A Survey on the Effect of the Chemical Composition on the Thermal, Physical, Mechanical, and Dynamic Mechanical Thermal Analysis of Three Brazilian Wood Species
Abstract
1. Introduction
2. Materials and Methods
2.1. Materials
2.2. Composition
2.3. Mechanical Tests and Density
2.4. Statistical Analysis
2.5. Thermal Analysis
2.6. Dynamic Mechanical Thermal Analysis (DMTA)
3. Results and Discussion
3.1. Composition
3.2. Mechanical Tests and Density
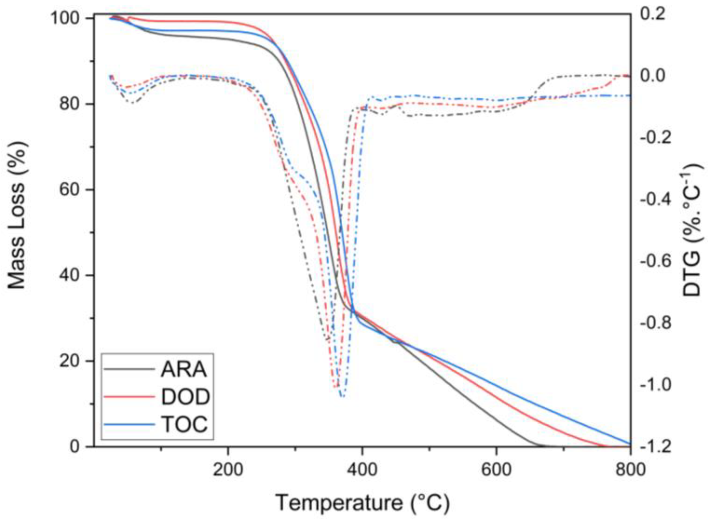
3.3. Thermal Analysis
3.4. Dynamic Mechanical Thermal Analysis (DMTA)
4. Conclusions
Author Contributions
Funding
Institutional Review Board Statement
Data Availability Statement
Acknowledgments
Conflicts of Interest
References
- Arriaga, F.; Wang, X.; Íñiguez-González, G.; Llana, D.F.; Esteban, M.; Niemz, P. Mechanical Properties of Wood: A Review. Forests 2023, 14, 1202. [Google Scholar] [CrossRef]
- de Prá Andrade, M.; Piazza, D.; Poletto, M. Pecan Nutshell: Morphological, Chemical and Thermal Characterization. J. Mater. Res. Technol. 2021, 13, 2229–2238. [Google Scholar] [CrossRef]
- Poletto, M.; Zattera, A.J.; Forte, M.M.C.; Santana, R.M.C. Thermal Decomposition of Wood: Influence of Wood Components and Cellulose Crystallite Size. Bioresour. Technol. 2012, 109, 148–153. [Google Scholar] [CrossRef] [PubMed]
- Dong, X.; Gan, W.; Shang, Y.; Tang, J.; Wang, Y.; Cao, Z.; Xie, Y.; Liu, J.; Bai, L.; Li, J.; et al. Low-Value Wood for Sustainable High-Performance Structural Materials. Nat. Sustain. 2022, 5, 628–635. [Google Scholar] [CrossRef]
- Anushikha; Gaikwad, K.K. Lignin as a UV Blocking, Antioxidant, and Antimicrobial Agent for Food Packaging Applications. Biomass Convers. Biorefin 2023, 14, 16755–16767. [Google Scholar]
- Lu, X.; Gu, X.; Shi, Y. A Review on Lignin Antioxidants: Their Sources, Isolations, Antioxidant Activities and Various Applications. Int. J. Biol. Macromol. 2022, 210, 716–741. [Google Scholar] [CrossRef]
- Mariani, A.; Malucelli, G. Transparent Wood-Based Materials: Current State-of-the-Art and Future Perspectives. Materials 2022, 15, 9069. [Google Scholar] [CrossRef]
- Lahr, F.A.R.; Arroyo, F.N.; Rodrigues, E.F.C.; Almeida, J.P.B.; de Moura Aquino, V.B.; Wolenski, A.R.V.; Dos Santos, H.F.; Ferraz, A.L.N.; Chahud, E.; Molina, J.C.; et al. Models to Estimate Longitudinal Compressive Strength of Brazilian Hardwood Based on Apparent Density. Bioresources 2021, 16, 1373–1381. [Google Scholar] [CrossRef]
- Báder, M.; Németh, R. Moisture-Dependent Mechanical Properties of Longitudinally Compressed Wood. Eur. J. Wood Wood Prod. 2019, 77, 1009–1019. [Google Scholar] [CrossRef]
- Startsev, O.V.; Makhonkov, A.; Erofeev, V.; Gudojnikov, S. Impact of Moisture Content on Dynamic Mechanical Properties and Transition Temperatures of Wood. Wood Mater. Sci. Eng. 2017, 12, 55–62. [Google Scholar] [CrossRef]
- Yang, X.; Berglund, L.A.; Yang, X.; Berglund, A. Structural and Ecofriendly Holocellulose Materials from Wood: Microscale Fibers and Nanoscale Fibrils. Adv. Mater. 2021, 33, 2001118. [Google Scholar] [CrossRef] [PubMed]
- Furtos, G.; Molnar, L.; Silaghi-Dumitrescu, L.; Pascuta, P.; Korniejenko, K. Mechanical and Thermal Properties of Wood Fiber Reinforced Geopolymer Composites. J. Nat. Fibers 2022, 19, 6676–6691. [Google Scholar] [CrossRef]
- Pertuzzatti, A.; Missio, A.L.; de Cademartori, P.H.G.; Santini, E.J.; Haselein, C.R.; Berger, C.; Gatto, D.A.; Tondi, G. Effect of Process Parameters in the Thermomechanical Densification of Pinus Elliottii and Eucalyptus Grandis Fast-Growing Wood. Bioresources 2018, 13, 1576–1590. [Google Scholar] [CrossRef]
- Li, X.; Yue, K.; Zhu, L.; Lv, C.; Wu, J.; Wu, P.; Li, Q.; Xu, C.; Sun, K. Relationships between Wood Properties and Fire Performance of Glulam Columns Made from Six Wood Species Commonly Used in China. Case Stud. Therm. Eng. 2024, 54, 104029. [Google Scholar] [CrossRef]
- Yue, K.; Qian, J.; Wu, P.; Jiao, X.; Lu, D.; Song, X. Experimental Analysis of Thermally-Treated Chinese Poplar Wood with Focus on Structural Application. Ind. Crops Prod. 2023, 197, 116612. [Google Scholar] [CrossRef]
- Qian, J.; Yue, K.; Liu, S.; Lu, D.; Wu, P.; Li, Q. Augmenting Bamboo Strength and Thermal Stability for Sustainable Construction. J. Clean. Prod. 2024, 451, 142073. [Google Scholar] [CrossRef]
- Pereira, P.H.F.; Ornaghi, H.L.; Arantes, V.; Cioffi, M.O.H. Effect of Chemical Treatment of Pineapple Crown Fiber in the Production, Chemical Composition, Crystalline Structure, Thermal Stability and Thermal Degradation Kinetic Properties of Cellulosic Materials. Carbohydr. Res. 2021, 499, 108227. [Google Scholar] [CrossRef]
- Pereira, P.H.F.; Fernandes, L.L.; Santos, L.B.U.; Ornaghi, H.L.; Cioffi, M.O.H. Different Sequential Chemical Treatments Used to Obtain Bleached Cellulose from Orange Bagasse. J. Nat. Fibers 2022, 19, 12849–12861. [Google Scholar] [CrossRef]
- Asim, M.; Paridah, M.T.; Chandrasekar, M.; Shahroze, R.M.; Jawaid, M.; Nasir, M.; Siakeng, R. Thermal Stability of Natural Fibers and Their Polymer Composites. Iran. Polym. J. 2020, 29, 625–648. [Google Scholar] [CrossRef]
- Khan, M.Z.R.; Srivastava, S.K.; Gupta, M.K. A State-of-the-Art Review on Particulate Wood Polymer Composites: Processing, Properties and Applications. Polym. Test. 2020, 89, 106721. [Google Scholar] [CrossRef]
- Sobek, S.; Werle, S. Kinetic Modelling of Waste Wood Devolatilization during Pyrolysis Based on Thermogravimetric Data and Solar Pyrolysis Reactor Performance. Fuel 2020, 261, 116459. [Google Scholar] [CrossRef]
- Wang, W.; Luo, G.; Zhao, Y.; Tang, Y.; Wang, K.; Li, X.; Xu, Y. Kinetic and Thermodynamic Analyses of Co-Pyrolysis of Pine Wood and Polyethylene Plastic Based on Fraser-Suzuki Deconvolution Procedure. Fuel 2022, 322, 124200. [Google Scholar] [CrossRef]
- Sharma, A.; Aravind Kumar, A.; Mohanty, B.; Sawarkar, A.N. Critical Insights into Pyrolysis and Co-Pyrolysis of Poplar and Eucalyptus Wood Sawdust: Physico-Chemical Characterization, Kinetic Triplets, Reaction Mechanism, and Thermodynamic Analysis. Renew. Energy 2023, 210, 321–334. [Google Scholar] [CrossRef]
- Ali, S.; Hussain, S.A.; Mohd Tohir, M.Z.; Nuruddin, A.A. Thermogravimetric Analysis and Pyrolysis Kinetics of Malaysian Wood Species. IOP Conf. Ser. Mater. Sci. Eng. 2020, 811, 012003. [Google Scholar] [CrossRef]
- Liu, H.; Li, M.; Zhao, S.; Mensah, R.A.; Das, O.; Jiang, L.; Xu, Q. Insights into Wood Species and Aging Effects on Pyrolysis Characteristics and Combustion Model by Multi Kinetics Methods and Model Constructions. Renew Energy 2023, 206, 784–794. [Google Scholar] [CrossRef]
- Tabal, A.; Barakat, A.; Aboulkas, A.; El harfi, K. Pyrolysis of Ficus Nitida Wood: Determination of Kinetic and Thermodynamic Parameters. Fuel 2021, 283, 119253. [Google Scholar] [CrossRef]
- Ornaghi, H.L.; Ornaghi, F.G.; Neves, R.M.; Monticeli, F.; Bianchi, O. Mechanisms Involved in Thermal Degradation of Lignocellulosic Fibers: A Survey Based on Chemical Composition. Cellulose 2020, 27, 4949–4961. [Google Scholar] [CrossRef]
- Hill, C.; Altgen, M.; Rautkari, L. Thermal Modification of Wood—a Review: Chemical Changes and Hygroscopicity. J. Mater. Sci. 2021, 56, 6581–6614. [Google Scholar] [CrossRef]
- Bal, B.C.; Bektaş, I. The Effects of Heat Treatment on Some Mechanical Properties of Juvenile Wood and Mature Wood of Eucalyptus Grandis. Drying Technology 2013, 31, 479–485. [Google Scholar] [CrossRef]
- de Jesus, D.S.; Castro, J.P.; Guedes, T.; da Silva, J.R.M.; Latorraca, J.V.d.F.; Nascimento, A.M.d. Assessment of the Acoustic Change in Heat-Treated Pinus Elliottii and Bertholletia Excelsa Wood from Homogeneous Plantations in Brazil. South. For. A J. For. Sci. 2022, 84, 320–324. [Google Scholar] [CrossRef]
- Sharma, M.; Brennan, M.; Chauhan, S.S.; Entwistle, K.M.; Altaner, C.M.; Harris, P.J. Wood Quality Assessment of Pinus Radiata (Radiata Pine) Saplings by Dynamic Mechanical Analysis. Wood Sci Technol 2015, 49, 1239–1250. [Google Scholar] [CrossRef]
- Trevisan, R.; Zanella, A.; Da Silva, F.M.; Rosa, M.; Fioresi, T.; De Oliveira Fortes, F. Axial Variation of Basic Density of Araucaria Angustifolia Wood in Different Diameter Classes. Ciência Rural 2016, 46, 1969–1972. [Google Scholar] [CrossRef]
- De Oliveiraa, R.M.; Brisolaria, A.; Salesb, A.; Gonçalvesa, D. Wettability, Shrinkage and Color Changes of Araucaria Angustifolia After Heating Treatment. Materials Research 2010, 13, 351–354. [Google Scholar] [CrossRef]
- Medina, M.; Flores, M.P.; Ritter, L.J.; Goya, J.F.; Campanello, P.I.; Arturi, M.F. Wood Density and Leaf Traits Independently Relate to Growth Rate of Naturally Regenerated Tree Species in Araucaria Angustifolia Plantations in the Atlantic Forest, Argentina. Can. J. For. Res. 2023, 54, 1–11. [Google Scholar] [CrossRef]
- de Sousa, B.C.M.; de Castro, S.P.; Lourido, K.A.; Kasper, A.A.M.; Paulino, G.d.S.; Delarmelina, C.; Duarte, M.C.T.; Sartoratto, A.; Vieira, T.A.; Lustosa, D.C.; et al. Identification of Coumarins and Antimicrobial Potential of Ethanolic Extracts of Dipteryx Odorata and Dipteryx Punctata. Molecules 2022, 27, 5837. [Google Scholar] [CrossRef]
- de Oliveira Araüjo, S.; Vital, B.R.; Oliveira, B.; de Cássia Oliveira Carneiro, A.; Lourenço, A.; Pereira, H. Physical and Mechanical Properties of Heat Treated Wood from Aspidosperma Populifolium, Dipteryx Odorata and Mimosa Scabrella. Maderas. Cienc. Y Tecnol. 2016, 18, 143–156. [Google Scholar] [CrossRef]
- TAPPI. 204 Solvent Extractives of Wood and Pulp (Proposed Revision of T 204 cm-97); TAPPI: Atlanta, GA, USA, 2007. [Google Scholar]
- TAPPI. 222 om-02: Acid-insoluble lignin in wood and pulp. In 2002–2003 TAPPI Test Methods; TAPPI: Atlanta, GA, USA, 2002. [Google Scholar]
- ASTM D790-17; Standard Test Methods for Flexural Properties of Unreinforced and Reinforced Plastics and Electrical Insulating Materials. ASTM: West Conshohocken, PA, USA, 2017.
- ASTM D638-22; Standard Test Method for Tensile Properties of Plastics. American Society for Testing and Materials: West Conshohocken, PA, USA, 2022.
- ASTM D792; Standard Test Methods for Density and Specific Gravity (Relative Density) of Plastics by Displacement. American Society For Testing Materials: West Conshohocken, PA, USA, 2020.
- Abdullah, T.; Colombani, T.; Alade, T.; Bencherif, S.A.; Memić, A.M. Injectable Lignin-Co-Gelatin Cryogels with Antioxidant and Antibacterial Properties for Biomedical Applications. Biomacromolecules 2021, 22, 4110–4121. [Google Scholar] [CrossRef]
- Mahmood, Z.; Yameen, M.; Jahangeer, M.; Riaz, M.; Ghaffar, A.; Javid, I. Lignin as Natural Antioxidant Capacity. Lignin—Trends Appl. 2018, 10, 181–205. [Google Scholar]
- Gadioli, R.; Waldman, W.R.; De Paoli, M.A. Lignin as a Green Primary Antioxidant for Polypropylene. J. Appl. Polym. Sci. 2016, 133, 43558. [Google Scholar] [CrossRef]
- Trevisan, H.; Rezende, C.A. Pure, Stable and Highly Antioxidant Lignin Nanoparticles from Elephant Grass. Ind. Crops Prod. 2020, 145, 112105. [Google Scholar] [CrossRef]
- Hosseinaei, O.; Wang, S.; Enayati, A.A.; Rials, T.G. Effects of Hemicellulose Extraction on Properties of Wood Flour and Wood–Plastic Composites. Compos. Part. A Appl. Sci. Manuf. 2012, 43, 686–694. [Google Scholar] [CrossRef]
- Salmén, L. On the Organization of Hemicelluloses in the Wood Cell Wall. Cellulose 2022, 29, 1349–1355. [Google Scholar] [CrossRef]
- de Sá Barros, S.; Pessoa, W.A., Jr.; Júnior, A.C.; Borges, Z.V.; Poffo, C.M.; Regis, D.M.; de Freitas, F.A.; Manzato, L. Value Aggregation of Pine (Araucaria Angustifolia) Nuts Agro-Industrial Waste by Cellulose Extraction. Res. Soc. Dev. 2021, 10, e270101018836. [Google Scholar] [CrossRef]
- Monticeli, F.M.; Almeida, J.H.S., Jr.; Neves, R.M.; Ornaghi, F.G.; Ornaghi, H.L. On the 3D Void Formation of Hybrid Carbon/Glass Fiber Composite Laminates: A Statistical Approach. Compos. Part. A Appl. Sci. Manuf. 2020, 137, 106036. [Google Scholar] [CrossRef]
- Xie, Y.; Wang, Q.; Fu, Q.; Wang, Q.; Xiao, Z.; Militz, H. Effects of Chemical Modification on the Mechanical Properties of Wood. Eur. J. Wood Wood Prod. 2013, 71, 401–416. [Google Scholar] [CrossRef]
- Jakob, M.; Mahendran, A.R.; Gindl-Altmutter, W.; Bliem, P.; Konnerth, J.; Müller, U.; Veigel, S. The Strength and Stiffness of Oriented Wood and Cellulose-Fibre Materials: A Review. Prog. Mater. Sci. 2022, 125, 100916. [Google Scholar] [CrossRef]
- Agustin-Salazar, S.; Cerruti, P.; Medina-Juárez, L.Á.; Scarinzi, G.; Malinconico, M.; Soto-Valdez, H.; Gamez-Meza, N. Lignin and Holocellulose from Pecan Nutshell as Reinforcing Fillers in Poly (Lactic Acid) Biocomposites. Int. J. Biol. Macromol. 2018, 115, 727–736. [Google Scholar] [CrossRef]
- Cavinato, C.D.; Poletto, M.; Cavinato, C.D.; Poletto, M. Kinetic Analysis of Thermal Degradation of Cedrela Odorata, Marmaroxylon Racemosum and Tectona Grandis from Timber Industry. Maderas. Ciencia tecnología 2021, 23, 1–10. [Google Scholar] [CrossRef]
- Yang, H.; Yan, R.; Chen, H.; Lee, D.H.; Zheng, C. Characteristics of Hemicellulose, Cellulose and Lignin Pyrolysis. Fuel 2007, 86, 1781–1788. [Google Scholar] [CrossRef]
- Zhang, J.; Choi, Y.S.; Yoo, C.G.; Kim, T.H.; Brown, R.C.; Shanks, B.H. Cellulose-Hemicellulose and Cellulose-Lignin Interactions during Fast Pyrolysis. ACS Sustain. Chem. Eng. 2015, 3, 293–301. [Google Scholar] [CrossRef]
- Broda, M.; Spear, M.J.; Curling, S.F.; Dimitriou, A. Effects of Biological and Chemical Degradation on the Properties of Scots Pine—Part II: Wood-Moisture Relations and Viscoelastic Behaviour. Forests 2022, 13, 1390. [Google Scholar] [CrossRef]
- Ashaduzzaman, M.; Hale, M.D.; Ormondroyd, G.A.; Spear, M.J. Dynamic Mechanical Analysis of Scots Pine and Three Tropical Hardwoods. Int. Wood Prod. J. 2020, 11, 189–203. [Google Scholar] [CrossRef]
- Jambreković, B.; Bajsić, E.G.; Španić, N.; Sedlar, T.; Sinković, T. Viscoelastic and Thermal Properties of Styrene Modified Fir Wood. Polymers 2022, 14, 786. [Google Scholar] [CrossRef] [PubMed]







| Sample | Cellulose (%) | *CV (%) | Hemicellulose (%) | *CV (%) | Lignin (%) | *CV (%) | Extractives (%) | *CV (%) | Ash (%) | *CV (%) |
|---|---|---|---|---|---|---|---|---|---|---|
| ARA | 49.9 ± 0.3 | 0.7 | 9.1 ± 1.8 | 20.2 | 26.8 ± 3.3 | 12.4 | 3.48 ± 1.0 | 28.0 | 0.33 ± 0.1 | 35.8 |
| DOD | 45.9 ± 3.3 | 7.1 | 7.4 ± 0.1 | 1.3 | 31.8 ± 2.5 | 8.0 | 5.33 ± 0.6 | 11.3 | 0.30 ± 0.1 | 6.9 |
| TOC | 27.9 ± 2.9 | 9.4 | 9.7 ± 2.3 | 23.8 | 48.9 ± 0.9 | 1.9 | 4.98 ± 0.1 | 8.6 | 0.28 ± 0.1 | 15.1 |
| Sample | Density cm−3) | Tensile Strength (MPa) | Young’s Modulus (GPa) | Elongation at Breaking (%) | Flexural Strength (MPa) | Flexural Modulus (GPa) |
|---|---|---|---|---|---|---|
| ARA | 0.486 ± 0.031 | 67.67 ± 14.6 | 0.63 ± 0.5 | 12.9 ± 1.9 | 134.0 ± 18.7 | 9.85 ± 3.7 |
| DOD | 1.059 ± 0.017 | 65.05 ± 31.7 | 1.49 ± 0.3 | 6.8 ± 1.8 | 294.6 ± 38.5 | 30.46 ± 2.8 |
| TOC | 0.906 ± 0.012 | 112.70 ± 32.2 | 1.57 ± 0.2 | 10.0 ± 2.1 | 184.0 ± 25.4 | 13.64 ± 5.4 |
| Molecular Transitions | |||
|---|---|---|---|
| Sample | γ (°C) | β (°C) | α (°C) |
| ARA | −89.3 | −23.9 | 103.7 |
| DOD | −92.7 | 12.9 | 128.1 |
| TOC | −95.0 | 2.2 | 135.9 |
| Sample | E′ at 25 °C (GPa) | E″ at 25 °C (GPa) | Tan δ at 25 °C | Tan δ Peak Height | E′ at 25 °C (GPa) |
|---|---|---|---|---|---|
| ARA | 16.97 | 0.57 | 0.034 | 0.089 | 16.97 |
| DOD | 30.16 | 0.62 | 0.020 | 0.130 | 30.16 |
| TOC | 13.43 | 0.29 | 0.022 | 0.082 | 13.43 |
Disclaimer/Publisher’s Note: The statements, opinions and data contained in all publications are solely those of the individual author(s) and contributor(s) and not of MDPI and/or the editor(s). MDPI and/or the editor(s) disclaim responsibility for any injury to people or property resulting from any ideas, methods, instructions or products referred to in the content. |
© 2024 by the authors. Licensee MDPI, Basel, Switzerland. This article is an open access article distributed under the terms and conditions of the Creative Commons Attribution (CC BY) license (https://creativecommons.org/licenses/by/4.0/).
Share and Cite
Andrade, M.d.P.; Ornaghi, H.L., Jr.; Monticeli, F.M.; Poletto, M.; Zattera, A.J. A Survey on the Effect of the Chemical Composition on the Thermal, Physical, Mechanical, and Dynamic Mechanical Thermal Analysis of Three Brazilian Wood Species. Polymers 2024, 16, 2651. https://doi.org/10.3390/polym16182651
Andrade MdP, Ornaghi HL Jr., Monticeli FM, Poletto M, Zattera AJ. A Survey on the Effect of the Chemical Composition on the Thermal, Physical, Mechanical, and Dynamic Mechanical Thermal Analysis of Three Brazilian Wood Species. Polymers. 2024; 16(18):2651. https://doi.org/10.3390/polym16182651
Chicago/Turabian StyleAndrade, Matheus de Prá, Heitor Luiz Ornaghi, Jr., Francisco Maciel Monticeli, Matheus Poletto, and Ademir José Zattera. 2024. "A Survey on the Effect of the Chemical Composition on the Thermal, Physical, Mechanical, and Dynamic Mechanical Thermal Analysis of Three Brazilian Wood Species" Polymers 16, no. 18: 2651. https://doi.org/10.3390/polym16182651
APA StyleAndrade, M. d. P., Ornaghi, H. L., Jr., Monticeli, F. M., Poletto, M., & Zattera, A. J. (2024). A Survey on the Effect of the Chemical Composition on the Thermal, Physical, Mechanical, and Dynamic Mechanical Thermal Analysis of Three Brazilian Wood Species. Polymers, 16(18), 2651. https://doi.org/10.3390/polym16182651

