A Novel Composite Material UiO-66-Br@MBC for Mercury Removal from Flue Gas: Preparation and Mechanism
Abstract
1. Introduction
2. Materials and Methods
2.1. Preparation of Samples
2.1.1. UiO-66/UiO-66-Br
2.1.2. Modified Biochar
2.1.3. UiO-66-Br@MBC Composites
2.2. Characterization
2.3. Experiment System
2.4. GCMC Simulation
3. Results
3.1. Physical and Chemical Characteristics
3.1.1. Crystal Structure
3.1.2. Surface Chemical Characteristics
3.1.3. Pore Structure
3.1.4. Microscopic Morphology
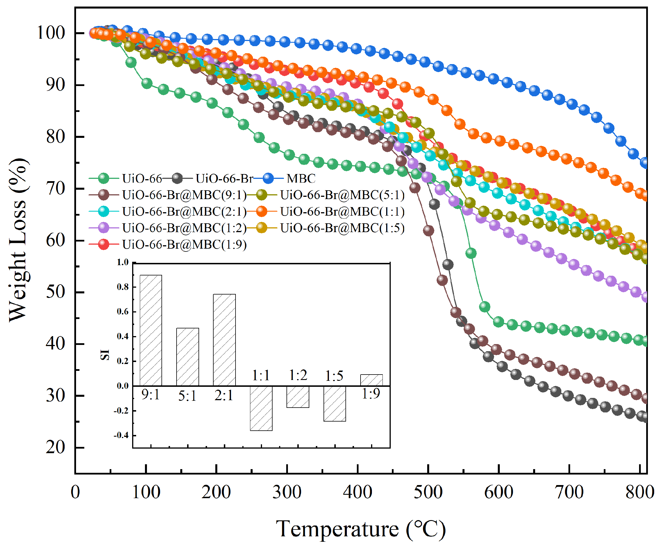
3.1.5. Thermal Stability
3.2. Hg0 Removal Performance
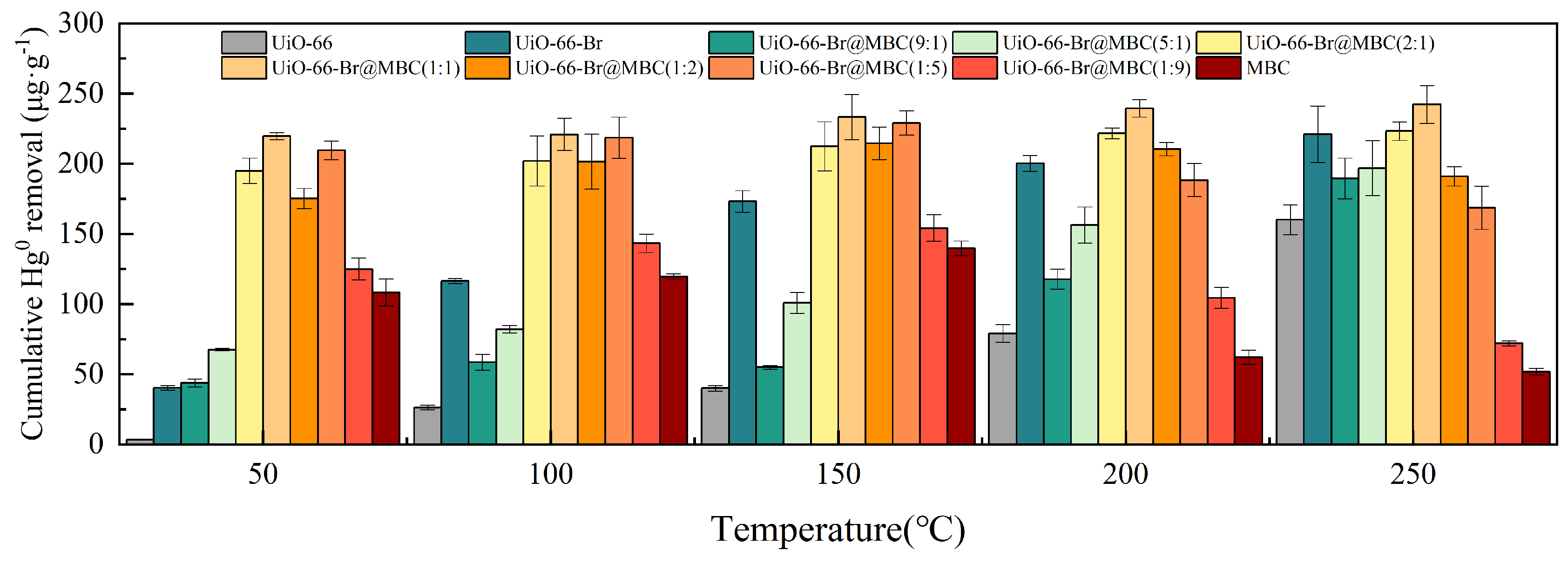
3.2.1. Effect of Adsorption Temperature
3.2.2. Effect of Composite Ratio
3.3. Hg0 Removal Mechanism
3.3.1. Diffusion of Hg0 in MOFs
3.3.2. Elemental Valence
3.3.3. Temperature-Programmed Desorption
3.3.4. Hg0 Removal Mechanism
4. Conclusions
- For the UiO-66-Br@MBC composite samples with different composite ratios obtained by the in situ growth method, the Hg0 removal performance was significantly improved, and the two materials could strongly interact with each other, achieving the directional configuration of adsorption sites and oxidation sites while having excellent thermal stability. Among them, UiO-66-Br@MBC(1:1), as the optimal sample, has a rich pore structure with the highest ratio of mesopores to micropores and excellent chemical properties on the surface, which corresponds to a stable Hg0 removal rate of about 0.5% in 3 h and a cumulative removal of up to 233.22 μg/g.
- The oxygen-containing functional groups in MBC can combine with the unsaturated Zr4+ in the MOFs material during the composite process, and the introduced metal ions can also form new metal–liganded hydroxyl functional groups with those in the organic ligand, thus realizing the anchoring of UiO-66-Br on the surface of MBC. As a carrier, MBC gave full play to the role of the carrier active component, and the two together constructed a large number of Hg0 adsorption/oxidation active sites, which promoted the samples to synergistically remove Hg0 substantially on the basis of improving the oxygen-uptake-and-release cycling ability of the metal oxides.
- The removal of Hg0 by the composites is divided into two stages: adsorption and oxidation. The physical adsorption sites are the micropores and smaller pore size mesopores in the pores, while the unsaturated central metal and abundant oxygen-containing functional groups on the zirconium–oxygen clusters act as the chemical adsorption sites. The metal ions, lattice oxygen, chemisorbed oxygen, and-Br introduced during the composite process as the main oxidation sites, together with the adsorption sites, form a stable removal reaction system on the surface of the composite UiO-66-Br@MBC.
Supplementary Materials
Author Contributions
Funding
Institutional Review Board Statement
Data Availability Statement
Conflicts of Interest
References
- Jang, H.-N.; Back, S.-K.; Sung, J.-H.; Kang, Y.-S.; Jurng, J.; Seo, Y.-C. The Simultaneous Capture of Mercury and Fine Particles by Hybrid Filter with Powder Activated Carbon Injection. Environ. Pollut. 2018, 237, 531–540. [Google Scholar] [CrossRef] [PubMed]
- Li, B.; Zhang, Q.-L.; Zhou, C. Effect of Flue Gas Purification Facilities of Coal-Fired Power Plants on Mercury Emission. In Proceedings of the 2016 International Conference on Energy Development and Environmental Protection (EDEP 2016), Guiyjiang, China, 23–25 July 2016; Destech Publications, Inc.: Lancaster, UK, 2016; pp. 274–278. [Google Scholar]
- Winarta, J.; Shan, B.; Mcintyre, S.M.; Ye, L.; Wang, C.; Liu, J.; Mu, B. A Decade of UiO-66 Research: A Historic Review of Dynamic Structure, Synthesis Mechanisms, and Characterization Techniques of an Archetypal Metal-Organic Framework. Cryst. Growth Des. 2020, 20, 1347–1362. [Google Scholar] [CrossRef]
- Zhao, S.; Huang, W.; Xie, J.; Liu, W.; Qu, Z.; Yan, N. Mercury Removal from Flue Gas Using UiO-66-Type Metal-Organic Frameworks Grafted with Organic Functionalities. Fuel 2021, 289, 119807. [Google Scholar] [CrossRef]
- Zhao, S.; Chen, D.; Xu, H.; Mei, J.; Qu, Z.; Liu, P.; Cui, Y.; Yan, N. Combined Effects of Ag and UiO-66 for Removal of Elemental Mercury from Flue Gas. Chemosphere 2018, 197, 65–72. [Google Scholar] [CrossRef]
- Zhang, H.-M.; Wang, Y.-L.; Zhu, X.-F.; Huang, Z.-Z.; Pang, D.-D.; Wang, K.; Wang, C.-H.; Song, Z.-X.; Yin, S.-Q.; Chang, L.-L.; et al. Application of UiO-66 and Its Composites for Remediation and Resource Recovery of Typical Environmental Contaminants: A Review. Rare Met. 2024, 43, 2498–2526. [Google Scholar] [CrossRef]
- Marczak-Grzesik, M.; Budzyn, S.; Tora, B.; Szufa, S.; Kogut, K.; Burmistrz, P. Low-Cost Organic Adsorbents for Elemental Mercury Removal from Lignite Flue Gas. Energies 2021, 14, 2174. [Google Scholar] [CrossRef]
- Gong, R.; Chen, H.; Rao, X.; Chi, J.; Zhang, Z.; Xu, G.; Chen, D.; Zhou, Q.; Lu, P. Synthesis of Mn/Cu Co-Doping Mesoporous Carbon by Template Method for Gas Phase Mercury Removal. Fuel 2024, 364, 131127. [Google Scholar] [CrossRef]
- Jia, L.; Yu, Y.; Li, Z.; Qin, S.; Guo, J.; Zhang, Y.; Wang, J.; Zhang, J.; Fan, B.; Jin, Y. Study on the Hg Removal Characteristics and Synergistic Mechanism of Iron-Based Modified Biochar Doped with Multiple Metals. Bioresour. Technol. 2021, 332, 125086. [Google Scholar] [CrossRef]
- Li, M.; Qin, K.; Mao, J.; Gong, Y.; Cao, Q.; Zhang, Y.; Duan, C.; Xiao, H. Post-Synthetic Modification on Metal Organic Frameworks Composite for Efficient Removal and Sensitive Detection of Mercury Ions in Water. Chem. Eng. Sci. 2024, 120286. [Google Scholar] [CrossRef]
- Tian, L.; Li, C.; Li, Q.; Zeng, G.; Gao, Z.; Li, S.; Fan, X. Removal of Elemental Mercury by Activated Carbon Impregnated with CeO2. Fuel 2009, 88, 1687–1691. [Google Scholar] [CrossRef]
- Eltaweil, A.S.; Elshishini, H.M.; Ghatass, Z.F.; Elsubruiti, G.M. Ultra-High Adsorption Capacity and Selective Removal of Congo Red over Aminated Graphene Oxide Modified Mn-Doped UiO-66 MOF. Powder Technol. 2021, 379, 407–416. [Google Scholar] [CrossRef]
- Jia, L.; Fan, B.; Yao, Y.; Han, F.; Huo, R.; Zhao, C.; Jin, Y. Study on the Elemental Mercury Adsorption Characteristics and Mechanism of Iron-Based Modified Biochar Materials. Energy Fuels 2018, 32, 12554–12566. [Google Scholar] [CrossRef]
- Hou, X.; Bian, Y.; Jin, L.; Yang, L. Ceria-Based Oxide Catalysts Supported on Metal-Organic Frameworks: Selective Oxidation of Toluene to CO2 and the Doped Metal-Activity Relationship. Catal. Sci. Technol. 2023, 13, 4716–4728. [Google Scholar] [CrossRef]
- Wang, S.; Ai, Z.; Niu, X.; Yang, W.; Kang, R.; Lin, Z.; Waseem, A.; Jiao, L.; Jiang, H.-L. Linker Engineering of Sandwich-Structured Metal-Organic Framework Composites for Optimized Photocatalytic H2 Production. Adv. Mater. 2023, 35, 2302512. [Google Scholar] [CrossRef]
- Wang, J.; Qin, J.; Yang, C.; Hu, Y. Effect of Ligand Substitution in UiO-66 Metal-Organic Frameworks on the Photocatalytic Oxidation of Acetaldehyde. Chemosphere 2023, 340, 139841. [Google Scholar] [CrossRef]
- Mu, X.; Jiang, J.; Chao, F.; Lou, Y.; Chen, J. Ligand Modification of UiO-66 with an Unusual Visible Light Photocatalytic Behavior for RhB Degradation. Dalton Trans. 2018, 47, 1895–1902. [Google Scholar] [CrossRef] [PubMed]
- Zhang, T.; Zhang, J.; Wei, S.; Xiong, Z.; Xiao, R.; Chuai, X.; Zhao, Y. Effect of Hydrothermal Pretreatment on Mercury Removal Performance of Modified Biochar Prepared from Corn Straw. Fuel 2023, 339, 126958. [Google Scholar] [CrossRef]
- Zhang, Z.; Liu, J.; Wang, Z.; Zhang, J. Bimetallic Fe-Cu-Based Metal-Organic Frameworks as Efficient Adsorbents for Gaseous Elemental Mercury Removal. Ind. Eng. Chem. Res. 2021, 60, 781–789. [Google Scholar] [CrossRef]
- Hai, N.D.; Nguyen, M.B.; Tan, V.M.; Huu, N.T.; Phuong, L.B.; Huong, P.T.M.; Nguyen, T.D. Formation of Structural Defects within Fe-UiO-66 for Effective Adsorption of Arsenic from Water. Int. J. Environ. Sci. Technol. 2023, 20, 10075–10088. [Google Scholar] [CrossRef]
- Li, C.; Duan, Y.; Tang, H.; Zhu, C.; Li, Y.; Zheng, Y.; Liu, M. Study on the Hg Emission and Migration Characteristics in Coal-Fired Power Plant of China with an Ammonia Desulfurization Process. Fuel 2018, 211, 621–628. [Google Scholar] [CrossRef]
- Sang, X.; Zha, Q.; Nie, X.; Liu, D.; Guo, Y.; Shi, X.; Ni, C. Interfacial Growth of Metal-Organic Framework on Carboxyl-Functionalized Carbon Nanotubes for Efficient Dye Adsorption and Separation. Anal. Methods 2020, 12, 4534–4540. [Google Scholar] [CrossRef]










| Sample | BET Specific Surface Area (m2/g) | Pore Volume (cm3/g) | Average Pore Size (nm) | Relative Specific Pore Volume (%) | ||
|---|---|---|---|---|---|---|
| Microporous | Mesoporous | Macroporous | ||||
| MBC | 107.76 | 0.113 | 4.17 | 30.24 | 68.68 | 1.08 |
| UiO-66 | 1083.52 | 0.573 | 2.33 | 41.70 | 57.42 | 0.88 |
| UiO-66-Br | 834.78 | 0.155 | 2.25 | 44.14 | 55.47 | 0.39 |
| UiO-66-Br@MBC(9:1) | 847.96 | 0.158 | 2.31 | 34.61 | 64.75 | 0.64 |
| UiO-66-Br@MBC(5:1) | 866.17 | 0.161 | 2.65 | 43.95 | 55.39 | 0.66 |
| UiO-66-Br@MBC(2:1) | 908.08 | 0.162 | 2.84 | 36.30 | 63.50 | 0.20 |
| UiO-66-Br@MBC(1:1) | 989.89 | 0.167 | 2.93 | 26.43 | 73.49 | 0.08 |
| UiO-66-Br@MBC(1:2) | 706.72 | 0.155 | 3.27 | 16.32 | 83.36 | 0.33 |
| UiO-66-Br@MBC(1:5) | 460.19 | 0.148 | 3.35 | 21.69 | 77.46 | 0.85 |
| UiO-66-Br@MBC(1:9) | 254.61 | 0.133 | 3.86 | 31.73 | 67.24 | 1.03 |
Disclaimer/Publisher’s Note: The statements, opinions and data contained in all publications are solely those of the individual author(s) and contributor(s) and not of MDPI and/or the editor(s). MDPI and/or the editor(s) disclaim responsibility for any injury to people or property resulting from any ideas, methods, instructions or products referred to in the content. |
© 2024 by the authors. Licensee MDPI, Basel, Switzerland. This article is an open access article distributed under the terms and conditions of the Creative Commons Attribution (CC BY) license (https://creativecommons.org/licenses/by/4.0/).
Share and Cite
Zhang, Z.; Li, Z.; Feng, Y.; Yu, J.; Zhang, X.; Wen, J.; Nie, H.; Yu, Y.; Jia, L. A Novel Composite Material UiO-66-Br@MBC for Mercury Removal from Flue Gas: Preparation and Mechanism. Polymers 2024, 16, 2508. https://doi.org/10.3390/polym16172508
Zhang Z, Li Z, Feng Y, Yu J, Zhang X, Wen J, Nie H, Yu Y, Jia L. A Novel Composite Material UiO-66-Br@MBC for Mercury Removal from Flue Gas: Preparation and Mechanism. Polymers. 2024; 16(17):2508. https://doi.org/10.3390/polym16172508
Chicago/Turabian StyleZhang, Zhen, Zikuo Li, Youxiang Feng, Jingxiang Yu, Xikai Zhang, Jinchao Wen, Haotian Nie, Yue Yu, and Li Jia. 2024. "A Novel Composite Material UiO-66-Br@MBC for Mercury Removal from Flue Gas: Preparation and Mechanism" Polymers 16, no. 17: 2508. https://doi.org/10.3390/polym16172508
APA StyleZhang, Z., Li, Z., Feng, Y., Yu, J., Zhang, X., Wen, J., Nie, H., Yu, Y., & Jia, L. (2024). A Novel Composite Material UiO-66-Br@MBC for Mercury Removal from Flue Gas: Preparation and Mechanism. Polymers, 16(17), 2508. https://doi.org/10.3390/polym16172508

