Flame-Retardant Thermoplastic Polyether Ester/Aluminum Butylmethylphosphinate/Phenolphthalein Composites with Enhanced Mechanical Properties and Antidripping
Abstract
1. Introduction
2. Experimental Section
2.1. Materials
2.2. Sample Preparation
2.3. Measurements
3. Results and Discussion
3.1. Characterization of AiBMP
3.2. Combustion Characteristics: LOI, UL94, and MCC
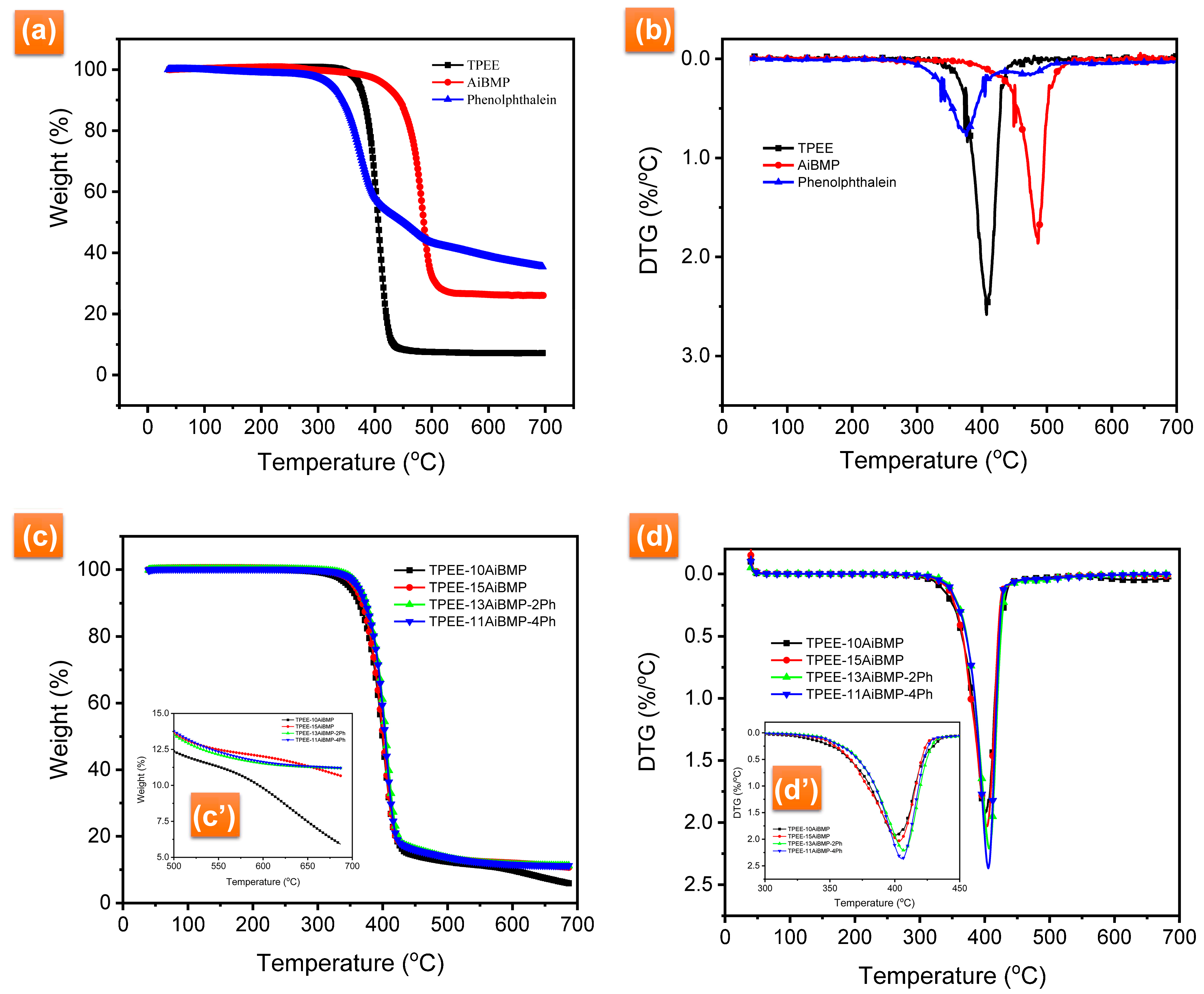
3.3. Thermal Decomposition Behaviors
3.4. Residue Characterization
3.5. Mechanical Properties
4. Conclusions
Author Contributions
Funding
Institutional Review Board Statement
Data Availability Statement
Acknowledgments
Conflicts of Interest
References
- Drobny, J.G. Thermoplastic Polyether Ester Elastomers. In Handbook of Thermoplastic Elastomers, 2nd ed.; William Andrew Pub.: Norwich, NY, USA, 2014; pp. 271–286. [Google Scholar]
- Liu, C.; Zhang, L.; Mu, L.; Zuo, D.; Wang, Y.; Wu, W. Synergistic Effects between a Triazine-Based Charring Agent and Aluminum Phosphinate on the Intumescent Flame Retardance of Thermoplastic Polyether Ester. J. Macromol. Sci. Part A 2019, 56, 723–732. [Google Scholar] [CrossRef]
- Wang, Z.; Wu, W.; Zhang, W.; Xu, X.; Lin, H.; Wang, W. One-Spot Synthesis of a Benzene-Rich Triazine-Based Hyperbranched Charring Agent and Its Efficient Intumescent Flame-Retardant Performance for Thermoplastic Polyester Elastomer. Arab. J. Chem. 2023, 16, 104861. [Google Scholar] [CrossRef]
- Birley, A.W. Thermoplastic Elastomers: A Comprehensive Review; Legge, N.R., Holden, G., Schroeder, H.F., Eds.; Carl Hanser Verlag: Munich, Germany, 1987. [Google Scholar]
- Liu, B.; Zhao, H.; Wang, Y. Advanced Flame-Retardant Methods for Polymeric Materials. Adv. Mater. 2021, 34, e2107905. [Google Scholar] [CrossRef]
- Weil, E.D.; Levchik, S.V. 6—Flame Retardants in Commercial Use or Development for Thermoplastic Polyesters. In Flame Retardants; Elsevier: Amsterdam, The Netherlands, 2016; pp. 141–160. [Google Scholar]
- Weil, E.D.; Levchik, S.V. Further Sources for Flame Retardancy Information (Updated 2014). In Flame Retardants, 2nd ed.; Elsevier: Amsterdam, The Netherlands, 2016; pp. 339–348. [Google Scholar]
- Abd El-Wahab, H.; Abd El-Fattah, M.; El-Alfy, H.M.Z.; Owda, M.E.; Lin, L.; Hamdy, I. Synthesis, and characterisation of sulphonamide (Schiff base) ligand and its copper metal complex and their efficiency in polyurethane varnish as flame retardant and antimicrobial surface coating additives. Prog. Org. Coat. 2020, 142, 105577. [Google Scholar] [CrossRef]
- Ilyas, R.A.; Sapuan, S.M.; Asyraf, M.R.M.; Dayana, D.A.Z.N.; Amelia, J.J.N.; Rani, M.S.A.; Norrrahim, M.N.F.; Nurazzi, N.M.; Aisyah, H.A.; Sharma, S.; et al. Polymer Composites Filled with Metal Derivatives: A Review of Flame Retardants. Polymers 2021, 13, 1701. [Google Scholar] [CrossRef] [PubMed]
- Pan, Y.T.; Zhang, Z.; Yang, R. The rise of MOFs and their derivatives for flame retardant polymeric materials: A critical review. Compos. Part B Eng. 2020, 199, 108265. [Google Scholar] [CrossRef]
- Wu, W.; Zhong, Y.; Wu, R.; Jiang, C.; Lin, X. Preparation of Flame Retarded Thermoplastic Polyester-Ether Elastomer by Adding Halogen-Free Additives and Novolac. Gaofenzi Cailiao Kexue Yu Gong Cheng/Polym. Mater. Sci. Eng. 2015, 31, 153–157. [Google Scholar]
- Zhong, Y.; Jiang, C.; Ruan, M.; Chen, Y.; Wu, W. Preparation, Thermal, and Flammability of Halogen-Free Flame Retarding Thermoplastic Poly(Ether-Ester) Elastomer/Montmorillonite Nanocomposites. Polym. Compos. 2014, 37, 700–708. [Google Scholar] [CrossRef]
- Wang, A.; Zhang, F.; Xing, L.; Zhu, Y.; Xie, W.; Chen, X.; Cheng, J.; Cheng, Y. Effect of Aluminum Diethylphosphinate and Its Synergist on Flame-Retardant Effects of Epoxy Resin. J. Therm. Anal. Calorim. 2022, 147, 7277–7287. [Google Scholar] [CrossRef]
- Levchik, S.V.; Weil, E.D. Flame Retardancy of Thermoplastic Polyesters—A Review of the Recent Literature. Polym. Int. 2005, 54, 11–35. [Google Scholar] [CrossRef]
- Bauer, H.; Hoerold, S.; Krause, W. Salts of Alkyl Esters of Carboxyethyl (Alkyl)Phosphinic Acid. US2008/0188598A1, 7 August 2008. [Google Scholar]
- Bauer, H.; Krause, W.; Sicken, M.; Weferling, N. Use of Salts of Dialkylphosphinic Acids. EP1544206A1, 22 June 2005. [Google Scholar]
- Salaün, F.; Lemort, G.; Butstraen, C.; Devaux, E.; Capon, G. Influence of Silica Nanoparticles Combined with Zinc Phosphinate on Flame Retardant Properties of PET. Polym. Adv. Technol. 2017, 28, 1919–1928. [Google Scholar] [CrossRef]
- DoğAn, M.; Erdoğan, S. Mechanical, Thermal, and Fire Retardant Properties of Poly (Ethylene Terephthalate) Fiber Containing Zinc Phosphinate and Organo-Modified Clay. J. Therm. Anal. Calorim. 2013, 112, 871–876. [Google Scholar] [CrossRef]
- Tomiak, F.; Schoeffel, A.; Rathberger, K.; Drummer, D. Expandable Graphite, Aluminum Diethylphospinate and Melamine Polyphosphate as Flame Retarding System in Glass Fiber-Reinforced PA6. Polymers 2022, 14, 1263. [Google Scholar] [CrossRef]
- Liu, X.Q.; Liu, J.Y.; Cai, S.J. Comparative Study of Aluminum Diethylphosphinate and Aluminum Methylethylphosphinate-Filled Epoxy Flame-Retardant Composites. Polym. Compos. 2012, 33, 918–926. [Google Scholar] [CrossRef]
- Chen, W.; Liu, P.; Cheng, Y.; Liu, Y.; Wang, Q.; Duan, W. Flame Retardancy Mechanisms of Melamine Cyanurate in Combination with Aluminum Diethylphosphinate in Epoxy Resin. J. Appl. Polym. Sci. 2019, 136, 47223. [Google Scholar] [CrossRef]
- Zou, L.; Zhou, M.; Liu, J.; Liu, X.; Chen, J.; Hu, Q.; Peng, S. Flame-Retardant Thermoplastic Polyester Based on Multiarm Aluminum Phosphinate for Improving Anti-Dripping. Thermochim. Acta 2018, 664, 118–127. [Google Scholar] [CrossRef]
- Brehme, S.; Schartel, B.; Goebbels, J.; Fischer, O.; Pospiech, D.; Bykov, Y.; Döring, M. Phosphorus Polyester versus Aluminium Phosphinate in Poly (Butylene Terephthalate) (PBT): Flame Retardancy Performance and Mechanisms. Polym. Degrad. Stab. 2011, 96, 875–884. [Google Scholar] [CrossRef]
- Holdsworth, A.F.; Horrocks, A.R.; Kandola, B.K. Novel Metal Complexes as Potential Synergists with Phosphorus Based Flame Retardants in Polyamide 6.6—ScienceDirect. Polym. Degrad. Stab. 2020, 179, 109220. [Google Scholar] [CrossRef]
- Cheng, X.; Wu, J.; Yao, C.; Yang, G. Flame-Retardant Mechanism of Zinc Borate and Magnesium Hydroxide in Aluminum Hypophosphite–Based Combination for TPE-S Composites. J. Fire Sci. 2019, 37, 073490411985127. [Google Scholar] [CrossRef]
- Jian, R.K.; Chen, L.; Chen, S.Y.; Long, J.W.; Wang, Y.Z. A Novel Flame-Retardant Acrylonitrile-Butadiene-Styrene System Based on Aluminum Isobutylphosphinate and Red Phosphorus: Flame Retardance, Thermal Degradation and Pyrolysis Behavior. Polym. Degrad. Stab. 2014, 109, 184–193. [Google Scholar] [CrossRef]
- Cheng, X.; Wu, J.; Yao, C.; Yang, G. Aluminum Hypophosphite and Aluminum Phenylphosphinate: A Comprehensive Comparison of Chemical Interaction during Pyrolysis in Flame-Retarded Glass-Fiber-Reinforced Polyamide 6. J. Fire Ences 2019, 37, 073490411983620. [Google Scholar] [CrossRef]
- Lin, G.P.; Chen, L.; Wang, X.L.; Jian, R.K.; Zhao, B.; Wang, Y.Z. Aluminum Hydroxymethylphosphinate and Melamine Pyrophosphate: Synergistic Flame Retardance and Smoke Suppression for Glass Fiber Reinforced Polyamide 6. Ind. Eng. Chem. Res. 2013, 52, 15613–15620. [Google Scholar] [CrossRef]
- Liu, X.; Liu, J.; Chen, J.; Cai, S.; Hu, C. Novel Flame-Retardant Epoxy Composites Containing Aluminium β-Carboxylethylmethylphosphinate. Polym. Eng. Sci. 2015, 55, 657–663. [Google Scholar] [CrossRef]
- Wang, Z.; Wu, W.; Zhang, W.; Shen, H.; Feng, Y.; Li, J. Preparation of aluminum diethyl hypophosphite intercalation-modified montmorillonite AlPi-MMT and its effect on the flame retardancy and smoke suppression of thermoplastic polyester elastomer. J. Appl. Polym. Sci. 2023, 141, 55103. [Google Scholar] [CrossRef]
- Jana, S.C. Proceedings of PPS-30: The 30th International Conference of the Polymer Processing Society—Conference Papers; AIP Publishing: Melville, NY, USA, 2015. [Google Scholar]
- Zou, L.; Liu, J.; Liu, X.; Wang, X.; Chen, J. Synthesis and Performance of Star-Shaped Aluminum Phosphinate Flame Retardant. J. Therm. Anal. Calorim. 2016, 124, 1399–1409. [Google Scholar] [CrossRef]
- Zhong, Y.; Wu, W.; Wu, R.; Luo, Q.; Wang, Z. The Flame Retarding Mechanism of the Novolac as Char Agent with the Fire Retardant Containing Phosphorous–Nitrogen in Thermoplastic Poly (Ether Ester) Elastomer System. Polym. Degrad. Stab. 2014, 105, 166–177. [Google Scholar] [CrossRef]
- Zhang, L.; Wu, W.; Li, J.H.; Wang, Z.; Wang, L.; Chen, S. New Insight into the Preparation of Flame-Retardant Thermoplastic Polyether Ester Utilizing β -Cyclodextrin as a Charring Agent. High Perform. Polym. 2017, 29, 422–430. [Google Scholar] [CrossRef]
- Wang, Z.; Wu, W.; Liu, Z.; Shen, H.; Feng, Y. Study on novel boron-containing triazine flame retarded thermoplastic polyester elastomer composites and the flame-retardant mechanism. React. Funct. Polym. 2023, 190, 105621. [Google Scholar] [CrossRef]







| Sample | TPEE (wt%) | AilBMP (wt%) | Ph (wt%) | LOI (%) | UL94 Rating | Dripping |
|---|---|---|---|---|---|---|
| TPEE | 100 | 0 | 0 | 20 | - | yes |
| TPEE-10AiBMP | 90 | 10 | 0 | 29 | V-1 | yes |
| TPEE-15AiBMP | 85 | 15 | 0 | 36 | V-0 | no |
| TPEE-13AiBMP-2Ph | 85 | 13 | 2 | 35 | V-0 | no |
| TPEE-11AiBMP-4Ph | 85 | 11 | 4 | 33 | V-1 | yes |
| Sample | PHRR (W/g) | THR (kJ/g) | TPHRR (°C) |
|---|---|---|---|
| TPEE | 1150.4 | 24.7 | 417.7 |
| TPEE-10AiBMP | 588.1 | 22.3 | 402.7 |
| TPEE-15AiBMP | 511.9 | 21.2 | 403.4 |
| TPEE-13AiBMP-2Ph | 513.6 | 20.9 | 390.1 |
| TPEE-11AiBMP-4Ph | 591.9 | 23.8 | 407.4 |
| Sample | T5% (°C) | Tmax (°C) | DTGmax (%/°C) | Residues at 700 °C (%) |
|---|---|---|---|---|
| TPEE | 373.2 | 407.1 | 2.58 | 4.30 |
| AiBMP | 418.1 | 486.1 | 1.86 | 26.0 |
| phenolphthalein | 323.4 | 375.8 | 0.78 | 35.4 |
| TPEE-10AiBMP | 348.7 | 400.3 | 1.93 | 5.91 |
| TPEE-15AiBMP | 357.8 | 402.8 | 1.90 | 10.7 |
| TPEE-13AiBMP-2Ph | 363.1 | 407.4 | 2.21 | 11.2 |
| TPEE-11AiBMP-4Ph | 361.2 | 405.5 | 2.37 | 11.2 |
| Sample | Tc (°C) | ΔHc (J/g) |
|---|---|---|
| TPEE | 145.0 | 82.2 |
| TPEE-10AiBMP | 154.0 | 87.7 |
| TPEE-15AiBMP | 155.8 | 50.2 |
| TPEE-13AiBMP-2Ph | 155.6 | 9.1 |
| TPEE-11AiBMP-4Ph | 155.1 | 10.3 |
Disclaimer/Publisher’s Note: The statements, opinions and data contained in all publications are solely those of the individual author(s) and contributor(s) and not of MDPI and/or the editor(s). MDPI and/or the editor(s) disclaim responsibility for any injury to people or property resulting from any ideas, methods, instructions or products referred to in the content. |
© 2024 by the authors. Licensee MDPI, Basel, Switzerland. This article is an open access article distributed under the terms and conditions of the Creative Commons Attribution (CC BY) license (https://creativecommons.org/licenses/by/4.0/).
Share and Cite
Yang, X.; Zhang, Y.; Chen, J.; Zou, L.; Xing, X.; Zhang, K.; Liu, J.; Liu, X. Flame-Retardant Thermoplastic Polyether Ester/Aluminum Butylmethylphosphinate/Phenolphthalein Composites with Enhanced Mechanical Properties and Antidripping. Polymers 2024, 16, 552. https://doi.org/10.3390/polym16040552
Yang X, Zhang Y, Chen J, Zou L, Xing X, Zhang K, Liu J, Liu X. Flame-Retardant Thermoplastic Polyether Ester/Aluminum Butylmethylphosphinate/Phenolphthalein Composites with Enhanced Mechanical Properties and Antidripping. Polymers. 2024; 16(4):552. https://doi.org/10.3390/polym16040552
Chicago/Turabian StyleYang, Xue, Yan Zhang, Jia Chen, Liyong Zou, Xuesong Xing, Kangran Zhang, Jiyan Liu, and Xueqing Liu. 2024. "Flame-Retardant Thermoplastic Polyether Ester/Aluminum Butylmethylphosphinate/Phenolphthalein Composites with Enhanced Mechanical Properties and Antidripping" Polymers 16, no. 4: 552. https://doi.org/10.3390/polym16040552
APA StyleYang, X., Zhang, Y., Chen, J., Zou, L., Xing, X., Zhang, K., Liu, J., & Liu, X. (2024). Flame-Retardant Thermoplastic Polyether Ester/Aluminum Butylmethylphosphinate/Phenolphthalein Composites with Enhanced Mechanical Properties and Antidripping. Polymers, 16(4), 552. https://doi.org/10.3390/polym16040552

