The Incorporation of Sulfonated PAF Enhances the Proton Conductivity of Nafion Membranes at High Temperatures
Abstract
1. Introduction
2. Materials and Methods
2.1. Synthesis of PAF-45D
2.2. Synthesis of PAF-45DS
2.3. Preparation of Nafion Composite Membrane
2.4. Proton Conductivity
3. Results and Dicussion
3.1. X-ray Diffraction Analysis
3.2. TGA and IR
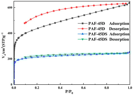
3.3. Gas Adsorption
3.4. Morphological Characteristics
3.5. Proton Conduction of Composite Membranes
4. Conclusions
Supplementary Materials
Author Contributions
Funding
Institutional Review Board Statement
Data Availability Statement
Conflicts of Interest
References
- Peighambardoust, S.J.; Rowshanzamir, S.; Amjadi, M. Review of the proton exchange membranes for fuel cell applications. Int. J. Hydrogen Energy 2010, 35, 9349–9384. [Google Scholar] [CrossRef]
 - Karimi, M.B.; Mohammadi, F.; Hooshyari, K. Recent approaches to improve Nafion performance for fuel cell applications: A review. Int. J. Hydrogen Energy 2019, 44, 28919–28938. [Google Scholar] [CrossRef]
 - Haider, R.; Wen, Y.; Ma, Z.F.; Wilkinson, D.P.; Zhang, L.; Yuan, X.; Song, S.; Zhang, J. High temperature proton exchange membrane fuel cells: Progress in advanced materials and key technologies. Chem. Soc. Rev. 2021, 50, 1138–1187. [Google Scholar] [CrossRef] [PubMed]
 - Ying, J.; Liu, T.; Wang, Y.; Guo, M.; Shen, Q.; Lin, Y.; Yu, J.; Yu, Z. Perspectives on Membrane Development for High Temperature Proton Exchange Membrane Fuel Cells. Energy Fuels 2024, 38, 6613–6643. [Google Scholar] [CrossRef]
 - Schmidt-Rohr, K.; Chen, Q. Parallel cylindrical water nanochannels in Nafion fuel-cell membranes. Nat. Mater. 2008, 7, 75–83. [Google Scholar] [CrossRef] [PubMed]
 - Wang, Q.; Shen, D.; Tu, Z.; Li, S. Improved performance of lanthanide-doped UIO-66/Nafion hybrid proton exchange membrane for water electrolyzer. Int. J. Hydrogen Energy 2024, 56, 1249–1256. [Google Scholar] [CrossRef]
 - Huang, S.Z.; Liu, S.S.; Zhang, H.J.; Han, Z.; Zhao, G.; Dong, X.Y.; Zang, S.Q. Dual-Functional Proton-Conducting and pH-Sensing Polymer Membrane Benefiting from an Eu-MOF. ACS Appl. Mater. Interfaces 2020, 12, 28720–28726. [Google Scholar] [CrossRef]
 - Gao, Q.; Zhang, L.; Zhang, H.; Zhang, D.; Xiao, W. Preparation and performance of UIO-66-NH2 enhanced proton exchange membranes for vanadium redox flow batteries. J. Solid State Electrochem. 2024. [Google Scholar] [CrossRef]
 - Lim, D.W.; Kitagawa, H. Proton Transport in Metal–Organic Frameworks. Chem. Rev. 2020, 120, 8416–8467. [Google Scholar] [CrossRef]
 - Wang, Y.; Gao, H.; Wu, W.; Zhou, Z.; Yang, Z.; Wang, J.; Zou, Y. Nafion-threaded MOF laminar membrane with efficient and stable transfer channels towards highly enhanced proton conduction. Nano Res. 2021, 15, 3195–3203. [Google Scholar] [CrossRef]
 - Chen, G.; Ge, L.; Lee, J.H.; Zhu, Z.; Wang, H. Porous coordination polymer-based composite membranes for high-temperature polymer exchange membrane fuel cells. Matter 2022, 5, 2031–2053. [Google Scholar] [CrossRef]
 - Yang, Y.; He, X.; Zhang, P.; Andaloussi, Y.H.; Zhang, H.; Jiang, Z.; Chen, Y.; Ma, S.; Cheng, P.; Zhang, Z. Combined Intrinsic and Extrinsic Proton Conduction in Robust Covalent Organic Frameworks for Hydrogen Fuel Cell Applications. Angew. Chem. Int. Ed. 2020, 59, 3678–3684. [Google Scholar] [CrossRef] [PubMed]
 - Sahoo, R.; Mondal, S.; Pal, S.C.; Mukherjee, D.; Das, M.C. Covalent-Organic Frameworks (COFs) as Proton Conductors. Adv. Energy Mater. 2021, 11, 2102300–2102334. [Google Scholar] [CrossRef]
 - Geng, K.; He, T.; Liu, R.; Dalapati, S.; Tan, K.T.; Li, Z.; Tao, S.; Gong, Y.; Jiang, Q.; Jiang, D. Covalent Organic Frameworks: Design, Synthesis, and Functions. Chem. Rev. 2020, 120, 8814–8933. [Google Scholar] [CrossRef] [PubMed]
 - Tian, Y.; Zhu, G. Porous Aromatic Frameworks (PAFs). Chem. Rev. 2020, 120, 8934–8986. [Google Scholar] [CrossRef] [PubMed]
 - Li, L.; Ren, H.; Yuan, Y.; Yu, G.; Zhu, G. Construction and adsorption properties of porous aromatic frameworks via AlCl3 triggered coupling polymerization. J. Mater. Chem. A 2014, 2, 11091–11098. [Google Scholar] [CrossRef]
 - Wang, Z.; Ma, R.; Meng, Q.; Yang, Y.; Ma, X.; Ruan, X.; Yuan, Y.; Zhu, G. Constructing Uranyl-Specific Nanofluidic Channels for Unipolar Ionic Transport to Realize Ultrafast Uranium Extraction. J. Am. Chem. Soc. 2021, 143, 14523–14529. [Google Scholar] [CrossRef] [PubMed]
 - Dai, A.; Li, S.; Wang, T.; Yang, Y.; Tian, Y.; Jing, X.; Zhu, G. Frustrated Lewis pairs in situ formation in B-based porous aromatic frameworks for efficient o-phenylenediamine cyclization. Chin. Chem. Lett. 2023, 34, 107559. [Google Scholar] [CrossRef]
 - Yang, Y.; Deng, D.; Zhang, S.; Meng, Q.; Li, Z.; Wang, Z.; Sha, H.; Faller, R.; Bian, Z.; Zou, X.; et al. Porous Organic Frameworks Featured by Distinct Confining Fields for the Selective Hydrogenation of Biomass-Derived Ketones. Adv. Mater. 2020, 32, 1908243. [Google Scholar] [CrossRef]
 - Guo, X.X.; Cai, Z.T.; Muhammad, Y.; Zhang, F.L.; Wei, R.P.; Gao, L.J.; Xiao, G.M. Silver-anchored porous aromatic framework for efficient conversion of propargylic alcohols with CO2 at ambient pressure. Chin. Chem. Lett. 2023, 34, 107740. [Google Scholar] [CrossRef]
 - Yuan, Y.; Zhu, G. Porous Aromatic Frameworks as a Platform for Multifunctional Applications. ACS Cent. Sci. 2019, 5, 409–418. [Google Scholar] [CrossRef] [PubMed]
 - Bazhenova, M.A.; Kulikov, L.A.; Bolnykh, Y.S.; Maksimov, A.L.; Karakhanov, E.A. Palladium catalysts based on porous aromatic frameworks for vanillin hydrogenation: Tuning the activity and selectivity by introducing functional groups. Catal. Commun. 2022, 170, 106486–106496. [Google Scholar] [CrossRef]
 - Zhang, C.; Dong, J.; Zhang, P.; Sun, L.; Yang, L.; Wang, W.; Zou, X.; Chen, Y.; Shang, Q.; Feng, D.; et al. Unique fluorophilic pores engineering within porous aromatic frameworks for trace perfluorooctanoic acid removal. Natl. Sci. Rev. 2023, 10, nwad191. [Google Scholar] [CrossRef] [PubMed]
 - Carey, C.; Díaz, J.C.; Kitto, D.; Espinoza, C.; Ahn, E.; Kamcev, J. Interfacial interactions between polymers and selective adsorbents influence ion transport properties of boron scavenging ion-exchange membranes. J. Membr. Sci. 2023, 669, 121301–121311. [Google Scholar] [CrossRef]
 - Liu, X.; Zhu, C.; Yin, J.; Li, J.; Zhang, Z.; Li, J.; Shui, F.; You, Z.; Shi, Z.; Li, B.; et al. Installation of synergistic binding sites onto porous organic polymers for efficient removal of perfluorooctanoic acid. Nat. Commun. 2022, 13, 2132–2141. [Google Scholar] [CrossRef] [PubMed]
 - Ruan, X.; Zhang, C.; Zhu, Y.; Cai, F.; Yang, Y.; Feng, J.; Ma, X.; Zheng, Y.; Li, H.; Yuan, Y.; et al. Constructing Mechanical Shuttles in a Three-dimensional (3D) Porous Architecture for Selective Transport of Lithium Ions. Angew. Chem. Int. Ed. 2023, 62, e202216549. [Google Scholar] [CrossRef] [PubMed]
 - Yuan, Y.; Yang, Y.; Zhu, G. Molecularly Imprinted Porous Aromatic Frameworks for Molecular Recognition. ACS Cent. Sci. 2020, 6, 1082–1094. [Google Scholar] [CrossRef] [PubMed]
 - Bazhenova, M.A.; Kulikov, L.A.; Makeeva, D.A.; Maximov, A.L.; Karakhanov, E.A. Hydrodeoxygenation of Lignin-Based Compounds over Ruthenium Catalysts Based on Sulfonated Porous Aromatic Frameworks. Polymers 2023, 15, 4618. [Google Scholar] [CrossRef]
 - Li, J.; Huang, L.; Zou, X.; Zheng, A.; Li, H.; Rong, H.; Zhu, G. Porous organic materials with ultra-small pores and sulfonic functionality for xenon capture with exceptional selectivity. J. Mater. Chem. A 2018, 6, 11163–11168. [Google Scholar] [CrossRef]
 - Bildirir, H. Post-synthetic sulfonation of a diphenylanthracene based porous aromatic framework. Org. Commun. 2022, 15, 346–355. [Google Scholar] [CrossRef]
 - Klumpen, C.; Gödrich, S.; Papastavrou, G.; Senker, J. Water mediated proton conduction in a sulfonated microporous organic polymer. Chem. Commun. 2017, 53, 7592–7595. [Google Scholar] [CrossRef] [PubMed]
 - Li, L.; Cai, K.; Wang, P.; Ren, H.; Zhu, G. Construction of Sole Benzene Ring Porous Aromatic Frameworks and Their High Adsorption Properties. ACS Appl. Mater. Interfaces 2014, 7, 201–208. [Google Scholar] [CrossRef] [PubMed]
 - Wang, S.; Zhang, C.; Yu, S.; Jiang, S.; Xia, Q.; Chen, L.; Jin, S.; Hussain, I.; Cooper, A.I.; Tan, B. Layered microporous polymers by solvent knitting method. Sci. Adv. 2017, 3, e1602610. [Google Scholar] [CrossRef] [PubMed]
 - Kalinina, M.A.; Kulikov, L.A.; Cherednichenko, K.A.; Maximov, A.L.; Karakhanov, E.A. The Effect of Sulfonate Groups in the Structure of Porous Aromatic Frameworks on the Activity of Platinum Catalysts Towards Hydrodeoxygenation of Biofuel Components. Petrol. Chem. 2021, 61, 1061–1070. [Google Scholar] [CrossRef]
 - Jaimez, E.; Hix, G.B.; Slade, R.C.T. The titanium(I) salt of N, N-(diphosphonomethyl)glycine: Synthesis, characterisation, porosity and proton conduction. J. Mater. Chem. 1997, 7, 475–479. [Google Scholar] [CrossRef]
 







Disclaimer/Publisher’s Note: The statements, opinions and data contained in all publications are solely those of the individual author(s) and contributor(s) and not of MDPI and/or the editor(s). MDPI and/or the editor(s) disclaim responsibility for any injury to people or property resulting from any ideas, methods, instructions or products referred to in the content.  | 
© 2024 by the authors. Licensee MDPI, Basel, Switzerland. This article is an open access article distributed under the terms and conditions of the Creative Commons Attribution (CC BY) license (https://creativecommons.org/licenses/by/4.0/).
Share and Cite
Cai, K.; Yu, J.; Tan, W.; Gao, C.; Zhao, Z.; Yuan, S.; Cheng, J.; Yang, Y.; Yuan, Y. The Incorporation of Sulfonated PAF Enhances the Proton Conductivity of Nafion Membranes at High Temperatures. Polymers 2024, 16, 2208. https://doi.org/10.3390/polym16152208
Cai K, Yu J, Tan W, Gao C, Zhao Z, Yuan S, Cheng J, Yang Y, Yuan Y. The Incorporation of Sulfonated PAF Enhances the Proton Conductivity of Nafion Membranes at High Temperatures. Polymers. 2024; 16(15):2208. https://doi.org/10.3390/polym16152208
Chicago/Turabian StyleCai, Kun, Jinzhu Yu, Wenjun Tan, Cong Gao, Zili Zhao, Suxin Yuan, Jinghui Cheng, Yajie Yang, and Ye Yuan. 2024. "The Incorporation of Sulfonated PAF Enhances the Proton Conductivity of Nafion Membranes at High Temperatures" Polymers 16, no. 15: 2208. https://doi.org/10.3390/polym16152208
APA StyleCai, K., Yu, J., Tan, W., Gao, C., Zhao, Z., Yuan, S., Cheng, J., Yang, Y., & Yuan, Y. (2024). The Incorporation of Sulfonated PAF Enhances the Proton Conductivity of Nafion Membranes at High Temperatures. Polymers, 16(15), 2208. https://doi.org/10.3390/polym16152208
        
