of Chitosan-Assisted Coagulation. J. Environ. Sci. 2019, 82, 82–92. [Google Scholar] [CrossRef] [PubMed]
- Wimalaweera, I.P.; Wei, Y.; Ritigala, T.; Wang, Y.; Zhong, H.; Weerasooriya, R.; Jinadasa, S.; Weragoda, S. Enhanced Pretreatment of Natural Rubber Industrial Wastewater Using Magnetic Seed Coagulation with Ca(OH)2. Water 2024, 16, 847. [Google Scholar] [CrossRef]
- Picos-Corrales, L.A.; Garcia-Carrasco, M.; Licea-Claverie, A.; Chavez-Santoscoy, R.A.; Serna-Saldívar, S.O. NIPAAm-Containing Amphiphilic Block Copolymers with Tailored LCST: Aggregation Behavior, Cytotoxicity and Evaluation as Carriers of Indomethacin, Tetracycline and Doxorubicin. J. Macromol. Sci. Part A 2019, 56, 759–772. [Google Scholar] [CrossRef]
- Zhao, R.; Ma, T.; Zhao, S.; Rong, H.; Tian, Y.; Zhu, G. Uniform and Stable Immobilization of Metal-Organic Frameworks into Chitosan Matrix for Enhanced Tetracycline Removal from Water. Chem. Eng. J. 2020, 382, 122893. [Google Scholar] [CrossRef]
- Awan, M.M.A.; Malkoske, T.; Almuhtaram, H.; Andrews, R.C. Microplastic Removal in Batch and Dynamic Coagulation-Flocculation-Sedimentation Systems Is Controlled by Floc Size. Sci. Total Environ. 2024, 909, 168631. [Google Scholar] [CrossRef]
- Liu, X.; Hu, Y.; Yang, C.; Su, J.; Ye, Y.; Shen, R. Recovering Copper Ions from Wastewater with Chitosan to Synthesize Lead-Free Primary Explosives. J. Alloys Compd. 2022, 914, 165252. [Google Scholar] [CrossRef]
- Shafi, Q.I.; Ihsan, H.; Hao, Y.; Wu, X.; Ullah, N.; Younas, M.; He, B.; Rezakazemi, M. Multi-Ionic Electrolytes and E.Coli Removal from Wastewater Using Chitosan-Based in-Situ Mediated Thin Film Composite Nanofiltration Membrane. J. Environ. Manage. 2021, 294, 112996. [Google Scholar] [CrossRef]
- Rehn, G.; Grey, C.; Branneby, C.; Adlercreutz, P. Chitosan Flocculation: An Effective Method for Immobilization of E. Coli for Biocatalytic Processes. J. Biotechnol. 2013, 165, 138–144. [Google Scholar] [CrossRef]
- Li, J.; Zhuang, S. Antibacterial Activity of Chitosan and Its Derivatives and Their Interaction Mechanism with Bacteria: Current State and Perspectives. Eur. Polym. J. 2020, 138, 109984. [Google Scholar] [CrossRef]
- Karyab, H.; Ghasemi, M.; Ghotbinia, F.; Nazeri, N. Efficiency of Chitosan Nanoparticle with Polyaluminum Chloride in Dye Removal from Aqueous Solutions: Optimization through Response Surface Methodology (RSM) and Central Composite Design (CCD). Int. J. Biol. Macromol. 2023, 249, 125977. [Google Scholar] [CrossRef]
- Fernandes Queiroz, M.; Melo, K.; Sabry, D.; Sassaki, G.; Rocha, H. Does the Use of Chitosan Contribute to Oxalate Kidney Stone Formation? Mar. Drugs 2014, 13, 141–158. [Google Scholar] [CrossRef]
- Menezes, J.E.S.A.; Santos, H.S.d.; Ferreira, M.K.A.; Magalhães, F.E.A.; da Silva, D.S.; Bandeira, P.N.; Saraiva, G.D.; Pessoa, O.D.L.; Ricardo, N.M.P.S.; Cruz, B.G.; et al. Preparation, Structural and Spectroscopic Characterization of Chitosan Membranes Containing Allantoin. J. Mol. Struct. 2020, 1199, 126968. [Google Scholar] [CrossRef]
- Zhou, F.; Hu, B.; Cui, B.; Liu, F.; Liu, F.; Wang, W.; Liu, Y.; Lu, R.; Hu, Y.-M.; Zhang, Y.; et al. Preparation and Characteristics of Polyaluminium Chloride by Utilizing Fluorine-Containing Waste Acidic Mother Liquid from Clay-Brine Synthetic Cryolite Process. J. Chem. 2014, 2014, 274126. [Google Scholar] [CrossRef]
- Chen, W.; Li, B.; Li, Q.; Tian, J. Effect of Polyaluminum Chloride on the Properties and Hydration of Slag-Cement Paste. Constr. Build. Mater. 2016, 124, 1019–1027. [Google Scholar] [CrossRef]
- He, J.; Wang, W.; Ni, F.; Tian, D.; Yang, G.; Lei, Y.; Shen, F.; Zou, J.; Huang, M. A Novel Hydrophobic Chitosan-Polyaluminum Chloride Composite Flocculant for Effectively Simultaneous Removal of Microplastic and Antibiotics Composite Pollution. Sep. Purif. Technol. 2024, 337, 126420. [Google Scholar] [CrossRef]
- El Foulani, A.-A.; Jamal-eddine, J.; Lekhlif, B. Study of Aluminium Speciation in the Coagulant Composite of Polyaluminium Chloride-Chitosan for the Optimization of Drinking Water Treatment. Process Saf. Environ. Prot. 2022, 158, 400–408. [Google Scholar] [CrossRef]
- Liu, C.; Crini, G.; Lichtfouse, E.; Wilson, L.D.; Picos-Corrales, L.A.; Balasubramanian, P.; Li, F. Chitosan-Based Materials for Emerging Contaminants Removal: Bibliometric Analysis, Research Progress, and Directions. J. Water Process Eng. 2025, 71, 107327. [Google Scholar] [CrossRef]










| Tamazula River CH56 + PAC 0.75:2 mg L−1 | 18 NTU; 190 PCU | 29 NTU; 292 PCU | 40 NTU; 338 PCU | 56 NTU; 531 PCU | 77 NTU; 736 PCU |
|---|---|---|---|---|---|
| Residual turbidity | 3.5 | 2.0 | 3.2 | 4.4 | 6.0 |
| Turbidity removal | 80.6 | 93.1 | 92 | 92.1 | 92.2 |
| Residual Color | 32 | 39 | 49 | 65 | 91 |
| Color removal | 83.2 | 86.7 | 85.5 | 87.8 | 87.6 |
| Humaya River CH56 + PAC 0.75:1 mg L−1 | 9 NTU; 81 PCU | 27 NTU; 263 PCU | 41 NTU; 405 PCU | 53 NTU; 501 PCU | 87 NTU; 803 PCU |
| Residual turbidity | 1.2 | 2.8 | 4.2 | 4.6 | 6.9 |
| Turbidity removal | 86.7 | 89.6 | 89.9 | 91.5 | 92.1 |
| Residual Color | 11.0 | 38.3 | 63 | 70.7 | 96.3 |
| Color removal | 86.4 | 85.4 | 84.6 | 86.0 | 88.0 |
| System | E. coli | Total Coliforms |
|---|---|---|
| Average Colony Number (CFU mL−1) | ||
| Raw water | 4 ± 3 | 42 ± 10 |
| PAC | 0 | 3 ± 0.6 |
| CH56 | 0 | 3 ± 2 |
| CH56 + PAC | 0 | 7 ± 4 |
Disclaimer/Publisher’s Note: The statements, opinions and data contained in all publications are solely those of the individual author(s) and contributor(s) and not of MDPI and/or the editor(s). MDPI and/or the editor(s) disclaim responsibility for any injury to people or property resulting from any ideas, methods, instructions or products referred to in the content. |
© 2025 by the authors. Licensee MDPI, Basel, Switzerland. This article is an open access article distributed under the terms and conditions of the Creative Commons Attribution (CC BY) license (https://creativecommons.org/licenses/by/4.0/).
Share and Cite
De-Paz-Arroyo, G.; Torres-Iribe, A.M.; Picos-Corrales, L.A.; Licea-Claverie, A.; Crini, G.; García-Armenta, E.; Félix-Alcalá, D.V. Synergy Between Low-Cost Chitosan and Polyaluminum Chloride (PAC) Improves the Flocculation Process for River Water Treatment. Polymers 2025, 17, 1822. https://doi.org/10.3390/polym17131822
De-Paz-Arroyo G, Torres-Iribe AM, Picos-Corrales LA, Licea-Claverie A, Crini G, García-Armenta E, Félix-Alcalá DV. Synergy Between Low-Cost Chitosan and Polyaluminum Chloride (PAC) Improves the Flocculation Process for River Water Treatment. Polymers. 2025; 17(13):1822. https://doi.org/10.3390/polym17131822
Chicago/Turabian StyleDe-Paz-Arroyo, Gonzalo, Andrea M. Torres-Iribe, Lorenzo A. Picos-Corrales, Angel Licea-Claverie, Grégorio Crini, Evangelina García-Armenta, and Diana V. Félix-Alcalá. 2025. "Synergy Between Low-Cost Chitosan and Polyaluminum Chloride (PAC) Improves the Flocculation Process for River Water Treatment" Polymers 17, no. 13: 1822. https://doi.org/10.3390/polym17131822
APA StyleDe-Paz-Arroyo, G., Torres-Iribe, A. M., Picos-Corrales, L. A., Licea-Claverie, A., Crini, G., García-Armenta, E., & Félix-Alcalá, D. V. (2025). Synergy Between Low-Cost Chitosan and Polyaluminum Chloride (PAC) Improves the Flocculation Process for River Water Treatment. Polymers, 17(13), 1822. https://doi.org/10.3390/polym17131822

