Stability Qualification of Resins/Metallic Oxide Composites for Surface Oxidative Protection
Abstract
1. Introduction
2. Materials and Methods
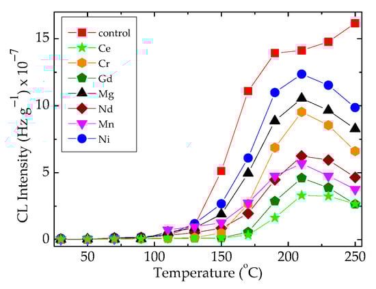
3. Results
4. Discussion
- -
- The degradation starts in the polymer phase, but the spreading of free radicals is hindered by the interaction with the inorganic phase;
- -
- The diffusion of oxygen into the inner part of material is delayed by the oxide particles, which scavenge the free radicals;
- -
- The reorganization of molecular structures must be achieved through a certain degree of crosslinking [63], which promotes high performances in the stability of the product.
5. Conclusions
Author Contributions
Funding
Institutional Review Board Statement
Data Availability Statement
Acknowledgments
Conflicts of Interest
References
- Alshammari, K.; Alashgai, T.; Alshammari, A.H.; Abdelhamied, M.M.; Alotibi, S.; Atta, A. Effects of Nd2O3 nanoparticles on the structural characteristics and dielectric properties of PVA polymeric films. Polymers 2023, 15, 4084. [Google Scholar] [CrossRef]
- Zaharescu, T.; Dumitru, A.; Borbath, T.; Ionescu, I.; Borbath, I.; Boros, T.F. The contribution of BaTiO3 to the stability improvement of ethylene–propylene–diene rubber: Part II—Doped filler. Polymers 2023, 15, 3441. [Google Scholar] [CrossRef]
- Latko-Durałek, P.; Misiak, M.; Staniszewska, M.; Rosłoniec, K.; Grodzik, M.; Socha, R.P.; Krzan, M.; Baźanów, B.; Pogorzelska, A.; Boczkowska, A. The composites of polyamide 12 and metal oxides with high antimicrobial activity. Polymers 2022, 14, 3025. [Google Scholar] [CrossRef]
- Wang, S.; Huang, Z.; Wang, J.; Li, Y.; Tan, Z. Thermal stability of several polyaniline/rare earth oxide composites (I): Polyaniline/CeO2 composites. J. Therm. Anal. Calorim. 2012, 107, 1199–1203. [Google Scholar] [CrossRef]
- Nikolaeva, A.L.; Bugrov, A.N.; Sokolova, M.P.; Kuntsman, I.V.; Vlasova, E.N.; Ivankova, E.M.; Abalov, I.V.; Gofman, I.V. Synergistic effect of metal oxide and carbon nanoparticles on the thermal and mechanical properties of polyimide composite films. Polymers 2023, 15, 2298. [Google Scholar] [CrossRef] [PubMed]
- Zhao, H.; Ding, J.; Yu, H. Variation of mechanical and thermal properties in sustainable graphene oxide/epoxy composites. Sci. Rep. 2018, 8, 16560. [Google Scholar] [CrossRef] [PubMed]
- Cheraghi, E.; Shaaer, A.; Chen, S.; Osei, E.; Yeow, J.T.W. Enhanced electron radiation shielding composite developed by well dispersed fillers in PDMS polymer. Radiat. Phys. Chem. 2023, 211, 110994. [Google Scholar] [CrossRef]
- Jayalath, S.; Herath, M.; Epaarachchi, J.; Trifoni, E.; Gdoutos, E.E.; Fang, L. Durability and long-term behaviour of shape memory polymers and composites for the space industry—A review of current status and future perspectives. Polym. Degrad. Stab. 2023, 211, 110297. [Google Scholar] [CrossRef]
- Sudheep, C.V.; Verma, A.; Jasrotia, P.; Hmar, J.J.L.; Gupta, R.; Verma, A.S.; Jyoti; Kumar, A.; Kumar, T. Revolutionizing gas sensors: The role of composite materials with conducting polymers and transition metal oxides. Results Chem. 2024, 7, 101255. [Google Scholar] [CrossRef]
- Blanco, I.; Abate, L.; Bottino, P.; Chiacchio, M.A. Synthesis and thermal characterization of monosubstituted octaphenyl POSS/polystyrene nanocomposites. J. Therm. Anal. Calorim. 2019, 138, 2357–2365. [Google Scholar] [CrossRef]
- Zhang, W.; Jiang, M.; Guan, F.; Liu, S.; Wang, L.; Li, Y.; Yue, D.; Li, J.; Liu, X.; Feng, Y. Influence of the acceptor-fillers on the dielectric properties of polyimide composites. Polym. Test. 2023, 122, 108025. [Google Scholar] [CrossRef]
- Almuqrin, A.; Tijani, S.A.; Al-Ghamdi, A.; Alhuzaymi, T.; Alotiby, M.F. Radiation shielding properties of high-density polyethylene (C2H4)/molybdenum III oxide (MoO3) polymer composites for dental diagnostic applications. J. Radiat. Res. Appl. Sci. 2023, 16, 00681. [Google Scholar] [CrossRef]
- Shirazi, M.; Rad, G.M.; Tamsilian, Y. Polymer nanocomposite characterization and applications. In Encyclopedia of Materials: Composites; Brabazon, D., Ed.; Elsevier: New York, NY, USA, 2021; Volume 1, pp. 725–745. [Google Scholar]
- Yadav, R.; Singh, M.; Shekhawat, D.; Lee, S.-Y.; Park, S.-J. The role of fillers to enhance the mechanical, thermal, and wear characteristics of polymer composite materials: A review. Compos. Part A Appl. Sci. Manufact. 2023, 175, 107775. [Google Scholar] [CrossRef]
- He, H.; Shen, X.; Nie, Z. Engineering interactions between nanoparticles using polymers. Prog. Polym. Sci. 2023, 143, 101710. [Google Scholar] [CrossRef]
- Zaharescu, T.; Tardei, C.; Râpă, M.; Iordoc, M. Size particle effects on the thermal stability of poly(lactic acid)/hydroxyapatite hybrids for biodegradable package. Ceram. Int. 2020, 46, 7288–7297. [Google Scholar] [CrossRef]
- Solodov, A.N.; Balkaev, D.A.; Shayimova, J.R.; Vakhitov, I.R.; Gataullina, R.M.; Sukhov, A.V.; Burilova, E.A.; Amirova, L.M.; Zhuravleva, Y.I.; Amirov, R.R. Tribological properties of an epoxy polymer containing a magnetically oriented graphene oxide/iron oxide nanoparticle composite. Diam. Relat. Mater. 2023, 138, 110211. [Google Scholar] [CrossRef]
- Oliveira, L.R.; Nassar, E.J.; da Silva Barud, H.; Silva, J.M.; Rocha, L.A. Polymer and biopolymer organic-inorganic composites containing mixed oxides for application in energy up- and down-conversion. Opt. Mater. 2022, 134, 13189. [Google Scholar] [CrossRef]
- Lyashkov, V.O.; Makarov, A.Y.; Plakhtii, Y.G. Structure and electrical properties of polymer composites based on tungsten oxide varistor ceramics. Ceram. Int. 2022, 48, 8306–8313. [Google Scholar] [CrossRef]
- Zschech, C.; Pech, M.; Müller, M.T.; Wiessner, S.; Wagenknecht, U.; Gohs, U. Continuous electron-induced reactive processing—A sustainable reactive processing method for polymers. Radiat. Phys. Chem. 2020, 170, 108652. [Google Scholar] [CrossRef]
- Yıldırım, Y.; Oral, A. The influence of γ-ray irradiation on the thermal stability and molecular weight of poly(l-lactic acid) and its nanocomposites. Radiat. Phys. Chem. 2014, 96, 69–74. [Google Scholar] [CrossRef]
- Koutný, M.; Václavková, T.; Matisová-Rychlá, L.; Rychlý, J. Characterization of oxidation progress by chemiluminescence: A study of polyethylene with pro-oxidant additives. Polym. Degrad. Stab. 2008, 93, 1515–1519. [Google Scholar] [CrossRef]
- Radinger, H.; Connor, P.; Tengeler, S.; Stark, R.W.; Jaegermann, W.; Kaiser, B. Importance of nickel oxide lattice defects for efficient oxygen evolution reaction. Chem. Mater. 2021, 33, 8259–8266. [Google Scholar] [CrossRef]
- Jang, D.; Jin, H.; Kim, M.; Park, Y.D. Polymeric interfacial engineering approach to perovskite-functionalized organic transistor-type gas sensors. Chem. Eng. J. 2023, 473, 145482. [Google Scholar] [CrossRef]
- Vasile, C.; Butnaru, E. Radiation chemistry of organic solids. In Applications of Ionizing Radiation in Materials Processing; Chmielewski, A., Sun, Y., Eds.; Institute of Nuclear Chemistry and Technology: Warszawa, Poland, 2017; Volume 1, pp. 117–141. [Google Scholar]
- Burnay, S.G. Radiation induced changes in the structure an epoxy resin. Radiat. Phys. Chem. 1980, 16, 389–397. [Google Scholar] [CrossRef][Green Version]
- Plota, A.; Masek, A. Analysis of the aging and stabilization processes in cyclic polyolefins containing various natural or synthetic stabilizers. Polymer 2023, 273, 125879. [Google Scholar] [CrossRef]
- Kirschweng, B.; Tátraaljai, D.; Földes, E.; Pukánszky, B. Natural antioxidants as stabilizers for polymers. Polym. Degrad. Stab. 2017, 145, 25–40. [Google Scholar] [CrossRef]
- Blanco, I.; Bottino, F.A.; Cicala, G.; Latteri, A.; Recca, A. A kinetic study of the thermal and thermal oxidative degradations of new bridged POSS/PS nanocomposites. Polym. Degrad. Stab. 2013, 98, 2564–2570. [Google Scholar] [CrossRef]
- Tayouri, M.I.; Estaji, S.; Mousavi, S.R.; Khasraghi, S.S.; Jahanmardi, R.; Nouranian, S.; Arjmand, M.; Khonakdar, H.A. Degradation of polymer nanocomposites filled with graphene oxide and reduced graphene oxide nanoparticles: A review of current status. Polym. Degrad. Stab. 2013, 98, 2564–2570. [Google Scholar] [CrossRef]
- Barsbay, M.; Güven, O. Nanostructuring of polymers by controlling of ionizing radiation-induced free radical polymerization, copolymerization, grafting and crosslinking by RAFT mechanism. Radiat. Phys. Chem. 2020, 169, 107816. [Google Scholar] [CrossRef]
- Ji, Z.; Zhang, F.; Chen, H.; He, W.; Xing, Z.; Wu, G. Simultaneous aging of DGEBA/MeHHPA epoxy resin under thermal heating and gamma irradiation up to 1000 kGy. Polym. Degrad. Stab. 2022, 199, 109908. [Google Scholar] [CrossRef]
- Neǐman, M.B.; Kovarskaya, B.M.; Golubenkova, L.I.; Strizhkova, A.S.; Levantovskaya, I.I.; Akutin, M.S. The thermal degradation of some epoxy resins. J. Polym. Sci. Part A 1962, 56, 383–389. [Google Scholar] [CrossRef]
- Klepac, D.; Ščetar, M.; Baranović, G.; Galić, K.; Valić, S. Influence of high doses γ-irradiation on oxygen permeability of linear low-density polyethylene and cast polypropylene films. Radiat. Phys. Chem. 2014, 97, 304–312. [Google Scholar] [CrossRef]
- Djouani, F.; Zahra, Y.; Fayolle, B.; Kunt, M.; Verdu, J. Degradation of epoxy coatings under gamma irradiation. Radiat. Phys. Chem. 2013, 82, 5K4-62. [Google Scholar] [CrossRef]
- Liu, W.; Huang, W.; Song, N.; Wu, Y.; Zhao, X.; Chen, K. Effect of stoichiometry on chemical structure, dielectric and mechanical properties of epoxy resin under gamma irradiation. Radiat. Phys. Chem. 2023, 202, 110551. [Google Scholar] [CrossRef]
- Darwesh, R.; Sayyed, M.I.; Al-Hadeethi, Y.; Alasali, H.J.; Alotaibi, J.S. Enhanced radiation shielding performance of epoxy resin composites with Sb2O3 and Al2O3 additives. Radiat. Phys. Chem. 2023, 213, 111247. [Google Scholar] [CrossRef]
- Kumar, V.; Arya, N.K.; Ullas, A.V.; Ji, G. Coating of epoxy resin and MMT clay nano-composite on copper and examination of their corrosion behaviours in NaCl. Mater. Today Proc. 2023. [Google Scholar] [CrossRef]
- Patwary, F.; Mittal, V. Degradable polyethylene nanocomposites with silica, silicate and thermally reduced graphene using oxo-degradable pro-oxidant. Helycon 2015, 1, e00050. [Google Scholar] [CrossRef]
- Liu, Y.; Zhang, S.; Pei, X.; Shi, H.; Li, D.; Xu, Z.; Li, S.; Xue, Y.; Song, L. Free radical scavenging behavior of multidimensional nanomaterials in γ-irradiated epoxy resin and mechanical and thermal performance of γ-irradiated composites. Compos. Part C-Open Access 2021, 4, 100095. [Google Scholar] [CrossRef]
- Tamada, M. Radiation processing of polymers and its applications. In Radiation Applications an Advanced Course in Nuclear Engineering; Kudo, H., Ed.; Springer: Singapore, 2018; Volume 7, pp. 63–80. [Google Scholar]
- Coqueret, X.; Ranoux, G. Fundamental aspects of radiation induced curing of composites. In Applications of Ionizing Radiation in Materials Processing; Sun, Y., Chmielewski, A.G., Eds.; Institute of Nuclear Chemistry and Technology: Warszawa, Poland, 2017; Volume 2, pp. 275–516. [Google Scholar]
- Schweinsberg, D.P.; George, G.A. A chemiluminescence study of the properties and degradation of epoxy resins as coatings. Corros. Sci. 1989, 26, 331–340. [Google Scholar] [CrossRef]
- Rychlý, J.; Rychlá, L.; Stloukal, P.; Koutný, M.; Pekarová, S.; Verney, V.; Fiedlerová, A. UV initiated oxidation and chemiluminescence from aromatic-aliphatic co-polyesters and polylactic acid. Polym. Degrad. Stab. 2013, 98, 2556–2563. [Google Scholar] [CrossRef]
- Kissinger, H.E. Reaction kinetics in differential thermal analysis. Anal. Chem. 1957, 29, 1702–1706. [Google Scholar] [CrossRef]
- Zlatkevich, L. Luminescence Techniques in Solid State Polymer Research; Marcel Dekker Inc.: New York, NY, USA, 1989. [Google Scholar]
- Rychlý, J.; Rychlá, L.; Novák, I.; Vanko, V.; Preťo, J.; Janigová, I.; Chodák, I. Thermooxidative stability of hot melt adhesives based on metallocene polyolefins grafted with polar acrylic acid moieties. Polym. Test. 2020, 85, 106422. [Google Scholar]
- Bolland, J.L.; Gee, G. Kinetic studies in the chemistry of rubber and related materials. III. Thermochemistry and mechanisms of olefin oxidation. Trans. Faraday Soc. 1946, 42, 244–252. [Google Scholar] [CrossRef]
- Ding, R.; Liu, X.; Yu, H.; Shi, S.Q.; Han, G.; Cheng, W. Effects of different oxidation systems on the interfacial properties of bamboo fiber/epoxy resin composites. Surf. Interface 2024, 45, 103843. [Google Scholar] [CrossRef]
- Zhou, C.; Chen, Q.; Zhao, J.; Wang, S.; Li, J.; Ai, L.; Li, T.; Hu, C. Superhydrophobic epoxy resin coating with composite nanostructures for metal protection. Mater. Today 2024, 38, 107803. [Google Scholar] [CrossRef]
- Bracco, P.; Costa, L.; Luda, M.P.; Billingham, N. A review of experimental studies of the role of free-radicals in polyethylene oxidation. Polym. Degrad. Stab. 2018, 155, 63–67. [Google Scholar] [CrossRef]
- Visakh, P.M.; Nazarenko, O.B.; Chandran, C.S.; Melnikova, T.V.; Nazarenko, S.Y.; Kim, J.-C. Effect of electron beam irradiation on thermal and mechanical properties of aluminum based epoxy composites. Radiat. Phys. Chem. 2017, 136, 17–22. [Google Scholar] [CrossRef]
- Saiyad, M.; Devashrayee, N.M. Lifetime estimation of epoxy based composite materials on irradiating with gamma radiation for shielding applications. Polym. Test. 2022, 93, 106929. [Google Scholar] [CrossRef]
- Dean, J.A. (Ed.) Lange’s Handbook of Chemistry, 15th ed.; McGraw Hill: New York, NY, USA, 1999; pp. 4.41–4.42. [Google Scholar]
- Cellina, M.; Quintana, A.; Giron, N.; Dayile, A. A Perspective on the Inherent Sensitivity of Epoxy Materials. Report SAND2013-0836C, 2013. Available online: https://www.osti.gov/servlets/purl/1145369 (accessed on 20 December 2023).
- Hu, H.; Zhang, M.; Liu, W.; Wang, C.; Xiang, C.; Kong, C. Mechanical and erosive wear performances of natural bamboo fibers/SiO2/epoxy ternary composites. Polym. Test. 2023, 124, 108058. [Google Scholar] [CrossRef]
- Li, S.; Lin, J.; Wan, H.; Min, J. Role of imperfect coordination of amorphous metal oxide in its chemical reaction with epoxy resin in metal−polymer hybrid material. Appl. Polym. Sci. 2023, 641, 158476. [Google Scholar] [CrossRef]
- Jothi Arunachalam, S.; Saravanan, R. Study on filler reinforcement in polymer matrix composites—A review. Mater. Today Proc. 2023. [Google Scholar] [CrossRef]
- Ferry, M.; Ngono, Y. Energy transfer in polymers submitted to ionizing radiation: A review. Radiat. Phys. Chem. 2021, 180, 109320. [Google Scholar] [CrossRef]
- Alessi, S.; Parlato, A.; Dispenza, C.; De Maria, M.; Spadaro, G. The influence of the processing temperature on gamma curing of epoxy resins for the production of advanced composites. Radiat. Phys. Chem. 2007, 76, 1347–1350. [Google Scholar] [CrossRef]
- Dole, M. Radiation chemistry of polymer composites. Int. J. Radiat. Appl. Instrum. Part C Radiat. Phys. Chem. 1991, 37, 65–70. [Google Scholar] [CrossRef]
- Kornacka, E.M. Radiation-induced oxidation in polymers. In Applications of Ionizing Radiation in Materials Processing; Sun, Y., Chmielewski, A.G., Eds.; Institute of Nuclear Chemistry and Technology: Warszawa, Poland, 2017; Volume 1, pp. 183–192. [Google Scholar]
- Kumar, S.; Sarita; Nehra, M.; Dilbaghi, N.; Tankeshwar, K.; Kim, K.-H. Recent advances and remaining challenges for polymeric nanocomposites in healthcare applications. Prog. Polym. Sci. 2018, 80, 1–38. [Google Scholar] [CrossRef]
- Soni, A.; Das, P.K.; Gupta, S.K. Experimental investigations on the influence of natural reinforcements on tribological performance of sustainable nanocomposites: A comparative study with polymer technology. Tribol. Int. 2023, 191, 109195. [Google Scholar] [CrossRef]
- Abdalsalam, A.H.; Şakar, E.; Kaky, K.M.; Mhareb, M.H.A.; Şakar, B.C.; Sayyed, M.I.; Gürol, A. Investigation of gamma ray attenuation features of bismuth oxide nano powder reinforced high-density polyethylene matrix composites. Radiat. Phys. Chem. 2020, 168, 108537. [Google Scholar] [CrossRef]
- An, N.; Tandon, G.P.; Pochiraju, K.V. Thermo-oxidative performance of metal-coated polymers and composites. Surf. Coat. Technol. 2013, 232, 166–172. [Google Scholar] [CrossRef]
- Zaharescu, T.; Jipa, S.; Giurginca, M. Radiochemical processing of EPDM/NB blends. J. Macromol. Sci. Pure Appl. Chem. 1998, A35, 1093–1102. [Google Scholar] [CrossRef]
- Jiao, L.; Zhao, X.; Guo, Z.; Chen, Y.; Wu, Z.; Yang, Y.; Wang, M.; Ge, X.; Lin, M. Effect of γ-irradiation on the properties of functionalized carbon-doped boron nitride reinforced epoxy resin composite. Polym. Degrad. Stab. 2022, 206, 110167. [Google Scholar] [CrossRef]
- El-Rahman, M.A.; Yassien, K.M.; Yassene, A.A.M. Effect of gamma irradiation on the optical properties of epoxy resin thin films. Optik 2019, 183, 962–970. [Google Scholar] [CrossRef]
- Ji, Z.; Zhang, F.; Chen, H.; Shen, R.; He, W.; Xing, Z.; Wu, G. Study on the species and stability of free radicals in bisphenol-A based epoxy resin induced by γ irradiation up to 1000 kGy. Radiat. Phys. Chem. 2022, 197, 110220. [Google Scholar] [CrossRef]
- Tagawa, S.; Washio, M.; Hayashi, N.; Tabata, Y. Pulse radiolysis studies on radiation resistance of epoxy resins. Radiat. Phys. Chem. 1985, 133/134, 785–787. [Google Scholar] [CrossRef]
- Romanov, V.A.; Khorasanov, G.L.; Konstantinov, I.O.; Smolyanskii, A.S.; Klinshpont, E.R.; Tupikov, V.I.; Milinchuk, V.K. Durability changes of epoxy resins under action of protons and gamma rays. Radiat. Phys. Chem. 1995, 46, 863–866. [Google Scholar] [CrossRef]







Disclaimer/Publisher’s Note: The statements, opinions and data contained in all publications are solely those of the individual author(s) and contributor(s) and not of MDPI and/or the editor(s). MDPI and/or the editor(s) disclaim responsibility for any injury to people or property resulting from any ideas, methods, instructions or products referred to in the content. |
© 2024 by the authors. Licensee MDPI, Basel, Switzerland. This article is an open access article distributed under the terms and conditions of the Creative Commons Attribution (CC BY) license (https://creativecommons.org/licenses/by/4.0/).
Share and Cite
Zaharescu, T.; Mirea, R.; Borbath, T.; Borbath, I. Stability Qualification of Resins/Metallic Oxide Composites for Surface Oxidative Protection. Polymers 2024, 16, 333. https://doi.org/10.3390/polym16030333
Zaharescu T, Mirea R, Borbath T, Borbath I. Stability Qualification of Resins/Metallic Oxide Composites for Surface Oxidative Protection. Polymers. 2024; 16(3):333. https://doi.org/10.3390/polym16030333
Chicago/Turabian StyleZaharescu, Traian, Radu Mirea, Tunde Borbath, and Istvan Borbath. 2024. "Stability Qualification of Resins/Metallic Oxide Composites for Surface Oxidative Protection" Polymers 16, no. 3: 333. https://doi.org/10.3390/polym16030333
APA StyleZaharescu, T., Mirea, R., Borbath, T., & Borbath, I. (2024). Stability Qualification of Resins/Metallic Oxide Composites for Surface Oxidative Protection. Polymers, 16(3), 333. https://doi.org/10.3390/polym16030333

