Synthesis of Cyclic Oligomers of Polyether Ketone Ketone (PEKK) for Ring-Opening Polymerisation (ROP) Applications
Abstract
1. Introduction
2. Materials and Methods
2.1. Materials and Analytical Equipment
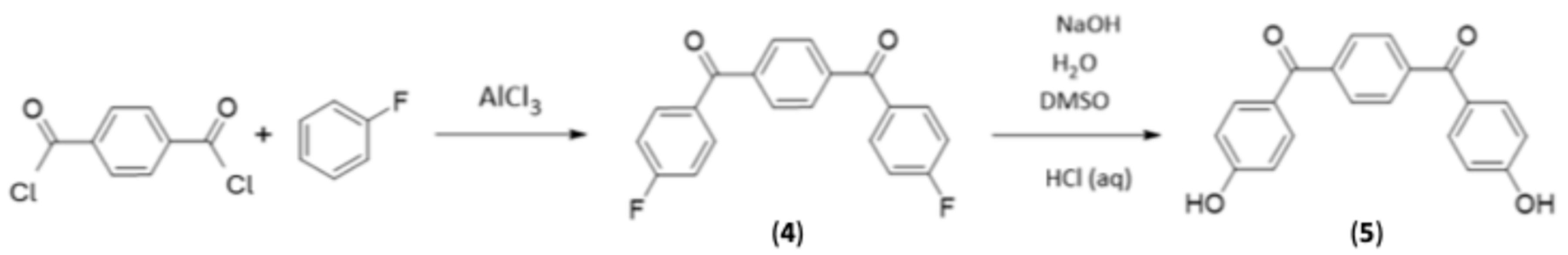
2.2. Synthetic Method
- Synthesis of 1,3-phenylenebis((4-fluorophenyl)methanone) (1)
- Synthesis of 1,3-phenylenebis((4-hydroxyphenyl)methanone) (2)
- Synthesis of cyclic oligomers of m-PEKK (3)
- Synthesis of 1,4-phenylenebis((4-fluorophenyl)methanone) (4)
- Synthesis of 1,4-phenylenebis((4-hydroxyphenyl)methanone) (5)
- Synthesis of cyclic oligomers of p-PEKK (6)
- Polymerisation of MCOs
- Thioketal derivatisation of polymer
3. Results and Discussion
3.1. Reaction Optimisation
3.1.1. MALDI-ToF Results
3.1.2. X-Ray Crystallography
3.2. Adaptation for Industry-Relevant T/I Blends
3.3. Polymerisation and DSC
3.4. GPC Analysis of Polymers
4. Conclusions
Supplementary Materials
Author Contributions
Funding
Institutional Review Board Statement
Data Availability Statement
Acknowledgments
Conflicts of Interest
Abbreviations
References
- Trivedi, P.D. Polyaryl Ether Ketones (PAEK). In Specialty Thermoplastics; Trivedi, P.D., Ed.; Hanser: Munich, Germany, 2023; pp. 147–230. [Google Scholar]
- Veazey, D.; Hsu, T.; Gomez, E.D. Next generation high-performance carbon fiber thermoplastic composites based on polyaryletherketones. J. Appl. Polym. Sci. 2017, 134, 44441. [Google Scholar] [CrossRef]
- Sudhin, A.U.; Remanan, M.; Ajeesh, G.; Jayanarayanan, K. Comparison of properties of carbon fiber reinforced thermoplastic and thermosetting composites for aerospace applications. Mater. Today Proc. 2020, 24, 453–462. [Google Scholar] [CrossRef]
- Kafi, A.; Wu, H.; Langston, J.; Atak, O.; Kim, H.; Kim, S.; Fahy, W.P.; Reber, R.; Misasi, J.; Bateman, S.; et al. Evaluation of additively manufactured ultraperformance polymers to use as thermal protection systems for spacecraft. J. Appl. Polym. Sci. 2020, 137, 49117. [Google Scholar] [CrossRef]
- Le, G.; Jouanneau, J.; Amstutz, J. Method for Synthesizing Polyaryletherketones. U.S. Patent, US10280246 B2, 7 May 2019. [Google Scholar]
- Coulson, M.; Quiroga Cortés, L.; Dantras, E.; Lonjon, A.; Lacabanne, C. Dynamic rheological behavior of poly(ether ketone ketone) from solid state to melt state. J. Appl. Polym. Sci. 2018, 135, 46456. [Google Scholar] [CrossRef]
- Gardner, K.H.; Hsiao, B.S.; Matheson, R.R.; Wood, B.A. Structure, crystallization and morphology of poly (aryl ether ketone ketone). Polymer 1992, 33, 2483–2495. [Google Scholar] [CrossRef]
- Hodge, P. Entropically driven ring-opening polymerization of strainless organic macrocycles. Chem. Rev. 2014, 114, 2278–2312. [Google Scholar] [CrossRef] [PubMed]
- Colquhoun, H.M.; Dudman, C.C.; Thomas, M.; O’Mahoney, C.A.; Williams, D.J. Synthesis, structure, and ring-opening polymerisation of strained macrocyclic biaryls: A new route to high-performance materials. J. Chem. Soc. Chem. Commun. 1990, 336–339. [Google Scholar] [CrossRef]
- Guo, Q.Z.; Wang, H.H.; Wu, J.Y.; Guo, D.; Chen, T.L. Synthesis and ring-opening polymerization of macrocyclic aryl ketone oligomers. Polym. Adv. Technol. 2010, 21, 290–295. [Google Scholar] [CrossRef]
- Wang, Y.-F.; Chan, K.P.; Hay, A.S. Ring-opening polymerization of macrocyclic aryl ether ketone oligomers containing the 1,2-dibenzoylbenzene moiety. J. Polym. Sci. Part A Polym. Chem. 1996, 34, 375–385. [Google Scholar] [CrossRef]
- Ben-Haida, A.; Colquhoun, H.M.; Hodge, P.; Williams, D.J. Cyclic oligomers of poly(ether ketone) (PEK): Synthesis, extraction from polymer, fractionation, and characterisation of the cyclic trimer, tetramer and pentamer. J. Mater. Chem. 2000, 10, 2011–2016. [Google Scholar] [CrossRef]
- Misasi, J.M.; Dao, B.N.; Dell’Olio, C.; Swan, S.R.; Issadazeh, S.; Wiggins, J.S.; Varley, R.J. Polyaryletherketone (PAEK) thermoplastic composites via in-situ ring opening polymerisation. Compos. Sci. Technol. 2021, 201, 108534. [Google Scholar] [CrossRef]
- Fukawa, I.; Tanabe, T.; Hachiya, H. Trans-etherification of aromatic polyetherketone and trans-etherification between aromatic polyetherketone and aromatic polyethersulfone. Polym. J. 1992, 24, 173–186. [Google Scholar] [CrossRef]
- Teasley, M.F.; Wu, D.Q.; Harlow, R.L. Synthesis, characterization, and ring-opening polymerization of the cyclic oligomers of poly(oxy-1,3-phenylenecarbonyl-1,4-phenylene). Macromolecules 1998, 31, 2064–2074. [Google Scholar] [CrossRef]
- Jiang, H.; Chen, T.; Qi, Y.; Xu, J. Macrocyclic oligomeric arylene ether ketones: Synthesis and polymerization. Polym. J. 1998, 30, 300–303. [Google Scholar] [CrossRef][Green Version]
- Okabayashi, R.; Shirai, K.I.; Ohba, R.; Katoh, T.; Ohta, Y.; Yokozawa, T. Introduction of end groups into cyclic poly(ether sulfone) by means of transetherification with bis(aryloxyphenyl) sulfone. J. Polym. Sci. 2023, 62, 1323–1330. [Google Scholar] [CrossRef]
- Colquhoun, H.M.; Zolotukhin, M.G.; Sestiaa, L.G.; Aricó, F.; Zhu, Z.; Hodge, P.; Ben-Haida, A.; Williams, D.J. Microfabrication of high-performance aromatic polymers as nanotubes or fibrils by in situ ring-opening polymerisation of macrocyclic precursors. J. Mater. Chem. 2003, 13, 1504–1506. [Google Scholar] [CrossRef]
- Dijkstra, G.; Kruizinga, W.H.; Kellogg, R.M. An assessment of the causes of the “cesium effect”. J. Org. Chem. 1987, 52, 4230–4234. [Google Scholar] [CrossRef]
- Croshaw, C.; Hamernik, L.; Ghanbari, L.; Browning, A.; Wiggins, J. Melt-state degradation mechanism of poly (ether ketone ketone): The role of branching on crystallization and rheological behavior. Polym. Degrad. Stab. 2022, 200, 109968. [Google Scholar] [CrossRef]
- Colquhoun, H.M.; Hodge, P.; Paoloni, F.P.V.; McGrail, P.T.; Cross, P. Reversible, nondegradative conversion of crystalline aromatic poly(ether ketone)s into organo-soluble poly(ether dithioketal)s. Macromolecules 2009, 42, 1955–1963. [Google Scholar] [CrossRef]
- Chen, M.; Gibson, H.W. Large-sized macrocyclic monomeric precursors of poly(ether ether ketone): Synthesis and polymerization. Macromolecules 1996, 29, 5502–5504. [Google Scholar] [CrossRef]






















| Polymer | Purified Yield (%) Against Molecular Sieve Type | |||
|---|---|---|---|---|
| p-PEKK MCO (6) | K2CO3 | K2CO3 + 3 Å Sieves | Cs2CO3 | Cs2CO3 + 3 Å Sieves |
| 22.6% | 15.9% | 41.0% | 11.2% | |
| m-PEKK MCO (3) | K2CO3 | Cs2CO3 | ||
| 60.2% | 91.4% | |||
| Desired T/I Ratio of MCO | 1,4-Phenylenebis((4-hydroxyphenyl)methanone) (5) | 1,3-Phenylenebis((4-hydroxyphenyl)methanone) (2) | Yield | NMR Determination of T/I Ratio |
|---|---|---|---|---|
| 60/40 | 0.25 mmol | 1.01 mmol | 71.6% | 57/43 |
| 70/30 | 0.50 mmol | 0.75 mmol | 84.3% | 67/33 |
| 80/20 | 0.75 mmol | 0.50 mmol | 80.6% | 85/15 |
| MCO Sample | Tg |
|---|---|
| m-PEKK (3) | 151 °C |
| p-PEKK (6) | 162 °C |
| 60/40 T/I PEKK (7) | 154 °C |
| 70/30 T/I PEKK (8) | 155 °C |
| 80/20 T/I PEKK (9) | 160 °C |
| Polymer Sample | Peak | Mn | Mw | Polydispersity |
|---|---|---|---|---|
| m-PEKK | 20,000 g/mol | 22,000 g/mol | 38,000 g/mol | 1.77 |
| Arkema 6002 | 37,000 g/mol | 19,000 g/mol | 46,000 g/mol | 2.45 |
Disclaimer/Publisher’s Note: The statements, opinions and data contained in all publications are solely those of the individual author(s) and contributor(s) and not of MDPI and/or the editor(s). MDPI and/or the editor(s) disclaim responsibility for any injury to people or property resulting from any ideas, methods, instructions or products referred to in the content. |
© 2024 by the authors. Licensee MDPI, Basel, Switzerland. This article is an open access article distributed under the terms and conditions of the Creative Commons Attribution (CC BY) license (https://creativecommons.org/licenses/by/4.0/).
Share and Cite
Szmalko, D.; Evans, R.A.; Dilag, J.; Bateman, S. Synthesis of Cyclic Oligomers of Polyether Ketone Ketone (PEKK) for Ring-Opening Polymerisation (ROP) Applications. Polymers 2024, 16, 3465. https://doi.org/10.3390/polym16243465
Szmalko D, Evans RA, Dilag J, Bateman S. Synthesis of Cyclic Oligomers of Polyether Ketone Ketone (PEKK) for Ring-Opening Polymerisation (ROP) Applications. Polymers. 2024; 16(24):3465. https://doi.org/10.3390/polym16243465
Chicago/Turabian StyleSzmalko, David, Richard A. Evans, Jessirie Dilag, and Stuart Bateman. 2024. "Synthesis of Cyclic Oligomers of Polyether Ketone Ketone (PEKK) for Ring-Opening Polymerisation (ROP) Applications" Polymers 16, no. 24: 3465. https://doi.org/10.3390/polym16243465
APA StyleSzmalko, D., Evans, R. A., Dilag, J., & Bateman, S. (2024). Synthesis of Cyclic Oligomers of Polyether Ketone Ketone (PEKK) for Ring-Opening Polymerisation (ROP) Applications. Polymers, 16(24), 3465. https://doi.org/10.3390/polym16243465

