Flame-Retardant GF-PSB/DOPO-POSS Composite with Low Dk/Df and High Thermal Stability for High-Frequency Copper Clad Applications
Abstract
1. Introduction
2. Materials and Methods
2.1. Materials
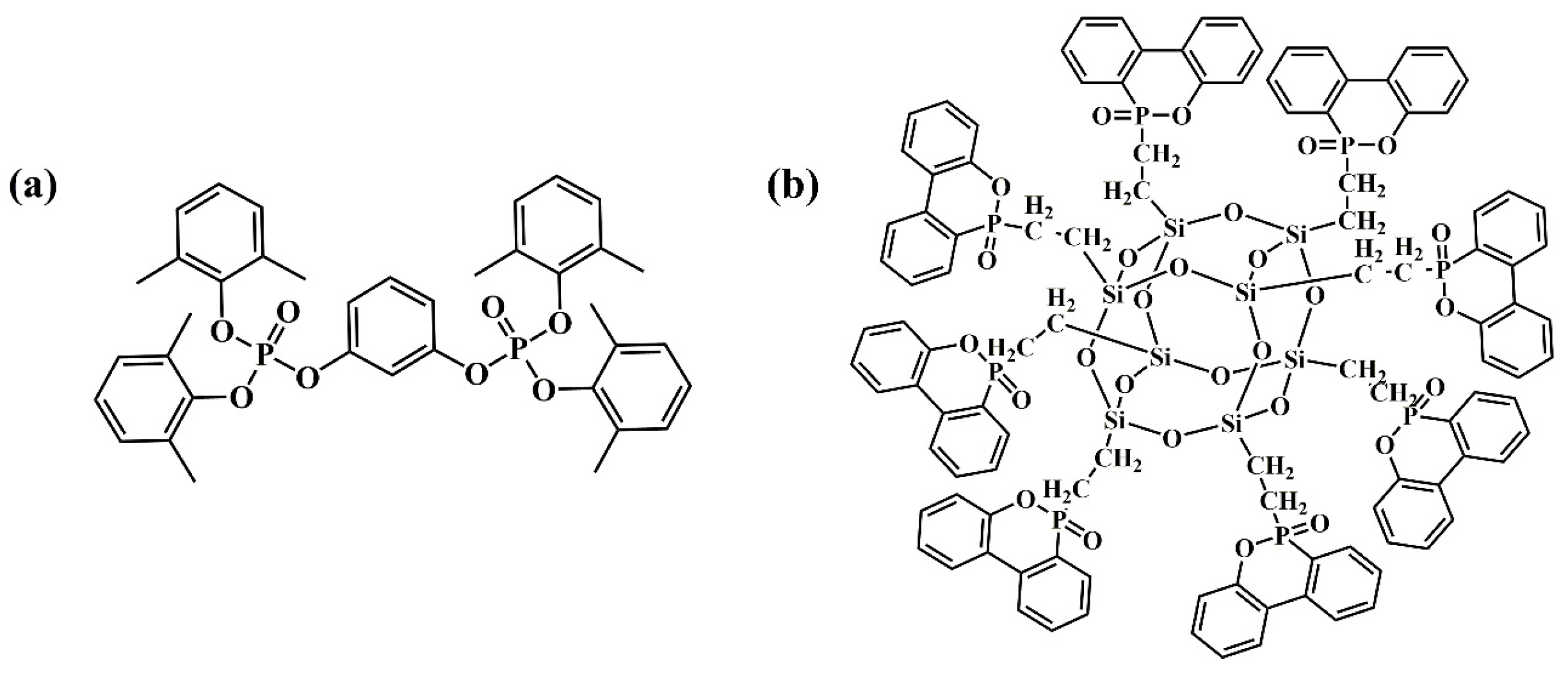
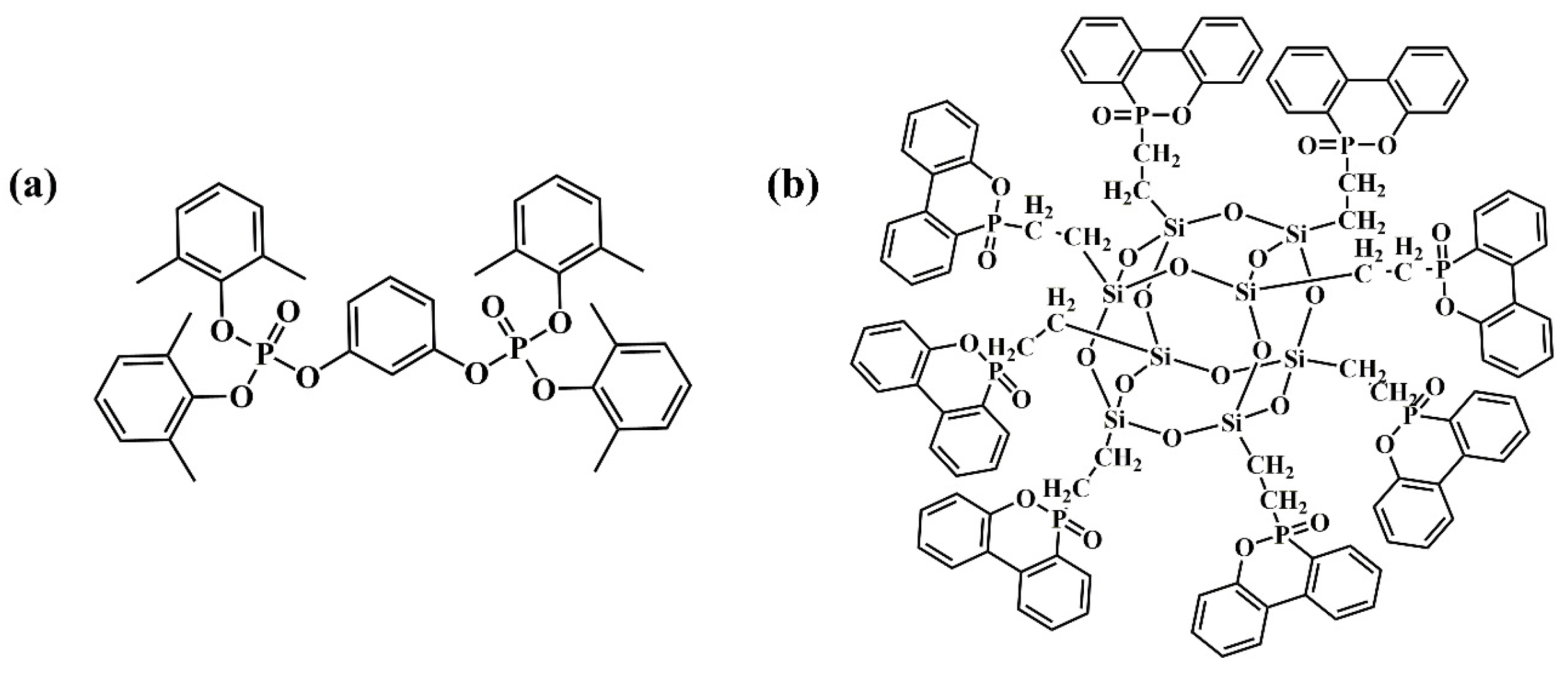
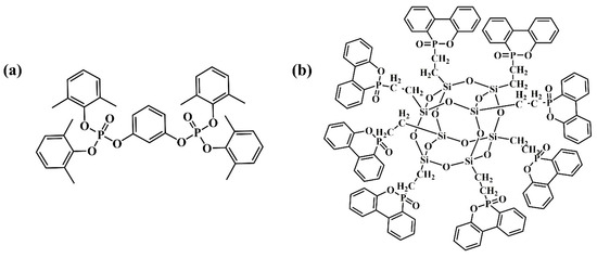
2.2. Preparation of DOPO-POSS [41]
2.3. Preparation of Composite Laminates
2.4. Characterization Methods
2.4.1. IR Analysis
2.4.2. Dielectric Properties Analysis
2.4.3. Thermogravimetric Analysis
2.4.4. LOI Analysis
2.4.5. Vertical Burning Analysis
2.4.6. Cone Calorimeter Analysis
2.4.7. SEM Analysis
2.4.8. Dynamic Mechanical Analysis
3. Results and Discussion
3.1. ATR-FTIR Characterization
3.2. Dielectric Properties
3.3. Thermal Properties and Dynamic Mechanical Analysis
3.4. Flame-Retardant Properties
4. Conclusions
Supplementary Materials
Author Contributions
Funding
Institutional Review Board Statement
Data Availability Statement
Conflicts of Interest
References
- Wu, J.; Guo, S.; Huang, H.; Liu, W.; Xiang, Y. Information and Communications Technologies for Sustainable Development Goals: State-of-the-Art, Needs and Perspectives. IEEE Commun. Surv. Tutor. 2018, 20, 2389–2406. [Google Scholar] [CrossRef]
- Ukpabi, D.C.; Karjaluoto, H. Consumers’ Acceptance of Information and Communications Technology in Tourism: A Review. Telemat. Inform. 2017, 34, 618–644. [Google Scholar] [CrossRef]
- Ahad, A.; Tahir, M.; Sheikh, M.A.; Ahmed, K.I.; Mughees, A.; Numani, A. Technologies Trend towards 5G Network for Smart Health-Care Using IoT: A Review. Sensors 2020, 20, 4047. [Google Scholar] [CrossRef] [PubMed]
- Zhou, J.; Li, P.; Zhou, Y.; Wang, B.; Zang, J.; Meng, L. Toward New-Generation Intelligent Manufacturing. Engineering 2018, 4, 11–20. [Google Scholar] [CrossRef]
- Weng, L.; Zhang, Y.; Zhang, X.; Liu, L.; Zhang, H. Synthesis and Properties of Cured Epoxy Mixed Resin Systems Modified by Polyphenylene Oxide for Production of High-Frequency Copper Clad Laminates. Polym. Compos. 2018, 39, E2334–E2345. [Google Scholar] [CrossRef]
- Tan, Y.Y.; Zhang, Y.; Jiang, G.L.; Zhi, X.X.; Xiao, X.; Wu, L.; Jia, Y.J.; Liu, J.G.; Zhang, X.M. Preparation and Properties of Inherently Black Polyimide Films with Extremely Low Coefficients of Thermal Expansion and Potential Applications for Black Flexible Copper Clad Laminates. Polymers 2020, 12, 576. [Google Scholar] [CrossRef] [PubMed]
- Chen, D.; Liu, B.; Wang, X.; Li, X.; Xu, X.; He, J.; Yang, R. High Flame Retardant and Heat-Resistance, Low Dielectric Benzoxazine Resin with Phthalimide Structure. Polym. Degrad. Stab. 2022, 205, 110150. [Google Scholar] [CrossRef]
- Fang, Z.; Yu, X.; Qin, Y.; Li, D.; Liu, Q.; Lu, D.; Wang, K. Deterioration of Microwave Dielectric Properties of Low-Loss Thermosetting Polyphenylene Oxide/Hydrocarbon Resin Induced by Short-Term Thermo-Oxidative Aging. Polym. Degrad. Stab. 2022, 206, 110193. [Google Scholar] [CrossRef]
- Zhou, W.; Chen, Y.; Cheng, H.; Liu, X.; Tian, Z.; Zhang, L.; Kang, X.; Ge, Y.; Peng, J.; Sun, J.; et al. A Novel Process for the Biological Detoxification of Non-Metal Residue from Waste Copper Clad Laminate Treatment: From Lab to Pilot Scale. J. Clean. Prod. 2020, 255, 120116. [Google Scholar] [CrossRef]
- Wu, B.; Mao, X.; Xu, Y.; Li, R.; Wu, N.; Tang, X. Improved Dielectric and Thermal Properties of Core-Shell Structured SiO2/Polyolefin Polymer Composites for High-Frequency Copper Clad Laminates. Appl. Surf. Sci. 2021, 544, 148911. [Google Scholar] [CrossRef]
- Gao, R.; Gu, A.; Liang, G.; Dai, S.; Yuan, L. Properties and Origins of High-Performance Poly(phenylene oxide)/Cyanate Ester Resins for High-Frequency Copper-Clad Laminates. J. Appl. Polym. Sci. 2011, 121, 1675–1684. [Google Scholar] [CrossRef]
- Wu, B.; Mao, X.; Wang, C.; Deng, T.; Li, R.; Xu, Y.; Tang, X. Different Organic Peroxides that Cure Low-k 1,2-PB/SBS/ EPDM Composites for High-Frequency Substrate. J. Vinyl Addit. Technol. 2020, 26, 524–535. [Google Scholar] [CrossRef]
- Guo, J.; Wang, H.; Zhang, C.; Zhang, Q.; Yang, H. MPPE/SEBS Composites with Low Dielectric Loss for High-Frequency Copper Clad Laminates Applications. Polymers 2020, 12, 1875. [Google Scholar] [CrossRef] [PubMed]
- Zhou, H.; Wang, H.; Niu, H.; Lin, T. Electrospun Fibrous Membranes with Super-Large-Strain Electric Superhydrophobicity. Sci. Rep. 2015, 5, 15863. [Google Scholar] [CrossRef] [PubMed]
- Chen, X.; Ma, Z.; Zhou, J.; Wang, J.; Zhang, X.; Zhao, R.; Tong, J. Thermal Degradation Characteristics of Styrene-Butadiene-Styrene Copolymer Asphalt Binder Filled with an Inorganic Flame-Retarding Agent. Polymers 2022, 14, 3761. [Google Scholar] [CrossRef] [PubMed]
- Ezechiáš, M.; Covino, S.; Cajthaml, T. Ecotoxicity and Biodegradability of New Brominated Flame Retardants: A Review. Ecotoxicol. Environ. Saf. 2014, 110, 153–167. [Google Scholar] [CrossRef] [PubMed]
- Lu, S.Y.; Hamerton, I. Recent Developments in the Chemistry of Halogen-Free Flame Retardant Polymers. Prog. Polym. Sci. 2002, 27, 1661–1712. [Google Scholar] [CrossRef]
- Sharma, V.; Agarwal, S.; Mathur, A.; Singhal, S.; Wadhwa, S. Advancements in Nanomaterial Based Flame-Retardants for Polymers: A Comprehensive Overview. J. Ind. Eng. Chem. 2023; online in December. [Google Scholar] [CrossRef]
- Terekhov, I.V.; Chistyakov, E.M.; Filatov, S.N.; Deev, I.S.; Kurshev, E.V.; Lonskii, S.L. Factors Influencing the Fire-Resistance of Epoxy Compositions Modified with Epoxy-Containing Phosphazenes. Inorg. Mater. Appl. Res. 2019, 10, 1429–1435. [Google Scholar] [CrossRef]
- Wang, D.; Xu, X.; Qiu, Y.; Wang, J.; Meng, L. Cyclotriphosphazene Based Materials: Structure, Functionalization and Applications. Prog. Mater. Sci. 2024, 142, 101232. [Google Scholar] [CrossRef]
- Zhang, C.; Jiang, Y.; Li, S.; Huang, Z.; Zhan, X.Q.; Ma, N.; Tsai, F.C. Recent Trends of Phosphorus-Containing Flame Retardants Modified Polypropylene Composites Processing. Heliyon 2022, 8, e11225. [Google Scholar] [CrossRef]
- Varganici, C.D.; Rosu, L.; Bifulco, A.; Rosu, D.; Mustata, F.; Gaan, S. Recent Advances in Flame Retardant Epoxy Systems from Reactive DOPO-Based Phosphorus Additives. Polym. Degrad. Stab. 2022, 202, 110020. [Google Scholar] [CrossRef]
- Salmeia, K.A.; Gaan, S. An Overview of Some Recent Advances in DOPO-Derivatives: Chemistry and Flame Retardant Applications. Polym. Degrad. Stab. 2015, 113, 119–134. [Google Scholar] [CrossRef]
- Hirsch, C.; Striegl, B.; Mathes, S.; Adlhart, C.; Edelmann, M.; Bono, E.; Gaan, S.; Salmeia, K.A.; Hoelting, L.; Krebs, A.; et al. Multiparameter Toxicity Assessment of Novel DOPO-Derived Organophosphorus Flame Retardants. Arch. Toxicol. 2017, 91, 407–425. [Google Scholar] [CrossRef] [PubMed]
- Zhi, X.; Huang, J.; Tang, A.; Zhao, X. A Halogen-Free Flame Retardant Modified Hydrocarbon Resin and its Preparation Method. China Patent CN112048031A, 31 August 2020. [Google Scholar]
- Yoshida, K.; Kozako, M.; Ishibe, S.; Hikita, M.; Kamei, N. Evaluation on Applicability to Electrical Insulating Material of Hydrocarbon-Based Thermosetting Resin. Electron. Commun. Jpn. 2017, 100, 83–90. [Google Scholar] [CrossRef]
- Lenora, C.U.; Hu, N.H.; Furgal, J.C. Thermally Stable Fluorogenic Zn(II) Sensor Based on a Bis(benzimidazole)pyridine-Linked Phenyl-Silsesquioxane Polymer. ACS Omega 2020, 5, 33017–33027. [Google Scholar] [CrossRef]
- Czaban-Jóźwiak, J.; Woźniak, Ł.; Ulikowski, A.; Kwiecińska, K.; Rajkiewicz, A.A.; Grela, K. Modification of Polyhedral Oligomeric Silsesquioxanes (POSS) Molecules by Ruthenium Catalyzed Cross Metathesis. Molecules 2018, 23, 1772. [Google Scholar] [CrossRef]
- Zhou, D.L.; Li, J.H.; Guo, Q.Y.; Lin, X.; Zhang, Q.; Chen, F.; Han, D.; Fu, Q. Polyhedral Oligomeric Silsesquioxanes Based Ultralow-k Materials: The Effect of Cage Size. Adv. Funct. Mater. 2021, 31, 2102074. [Google Scholar] [CrossRef]
- Wang, M.Y.; Chi, H.; Joshy, K.S.; Wang, F. Progress in the Synthesis of Bifunctionalized Polyhedral Oligomeric Silsesquioxane. Polymers 2019, 11, 2098. [Google Scholar] [CrossRef]
- Blanco, I.; Cicala, G.; Tosto, C.; Bottino, F.A. Kinetic Study of the Thermal and Thermo-Oxidative Degradations of Polystyrene Reinforced with Multiple-Cages POSS. Polymers 2020, 12, 2742. [Google Scholar] [CrossRef]
- Guadagno, L.; Sorrentino, A.; Longo, R.; Raimondo, M. Multifunctional Properties of Polyhedral Oligomeric Silsesquioxanes (POSS)-Based Epoxy Nanocomposites. Polymers 2023, 15, 2297. [Google Scholar] [CrossRef]
- Grigoryeva, O.; Fainleib, A.; Starostenko, O.; Shulzhenko, D.; Anda, A.R.; Gouanve, F.; Espuche, E.; Grande, D. Effect of Amino-Functionalized Polyhedral Oligomeric Silsesquioxanes on Structure-Property Relationships of Thermostable Hybrid Cyanate Ester Resin Based Nanocomposites. Polymers 2023, 15, 4654. [Google Scholar] [CrossRef]
- Han, X.; Zhang, X.; Guo, Y.; Liu, X.; Zhao, X.; Zhou, H.; Zhang, S.; Zhao, T. Synergistic Effects of Ladder and Cage Structured Phosphorus-Containing POSS with Tetrabutyl Titanate on Flame Retardancy of Vinyl Epoxy Resins. Polymers 2021, 13, 1363. [Google Scholar] [CrossRef] [PubMed]
- Zhou, R.; Lin, L.; Zeng, B.; Yi, X.; Huang, C.; Du, K.; Liu, X.; Xu, Y.; Yuan, C.; Dai, L. Diblock Copolymers Containing Titanium-Hybridized Polyhedral Oligomeric Silsesquioxane Used as a Macromolecular Flame Retardant for Epoxy Resin. Polymers 2022, 14, 1708. [Google Scholar] [CrossRef] [PubMed]
- Zhang, W.; Li, X.; Guo, X.; Yang, R. Mechanical and Thermal Properties and Flame Retardancy of Phosphorus-Containing Polyhedral Oligomeric Silsesquioxane (DOPO-POSS)/Polycarbonate Composites. Polym. Degrad. Stab. 2010, 95, 2541–2546. [Google Scholar] [CrossRef]
- Zhang, W.; Li, X.; Yang, R. Flame Retardancy Mechanisms of Phosphorus-Containing Polyhedral Oligomeric Silsesquioxane (DOPO-POSS) in Polycarbonate/Acrylonitrile-Butadiene-Styrene Blends. Polym. Adv. Technol. 2012, 23, 588–595. [Google Scholar] [CrossRef]
- Zhang, W.; Li, X.; Yang, R. Pyrolysis and Fire Behaviour of Epoxy Resin Composites Based on A Phosphorus-Containing Polyhedral Oligomeric Silsesquioxane (DOPO-POSS). Polym. Degrad. Stab. 2011, 96, 1821–1832. [Google Scholar] [CrossRef]
- Zhang, W.; Li, X.; Yang, R. Novel Flame Retardancy Effects of DOPO-POSS on Epoxy Resins. Polym. Degrad. Stab. 2011, 96, 2167–2173. [Google Scholar] [CrossRef]
- Zhang, W.; Li, X.; Yang, R. Study on Flame Retardancy of TGDDM Epoxy Resins Loaded with DOPO-POSS Compound and OPS/DOPO Mixture. Polym. Degrad. Stab. 2014, 99, 118–126. [Google Scholar] [CrossRef]
- Zhang, Y.; Fang, Y.; Zheng, K.; Lin, W.; Huang, Z.; Xie, G.; Wang, X. An Improved Synthesis of DOPO-POSS. Org. Prep. Proced. Int. 2022, 54, 380–385. [Google Scholar] [CrossRef]
- Zhang, W.; Yang, R.J. Synthesis of Phosphorus-Containing Polyhedral Oligomeric Silsesquioxanes via Hydrolytic Condensation of a Modified Silane. Appl. Polym. Sci. 2011, 122, 3383–3389. [Google Scholar] [CrossRef]
- Dong, J.; Wang, H.; Zhang, Q.; Yang, H.; Cheng, J.; Xia, Z. Hydrocarbon Resin-Based Composites with Low Thermal Expansion Coefficient and Dielectric Loss for High-Frequency Copper Clad Laminates. Polymers 2022, 14, 2200. [Google Scholar] [CrossRef] [PubMed]
- Wang, L.; Yang, J.; Cheng, W.; Zou, J.; Zhao, D. Progress on Polymer Composites with Low Dielectric Constant and Low Dielectric Loss for High-Frequency Signal Transmission. Front. Mater. 2021, 8, 774843. [Google Scholar] [CrossRef]
- Yang, R.; Wang, D.; Li, H.; He, Y.; Zheng, X.; Yuan, M.; Yuan, M. Preparation and Characterization of Bletilla striata Polysaccharide/Polylactic Acid Composite. Molecules 2019, 24, 2104. [Google Scholar] [CrossRef]








| Samples | Matrix Composition (wt.%) | ||||
|---|---|---|---|---|---|
| PSB | PX-200 | DOPO-POSS | GF | Other Additives 1 | |
| PSB | 83 | 0 | 0 | 0 | 17 |
| PSB/PX-200 | 63 | 20 | 0 | 0 | 17 |
| PSB/DOPO-POSS | 63 | 0 | 20 | 0 | 17 |
| GF-PSB/DOPO-POSS-10 | 40 | 0 | 10 | 33 | 17 |
| GF-PSB/DOPO-POSS-13 | 37 | 0 | 13 | 33 | 17 |
| GF-PSB/DOPO-POSS-15 | 35 | 0 | 15 | 33 | 17 |
| Samples | LOI (%) | UL-94 | (t1 + t2) (s) | Dripping |
|---|---|---|---|---|
| GF-PSB | 47.7 ± 0.1 | V-2 | 182 | Yes |
| GF-PSB/PX-200 2 | 48.4 ± 0.2 | V-1 | 85 | No |
| GF-PSB/DOPO-POSS 3 | 51.1 ± 0.1 | V-1 | 79 | No |
Disclaimer/Publisher’s Note: The statements, opinions and data contained in all publications are solely those of the individual author(s) and contributor(s) and not of MDPI and/or the editor(s). MDPI and/or the editor(s) disclaim responsibility for any injury to people or property resulting from any ideas, methods, instructions or products referred to in the content. |
© 2024 by the authors. Licensee MDPI, Basel, Switzerland. This article is an open access article distributed under the terms and conditions of the Creative Commons Attribution (CC BY) license (https://creativecommons.org/licenses/by/4.0/).
Share and Cite
Zheng, K.; Zhang, Y.; Qiu, J.; Xie, G.; Huang, Z.; Lin, W.; Liu, Z.; Liu, Q.; Wang, X. Flame-Retardant GF-PSB/DOPO-POSS Composite with Low Dk/Df and High Thermal Stability for High-Frequency Copper Clad Applications. Polymers 2024, 16, 544. https://doi.org/10.3390/polym16040544
Zheng K, Zhang Y, Qiu J, Xie G, Huang Z, Lin W, Liu Z, Liu Q, Wang X. Flame-Retardant GF-PSB/DOPO-POSS Composite with Low Dk/Df and High Thermal Stability for High-Frequency Copper Clad Applications. Polymers. 2024; 16(4):544. https://doi.org/10.3390/polym16040544
Chicago/Turabian StyleZheng, Ke, Yizhi Zhang, Jiaxiang Qiu, Guanqun Xie, Zengbiao Huang, Wei Lin, Zhimeng Liu, Qianfa Liu, and Xiaoxia Wang. 2024. "Flame-Retardant GF-PSB/DOPO-POSS Composite with Low Dk/Df and High Thermal Stability for High-Frequency Copper Clad Applications" Polymers 16, no. 4: 544. https://doi.org/10.3390/polym16040544
APA StyleZheng, K., Zhang, Y., Qiu, J., Xie, G., Huang, Z., Lin, W., Liu, Z., Liu, Q., & Wang, X. (2024). Flame-Retardant GF-PSB/DOPO-POSS Composite with Low Dk/Df and High Thermal Stability for High-Frequency Copper Clad Applications. Polymers, 16(4), 544. https://doi.org/10.3390/polym16040544

