A Co-Blended and Compounded Photosensitive Resin with Improved Mechanical Properties and Thermal Stability for Nail Polish Application
Abstract
1. Introduction
2. Experiment Section
2.1. Materials
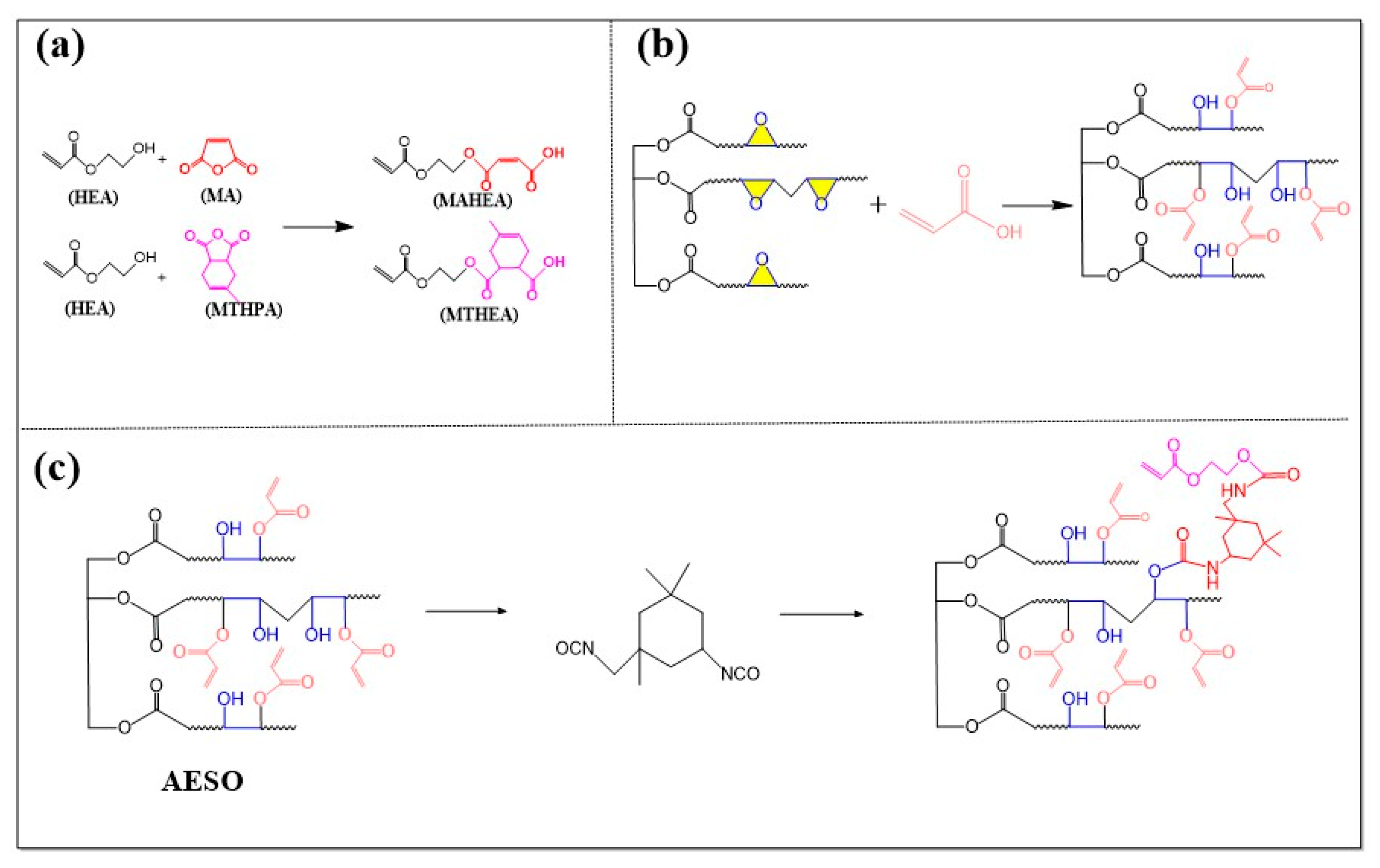
2.2. Synthesis of Anhydride Derivatives
2.3. Preparation of Soybean Oil-Based Acrylates (AESO) and Polyurethane Acrylate (IPM)
2.4. Construction of Soybean Oil-Based UV-Cured Coating Films
2.5. Characterization
3. Results and Discussion
3.1. Synthesis and Characterization of Anhydride Derivatives and Resins
3.2. Viscosity Analysis of MATEO and AESO Resins
3.3. Mechanical Properties of MATEO and AESO Cured Films
3.4. Thermogravimetric Assessment of MATEO and AESO Cured Films
3.5. Dynamic Thermomechanical Study of MATEO and AESO Cured Films
3.6. Adhesion and Gloss Evaluation of MATEO and AESO Cured Films
3.7. Gelation Rate, Solvent Resistance and Acid/Alkali Resistance of MATEO and AESO Cured Films
3.8. Acid Value and Rheological Viscosity Testing of IPM Resins
3.9. Mechanical Property Investigation of IPM Cured Films
3.10. Thermogravimetric and Dynamic Thermomechanical Analysis of IPM Cured Films
3.11. Comprehensive Performance Analysis of IPM-Based Cured Films
4. Conclusions
Author Contributions
Funding
Institutional Review Board Statement
Data Availability Statement
Acknowledgments
Conflicts of Interest
References
- Ozeren Ozgul, E.; Ozkul, M.H. Effects of epoxy, hardener, and diluent types on the workability of epoxy mixtures. Constr. Build. Mater. 2018, 158, 369–377. [Google Scholar] [CrossRef]
- Kury, M.; Ehrmann, K.; Harakály, G.A.; Gorsche, C.; Liska, R. Low volatile monofunctional reactive diluents for radiation curable formulations. J. Polym. Sci. 2021, 59, 2154–2169. [Google Scholar] [CrossRef]
- Rengasamy, S.; Mannari, V. Development of soy-based UV-curable acrylate oligomers and study of their film properties. Prog. Org. Coat. 2013, 76, 78–85. [Google Scholar] [CrossRef]
- Porcarello, M.; Mendes-Felipe, C.; Lanceros-Mendez, S.; Sangermano, M. Design of acrylated epoxidized soybean oil biobased photo-curable formulations for 3D printing. Sustain. Mater. Technol. 2024, 40, e00927. [Google Scholar] [CrossRef]
- Zhou, M.; Hu, Y.; Zhou, X.; Wen, Q.; Ye, C.; Ye, Z.; Li, P.; Yang, S.; Yang, Z. A solvent-free and scalable method to prepare alkali soluble soybean oil-based epoxy acrylic resin for photoresist application. Ind. Crops Prod. 2023, 191, 115877. [Google Scholar] [CrossRef]
- Melendez-Zamudio, M.; Donahue-Boyle, E.; Chen, Y.; Brook, M.A. Acrylated soybean oil: A key intermediate for more sustainable elastomeric materials from silicones. Green Chem. 2023, 25, 280–287. [Google Scholar] [CrossRef]
- Zhou, M.; Liu, J.; Lu, P.; Huang, Y.; Xiao, Y.; Zhang, J.; Hu, Y.; Yang, Z. Polyfunctional phytic acid-based reactive diluent for UV-curable coating with improved flame-retardant performance and toughness. Ind. Crops Prod. 2023, 204, 117368. [Google Scholar] [CrossRef]
- Liu, C.; Dai, Y.; Hu, Y.; Shang, Q.; Feng, G.; Zhou, J.; Zhou, Y. Highly Functional Unsaturated Ester Macromonomer Derived from Soybean Oil: Synthesis and Copolymerization with Styrene. ACS Sustain. Chem. Eng. 2016, 4, 4208–4216. [Google Scholar] [CrossRef]
- Mandal, M.; Nath, D.; Maji, T.K. Wood polymer nanocomposites from functionalized soybean oil and nanoclay. Wood Sci. Technol. 2018, 52, 1621–1643. [Google Scholar] [CrossRef]
- Patil, C.K.; Jirimali, H.D.; Paradeshi, J.S.; Chaudhari, B.L.; Alagi, P.K.; Mahulikar, P.P.; Hong, S.C.; Gite, V.V. Chemical transformation of renewable algae oil to polyetheramide polyols for polyurethane coatings. Prog. Org. Coat. 2021, 151, 106084. [Google Scholar] [CrossRef]
- Miao, H.; Cheng, L.; Shi, W. Fluorinated hyperbranched polyester acrylate used as an additive for UV curing coatings. Prog. Org. Coat. 2009, 65, 71–76. [Google Scholar] [CrossRef]
- Kumari, S.; Nigam, D.; Nigam, I. Synthesis and characterization of alkali modified styrene-maleic anhydride copolymer (SMA) for dispersion of carbon black. Int. J. Plast. Technol. 2012, 15, 112–132. [Google Scholar] [CrossRef]
- Faggio, N.; Marotta, A.; Ambrogi, V.; Cerruti, P.; Gentile, G. Fully bio-based furan/maleic anhydride epoxy resin with enhanced adhesive properties. J. Mater. Sci. 2023, 58, 7195–7208. [Google Scholar] [CrossRef]
- Olivares-Carrillo, P.; Quesada-Medina, J. Thermal decomposition of fatty acid chains during the supercritical methanol transesterification of soybean oil to biodiesel. J. Supercrit. Fluids 2012, 72, 52–58. [Google Scholar] [CrossRef]
- Gao, X.; Jiang, P.; Zhang, Z.; Li, Z.; Li, Y.; Leng, Y.; Zhang, P. Synthesis of bismaleate pentaerythritol ester and its application as PVC auxiliary heat stabilizer. J. Appl. Polym. Sci. 2021, 139, 51820. [Google Scholar] [CrossRef]
- Lan, Y.; Xie, Z.; Wang, T.; Lu, J.; Li, P.; Jiang, J. Characterization of Cross-Linking in Guar Gum Hydrogels via the Analysis of Thermal Decomposition Behavior and Water Uptake Kinetics. Sustainability 2023, 15, 9778. [Google Scholar] [CrossRef]
- Tomaszewska, J.; Sterzynski, T.; Wozniak-Braszak, A.; Banaszak, M. Review of Recent Developments of Glass Transition in PVC Nanocomposites. Polymers 2021, 13, 4336. [Google Scholar] [CrossRef] [PubMed]
- Liu, Q.; Zhang, X.; Zhou, W.; Ma, R.; Du, A.; Fan, Y.; Zhao, X.; Cao, X. Improved anti-corrosion behaviour of an inorganic passive film on hot-dip galvanised steel by modified graphene oxide incorporation. Corros. Sci. 2020, 174, 108846. [Google Scholar] [CrossRef]
- Yu, J.; Shang, Q.; Zhang, M.; Hu, L.; Jia, P.; Zhou, Y. Tung oil-based waterborne UV-curable coatings via cellulose nanofibril stabilized Pickering emulsions for self-healing and anticorrosion application. Int. J. Biol. Macromol. 2024, 256, 128114. [Google Scholar] [CrossRef]
- Badía, A.; Barandiaran, M.J.; Leiza, J.R. Biobased Alkali Soluble Resins promoting supramolecular interactions in sustainable waterborne Pressure-Sensitive Adhesives: High performance and removability. Eur. Polym. J. 2021, 144, 110244. [Google Scholar] [CrossRef]
- Liu, W.; Xie, T.; Qiu, R. Improvement of properties for biobased composites from modified soybean oil and hemp fibers: Dual role of diisocyanate. Compos. Part A Appl. Sci. Manuf. 2016, 90, 278–285. [Google Scholar] [CrossRef]
- Bao, C.; Zhang, X.; Yu, P.; Li, Q.; Qin, Y.; Xin, Z. Facile fabrication of degradable polyurethane thermosets with high mechanical strength and toughness via the cross-linking of triple boron–urethane bonds. J. Mater. Chem. A 2021, 9, 22410–22417. [Google Scholar] [CrossRef]










| Resin | AESO (wt%) | MAHEA (wt%) | MTHEA (wt%) | Ac (mg KOH·g−1) |
|---|---|---|---|---|
| MATEO-1 | 50 | 25 | 25 | 118.62 |
| MATEO-2 | 50 | 16 | 34 | 123.49 |
| MATEO-3 | 50 | 12 | 38 | 121.24 |
| Resin | Viscosity (Pa·S) | Stress (MPa) | Strain (%) |
|---|---|---|---|
| MATEO-1 | 8.36 | 32.09 | 31.98 |
| MATEO-2 | 9.67 | 35.36 | 44.32 |
| MATEO-3 | 8.31 | 18.51 | 67.80 |
| AESO | 13.48 | 7.21 | 27.05 |
| Film | Tg (°C) | E′25 (MPa) | E′Tg+30 °C (MPa) | Ve (mol·m−3) | T10% (°C) | T50% (°C) | Wchar (%) |
|---|---|---|---|---|---|---|---|
| MATEO-1 | 35.3 | 381.41 | 26.85 | 3180.67 | 192.62 | 389.42 | 3.02 |
| MATEO-2 | 40.5 | 593.82 | 27.24 | 3178.04 | 208.21 | 208.21 | 4.80 |
| MATEO-3 | 38.1 | 479.43 | 22.61 | 2254.02 | 203.24 | 388.04 | 2.77 |
| AESO | 28.0 | 151.14 | 39.75 | 4812.62 | 328.37 | 389.17 | 3.09 |
| Film | GC | Glossiness | Adhesion | Acid Resistance | Alkali Resistance | Solvent Resistance (%) | ||
|---|---|---|---|---|---|---|---|---|
| (%) | (%) | (MPa) | Toluene | Ethanol | Water | |||
| MATEO-1 | 91.04 | 126.9 | 0.40 | Unchanged | Dissolved | 95.44 | 97.79 | 99.62 |
| MATEO-2 | 97.44 | 133.1 | 1.03 | Unchanged | Dissolved | 90.34 | 93.53 | 94.67 |
| MATEO-3 | 88.75 | 118.5 | 0.70 | Unchanged | Dissolved | 99.61 | 93.07 | 95.45 |
| AESO | 95.79 | 122.3 | 0.28 | Unchanged | Unchanged | 99.57 | 95.95 | 99.01 |
| IPM-2 | 91.10 | 68 | 0.6 | Unchanged | Dissolved | 98.64 | 95.36 | 94.94 |
| IPM-3 | 93.58 | 114.90 | 0.86 | Unchanged | Dissolved | 99.82 | 97.51 | 97.83 |
| IPM-5 | 97.64 | 112.60 | 0.81 | Unchanged | Dissolved | 97.97 | 99.84 | 99.14 |
| Resin | AESO-IPDI | IPDI Usage (%) | MAHEA (wt%) | MTHEA (wt%) | Acid Value (mg KOH·g−1) |
|---|---|---|---|---|---|
| IPM-2 | 50 | 2% | 16 | 34 | 115.50 |
| IPM-3 | 50 | 3% | 16 | 34 | 111.70 |
| IPM-5 | 50 | 5% | 16 | 34 | 112.50 |
| Film | Tg (°C) | E′25 (MPa) | E′Tg+30 °C (MPa) | Ve (mol·m−3) | T10% (°C) | T50% (°C) | Wchar (%) | Stress (MPa) | Strain (%) |
|---|---|---|---|---|---|---|---|---|---|
| IPM-2 | 43.70 | 658.99 | 23.04 | 2663.24 | 217.42 | 386.42 | 2.44 | 22.89 | 320 |
| IPM-3 | 55.40 | 1378.28 | 24.75 | 2767.54 | 212.67 | 386.17 | 2.52 | 20.81 | 252 |
| IPM-5 | 60.00 | 1284.84 | 24.56 | 2606.99 | 217.57 | 389.57 | 4.14 | 21.77 | 216 |
Disclaimer/Publisher’s Note: The statements, opinions and data contained in all publications are solely those of the individual author(s) and contributor(s) and not of MDPI and/or the editor(s). MDPI and/or the editor(s) disclaim responsibility for any injury to people or property resulting from any ideas, methods, instructions or products referred to in the content. |
© 2024 by the authors. Licensee MDPI, Basel, Switzerland. This article is an open access article distributed under the terms and conditions of the Creative Commons Attribution (CC BY) license (https://creativecommons.org/licenses/by/4.0/).
Share and Cite
Chen, Z.; Wang, S.; Feng, S.; Huang, Y.; Hu, Y.; Yang, Z. A Co-Blended and Compounded Photosensitive Resin with Improved Mechanical Properties and Thermal Stability for Nail Polish Application. Polymers 2025, 17, 40. https://doi.org/10.3390/polym17010040
Chen Z, Wang S, Feng S, Huang Y, Hu Y, Yang Z. A Co-Blended and Compounded Photosensitive Resin with Improved Mechanical Properties and Thermal Stability for Nail Polish Application. Polymers. 2025; 17(1):40. https://doi.org/10.3390/polym17010040
Chicago/Turabian StyleChen, Zhihong, Shengsen Wang, Shengyue Feng, Yingzi Huang, Yang Hu, and Zhuohong Yang. 2025. "A Co-Blended and Compounded Photosensitive Resin with Improved Mechanical Properties and Thermal Stability for Nail Polish Application" Polymers 17, no. 1: 40. https://doi.org/10.3390/polym17010040
APA StyleChen, Z., Wang, S., Feng, S., Huang, Y., Hu, Y., & Yang, Z. (2025). A Co-Blended and Compounded Photosensitive Resin with Improved Mechanical Properties and Thermal Stability for Nail Polish Application. Polymers, 17(1), 40. https://doi.org/10.3390/polym17010040

