Control of Dielectric, Mechanical, and Thermal Properties of a Polymer Composite Based on ABS Using CoB Nanoparticles
Abstract
1. Introduction
2. Materials and Methods
2.1. Materials
2.2. Synthetic Procedures
2.3. Composite Materials Production
2.3.1. Injection Molding
2.3.2. D Printing of Mechanical Test Samples
2.4. Methods
2.4.1. DSC
2.4.2. TG-DTG
2.4.3. Fourier-Transform Infrared Spectroscopy
2.4.4. DMA
2.4.5. Nanoparticle Tracing Analyzer
2.4.6. Powder X-Ray Diffraction
2.4.7. Microscopy
2.4.8. Magnetic Properties
2.4.9. Dielectric Measurements
3. Results
3.1. [PEG/CoB-NP] Nanocomposite
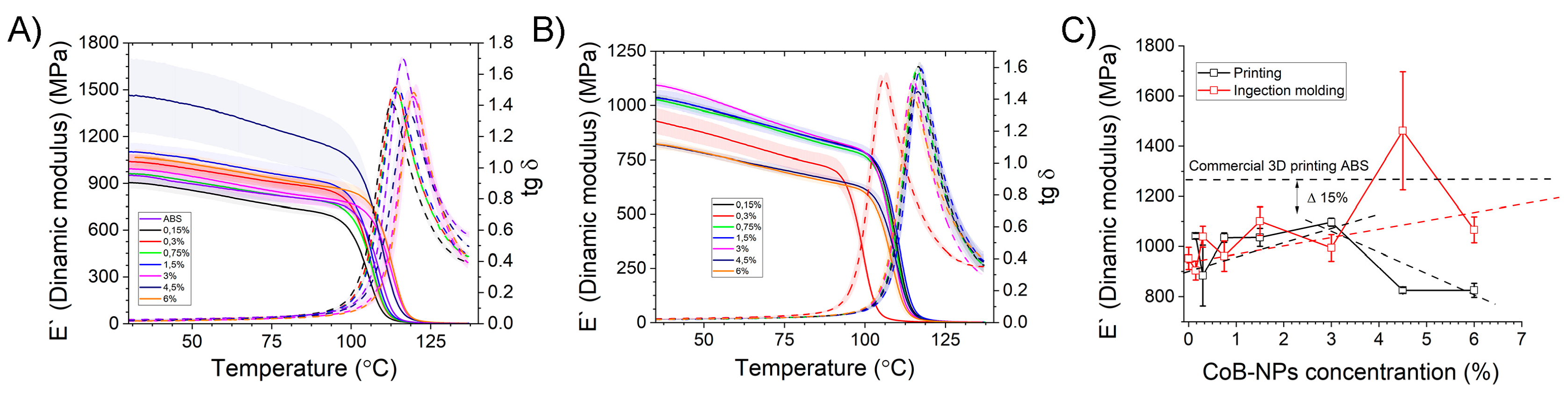
3.2. ABS/[PEG/CoB-NP] Composite
3.3. Magnetic and Dielectric Properties ABS/[PEG/CoB-NP] Composite
4. Conclusions
Supplementary Materials
Author Contributions
Funding
Institutional Review Board Statement
Data Availability Statement
Acknowledgments
Conflicts of Interest
Correction Statement
References
- Feng, B.; Zhang, Y.; Zen, N.; Huang, Y.; Su, H.; Sun, Y.; Zhang, L.; Huang, W. A mechanically robust and highly stretchable cross-linked dual-ionic conductive elastomer. Chem. Eng. J. 2023, 474, 145497. [Google Scholar] [CrossRef]
- Hoffman, A.S. Stimuli-responsive polymers: Biomedical applications and challenges for clinical translation. Adv. Drug Deliv. Rev. 2013, 65, 10–16. [Google Scholar] [CrossRef] [PubMed]
- Pourhajrezaei, S.; Abbas, Z.; Khalili, M.A.; Madineh, H.; Jooya, H.; Babaeizad, A.; Gross, J.D.; Samadi, A. Bioactive polymers: A comprehensive review on bone grafting biomaterials. Int. J. Biol. Macromol. 2024, 278, 134615. [Google Scholar] [CrossRef] [PubMed]
- Zhang, C.; Li, Y.; Kang, W.; Liu, X.; Wang, Q. Current advances and future perspectives of additive manufacturing for functional polymeric materials and devices. SusMat 2021, 1, 127–147. [Google Scholar] [CrossRef]
- Ramakrishnan, T.; Kumar, S.S.; Chelladurai, S.J.S.; Gnanasekaran, S.; Sivananthan, S.; Geetha, N.K.; Arthanari, R.; Assefa, G.B. Recent Developments in Stimuli Responsive Smart Materials and Applications: An Overview. J. Nanomater. 2022, 2022, 4031059. [Google Scholar] [CrossRef]
- Long, S.; Zhu, J.; Jing, Y.; He, S.; Cheng, L.; Shi, Z. A Comprehensive Review of Surface Modification Techniques for Enhancing the Biocompatibility of 3D-Printed Titanium Implants. Coatings 2023, 13, 1917. [Google Scholar] [CrossRef]
- Ren, N.; Zhu, X. Hybrid Polymerization of Ring-Opening Metathesis and Cross-Metathesis for Polyolefins with Tunable Architectures. Macromolecules 2018, 51, 9555–9561. [Google Scholar] [CrossRef]
- Blosch, S.E.; Alaboalirat, M.; Eades, C.B.; Scannelli, S.J.; Matson, J.B. Solvent Effects in Grafting-through Ring-Opening Metathesis Polymerization. Macromolecules 2022, 55, 3522–3532. [Google Scholar] [CrossRef]
- Liao, Z.; Zoumhani, O.; Boutry, C.M. Recent Advances in Magnetic Polymer Composites for BioMEMS: A Review. Materials 2023, 16, 3802. [Google Scholar] [CrossRef]
- Lu, Q.; Choi, K.; Nam, J.-D.; Choi, H.J. Magnetic Polymer Composite Particles: Design and Magnetorheology. Polymers 2021, 13, 512. [Google Scholar] [CrossRef]
- Perera, A.S.; Zhang, S.; Homer-Vanniasinkam, S.; Coppens, M.-O.; Edirisinghe, M. Polymer–Magnetic Composite Fibers for Remote-Controlled Drug Release. ACS Appl. Mater. Interfaces 2018, 10, 15524–15531. [Google Scholar] [CrossRef] [PubMed]
- Sayyar, Z.; Hosseini, Z.; Beheshtizadeh, N. Developing curcumin loaded-magnetic montmorillonite nanoparticles/polyvinyl alcohol/hyaluronic acid/chitosan nanofiber mats as a wound dressing. J. Drug Deliv. Sci. Technol. 2024, 93, 105408. [Google Scholar] [CrossRef]
- Li, Q.; Lu, Z.; Liu, X. Focusing and rotating magnetic nanoparticle clusters for fast ablation of thrombus. J. Mater. Sci. 2023, 58, 8022–8033. [Google Scholar] [CrossRef]
- Lomova, M.V.; Sukhorukov, G.B. Chapter 13—Composite magnetic/polymer delivery systems for medical applications. In Magnetic Materials and Technologies for Medical Applications; Tishin, A.M., Ed.; Woodhead Publishing: Sawston, UK, 2022; pp. 425–436. [Google Scholar]
- Krishnan, R.R.; Chandran, S.R.; Johnson, E.; Hariharan, P.K. Biomedical Applications of Dendrimer Functionalized Magnetic Nanoparticles. ChemistrySelect 2022, 7, e202201401. [Google Scholar] [CrossRef]
- Kutyreva, M.P.; Vagapova, A.I.; Maksimov, A.F.; Khannanov, A.A.; Ignatyeva, K.A.; Kiiamov, A.G.; Cherosov, M.A.; Emelianov, D.A.; Kutyrev, G.A. Hybrid Nanostructures of Hyperbranched Polyester Loaded with Gd(III) and Dy(III) Ions. ACS Appl. Polym. Mater. 2024, 6, 1662–1673. [Google Scholar] [CrossRef]
- Jabbari, P.; Mahdavinia, G.R.; Rezaei, P.F.; Heragh, B.K.; Labib, P.; Jafari, H.; Javanshir, S. pH-responsive magnetic biocompatible chitosan-based nanocomposite carrier for ciprofloxacin release. Int. J. Biol. Macromol. 2023, 250, 126228. [Google Scholar] [CrossRef]
- Solodov, A.N.; Shayimova, J.; Balkaev, D.; Nizamutdinov, A.S.; Zimin, K.; Kiiamov, A.G.; Amirov, R.R.; Dimiev, A.M. High-throughput, low-cost and “green” production method for highly stable polypropylene/perovskite composites, applicable in 3D printing. Addit. Manuf. 2022, 59, 103094. [Google Scholar] [CrossRef]
- Kania, A.; Berent, K.; Mazur, T.; Sikora, M. 3D printed composites with uniform distribution of Fe3O4 nanoparticles and magnetic shape anisotropy. Addit. Manuf. 2021, 46, 102149. [Google Scholar] [CrossRef]
- Safaee, S.; Otero, A.; Fei, M.; Liu, T.; Zhang, J.; Chen, R.K. Particle-resin systems for additive manufacturing of rigid and elastic magnetic polymeric composites. Addit. Manuf. 2022, 51, 102587. [Google Scholar] [CrossRef]
- Song, H.; Lee, H.; Lee, J.; Choe, J.K.; Lee, S.; Yi, J.Y.; Park, S.; Yoo, J.-W.; Kwon, M.S.; Kim, J. Reprogrammable Ferromagnetic Domains for Reconfigurable Soft Magnetic Actuators. Nano Lett. 2020, 20, 5185–5192. [Google Scholar] [CrossRef]
- Zieschang, A.-M.; Bocarsly, J.D.; Schuch, J.; Reichel, C.V.; Kaiser, B.; Jaegermann, W.; Seshadri, R.; Albert, B. Magnetic and Electrocatalytic Properties of Nanoscale Cobalt Boride, Co3B. Inorg. Chem. 2019, 58, 16609–16617. [Google Scholar] [CrossRef] [PubMed]
- Ouma, L.; Ofomaja, A. Probing the interaction effects of metal ions in MnxFe(3−x)O4 on arsenite oxidation and adsorption. RSC Adv. 2020, 10, 2812–2822. [Google Scholar] [CrossRef] [PubMed]
- Wu, Z.; Zhang, H.G.; Pan, W.J.; Zhang, Y.D.; Huang, J.H.; Yue, M.; Skokov, K.P.; Gutfleisch, O. New design of La(Fe, Co, Si)13 magnetocaloric composites using Gd as a binder. J. Mater. Res. Technol. 2024, 28, 980–988. [Google Scholar] [CrossRef]
- Costa, B.; Carvalho, J.; Gavinho, S.; Vieira, T.; Silva, J.C.; Soares, P.I.P.; Valente, M.A.; Soreto, S.; Graça, M. Preparation and Characterization of Zinc Ferrite and Gadolinium Iron Garnet Composite for Biomagnetic Applications. Materials 2024, 17, 2949. [Google Scholar] [CrossRef]
- Tang, X.; Li, J.; Sepehri-Amin, H.; Bolyachkin, A.; Martin-Cid, A.; Kobayashi, S.; Kotani, Y.; Suzuki, M.; Terasawa, A.; Gohda, Y.; et al. Unveiling the origin of the large coercivity in (Nd, Dy)-Fe-B sintered magnets. NPG Asia Mater. 2023, 15, 50. [Google Scholar] [CrossRef]
- Kang, L.; Yang, W.; Zhao, L.; Cui, C.; Cao, F. Study on the Microstructure and Magnetic Properties of Nd-Fe-B/Fe-Co Composite Nanowires. Materials 2023, 16, 5541. [Google Scholar] [CrossRef]
- Kartal, L. Cobalt boride (Co2B) particle synthesis by one-step carbothermic reduction. Hitite J. Sci. Eng. 2023, 10, 229–235. [Google Scholar] [CrossRef]
- Slapnik, J.; Pulko, I.; Rudolf, R.; Anžel, I.; Brunčko, M. Fused filament fabrication of Nd-Fe-B bonded magnets: Comparison of PA12 and TPU matrices. Addit. Manuf. 2021, 38, 101745. [Google Scholar] [CrossRef]
- Burmatova, A.; Khannanov, A.; Gerasimov, A.; Ignateva, K.; Khaldeeva, E.; Gorovaia, A.; Kiiamov, A.; Evtugyn, V.; Kutyreva, M. A Hyperbranched Polyol Process for Designing and Manufacturing Nontoxic Cobalt Nanocomposite. Polymers 2023, 15, 3248. [Google Scholar] [CrossRef]
- Khannanov, A.A.; Rossova, A.A.; Ignatyeva, K.A.; Ulakhovich, N.A.; Gerasimov, A.V.; Boldyrev, A.E.; Evtugyn, V.G.; Rogov, A.M.; Cherosov, M.A.; Gilmutdinov, I.F.; et al. Superparamagnetic cobalt nanoparticles in hyperbranched polyester polyol matrix with anti-protease activity. J. Magn. Magn. Mater. 2022, 547, 168808. [Google Scholar] [CrossRef]
- Burmatova, A.; Khannanov, A.; Zubaidullina, L.; Emelianov, D.; Mostovaya, O.; Stoikov, I.; Ulakhovich, N.; Kutyreva, M. Towards controlling the morphology of cobalt loaded nanocomposites in polyol process with polyethylene glycol. Chim. Techno Acta 2023, 10, 202310413. [Google Scholar] [CrossRef]
- Malloy, A.; Hole, P.; Carr, B. NanoParticle Tracking Analysis; The Halo System. MRS Online Proc. Libr. 2007, 952, 204. [Google Scholar] [CrossRef]
- Malloy, A.; Carr, B. NanoParticle Tracking Analysis—The Halo™ System. Part. Part. Syst. Charact. 2006, 23, 197–204. [Google Scholar] [CrossRef]
- Kiiamov, A.G.; Ivanova, A.G.; Solodov, A.N.; Cherosov, M.A.; Tayurskii, D.A.; Khannanov, A. Determination of the Size of Complex Iron Oxide Nanoparticles Using Various Physical Experimental Methods. Coatings 2023, 13, 1589. [Google Scholar] [CrossRef]







| Sample | MFI, cm3 × 10 min−1 | MFR, g × 10 min−1 |
|---|---|---|
| Native ABS | 12.00 | 12.60 |
| ABS ESUN | 19.55 | 20.53 |
| ABS + 0.15% [PEG/CoB-NP] | 12.47 | 13.09 |
| ABS + 0.3% [PEG/CoB-NP] | 13.12 | 13.78 |
| ABS + 0.75% [PEG/CoB-NP] | 13.64 | 14.32 |
| ABS + 1.5% [PEG/CoB-NP] | 22.32 | 24.48 |
| ABS + 3% [PEG/CoB-NP] | 18.12 | 19.02 |
| ABS + 4.5% [PEG/CoB-NP] | 20.44 | 21.46 |
| ABS + 6% [PEG/CoB-NP] | 19.57 | 20.55 |
Disclaimer/Publisher’s Note: The statements, opinions and data contained in all publications are solely those of the individual author(s) and contributor(s) and not of MDPI and/or the editor(s). MDPI and/or the editor(s) disclaim responsibility for any injury to people or property resulting from any ideas, methods, instructions or products referred to in the content. |
© 2024 by the authors. Licensee MDPI, Basel, Switzerland. This article is an open access article distributed under the terms and conditions of the Creative Commons Attribution (CC BY) license (https://creativecommons.org/licenses/by/4.0/).
Share and Cite
Khannanov, A.; Burmatova, A.; Balkaev, D.; Rossova, A.; Zimin, K.; Kiiamov, A.; Cherosov, M.; Lounev, I.; Kutyreva, M. Control of Dielectric, Mechanical, and Thermal Properties of a Polymer Composite Based on ABS Using CoB Nanoparticles. Polymers 2025, 17, 38. https://doi.org/10.3390/polym17010038
Khannanov A, Burmatova A, Balkaev D, Rossova A, Zimin K, Kiiamov A, Cherosov M, Lounev I, Kutyreva M. Control of Dielectric, Mechanical, and Thermal Properties of a Polymer Composite Based on ABS Using CoB Nanoparticles. Polymers. 2025; 17(1):38. https://doi.org/10.3390/polym17010038
Chicago/Turabian StyleKhannanov, Artur, Anastasia Burmatova, Dinar Balkaev, Anastasia Rossova, Konstantin Zimin, Airat Kiiamov, Mikhail Cherosov, Ivan Lounev, and Marianna Kutyreva. 2025. "Control of Dielectric, Mechanical, and Thermal Properties of a Polymer Composite Based on ABS Using CoB Nanoparticles" Polymers 17, no. 1: 38. https://doi.org/10.3390/polym17010038
APA StyleKhannanov, A., Burmatova, A., Balkaev, D., Rossova, A., Zimin, K., Kiiamov, A., Cherosov, M., Lounev, I., & Kutyreva, M. (2025). Control of Dielectric, Mechanical, and Thermal Properties of a Polymer Composite Based on ABS Using CoB Nanoparticles. Polymers, 17(1), 38. https://doi.org/10.3390/polym17010038

