An Experimental Study on the Influence of Different Cooling Methods on the Mechanical Properties of PVA Fiber-Reinforced High-Strength Concrete after High-Temperature Action
Abstract
1. Introduction
2. Materials and Methods
2.1. Materials
2.2. Specimen Design
2.2.1. Mix Ratio
2.2.2. Dimension and the Number of the Specimens
2.3. Heating Equipment and High-Temperature Loading System
2.4. Cooling Methods
3. Physical Properties of Specimens after High-Temperature Action
3.1. Apparent Characteristic Analysis
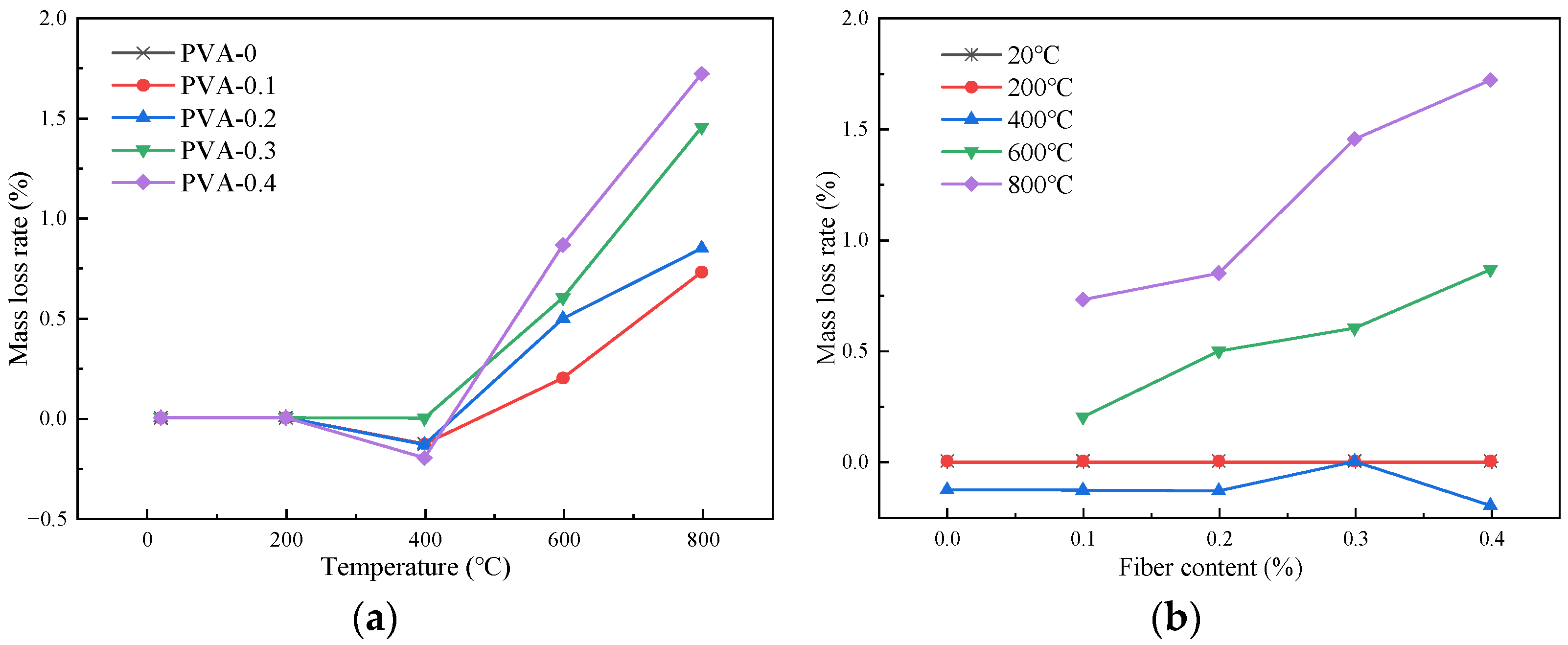
3.2. Mass Loss Rate
3.2.1. Mass Loss Rate of Specimens Using Natural Cooling after High-Temperature Action
3.2.2. Mass Loss Rate of Specimens Using Immersion Cooling after High-Temperature Action
4. Mechanical Properties of Specimens after High-Temperature Action
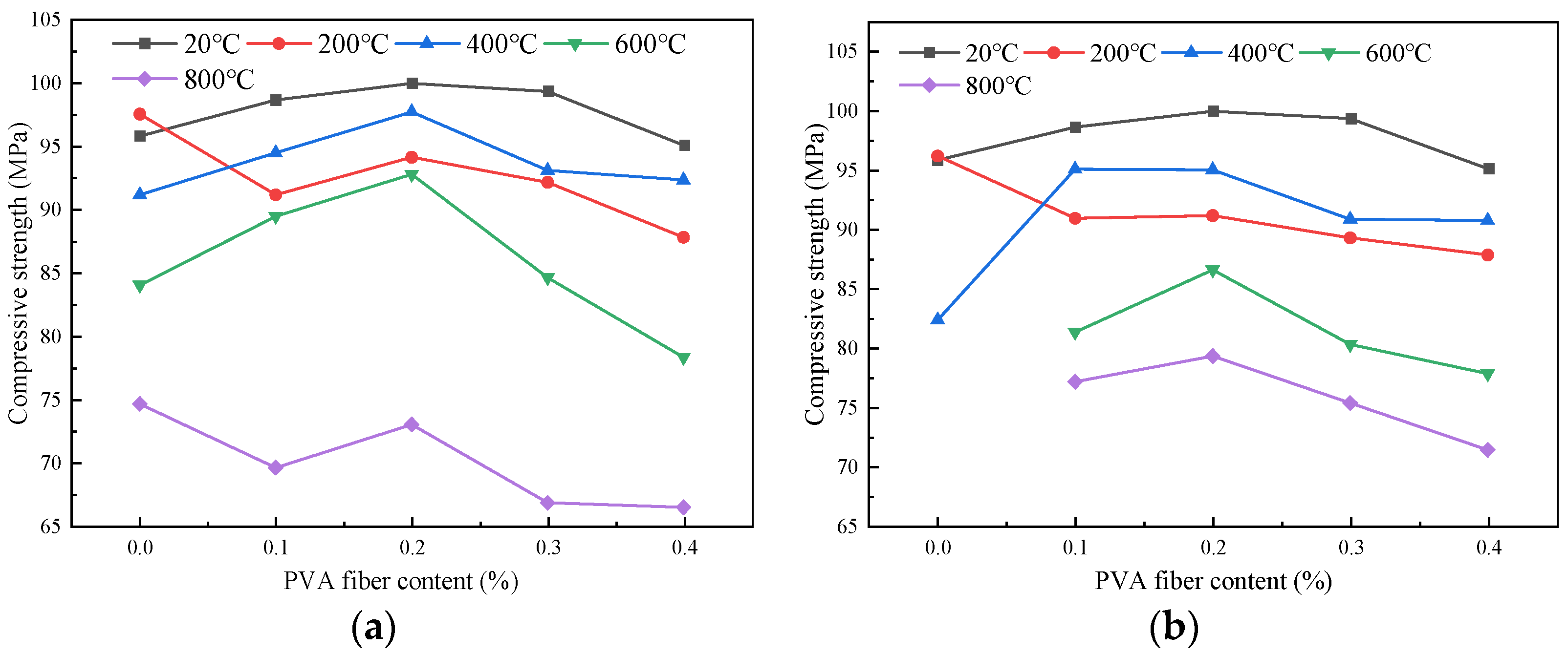
4.1. Compressive Strength after High-Temperature Action
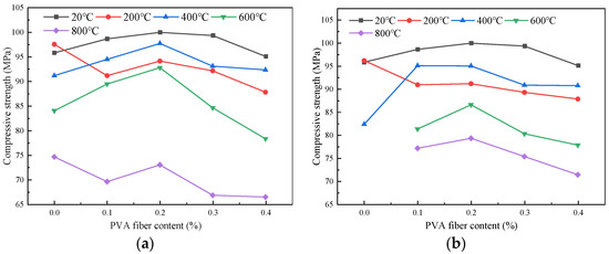
4.1.1. Influence of Fiber Content on the Compressive Strength
4.1.2. Influence of Heating Temperature on the Compressive Strength
4.1.3. Influence of Cooling Method on the Compressive Strength
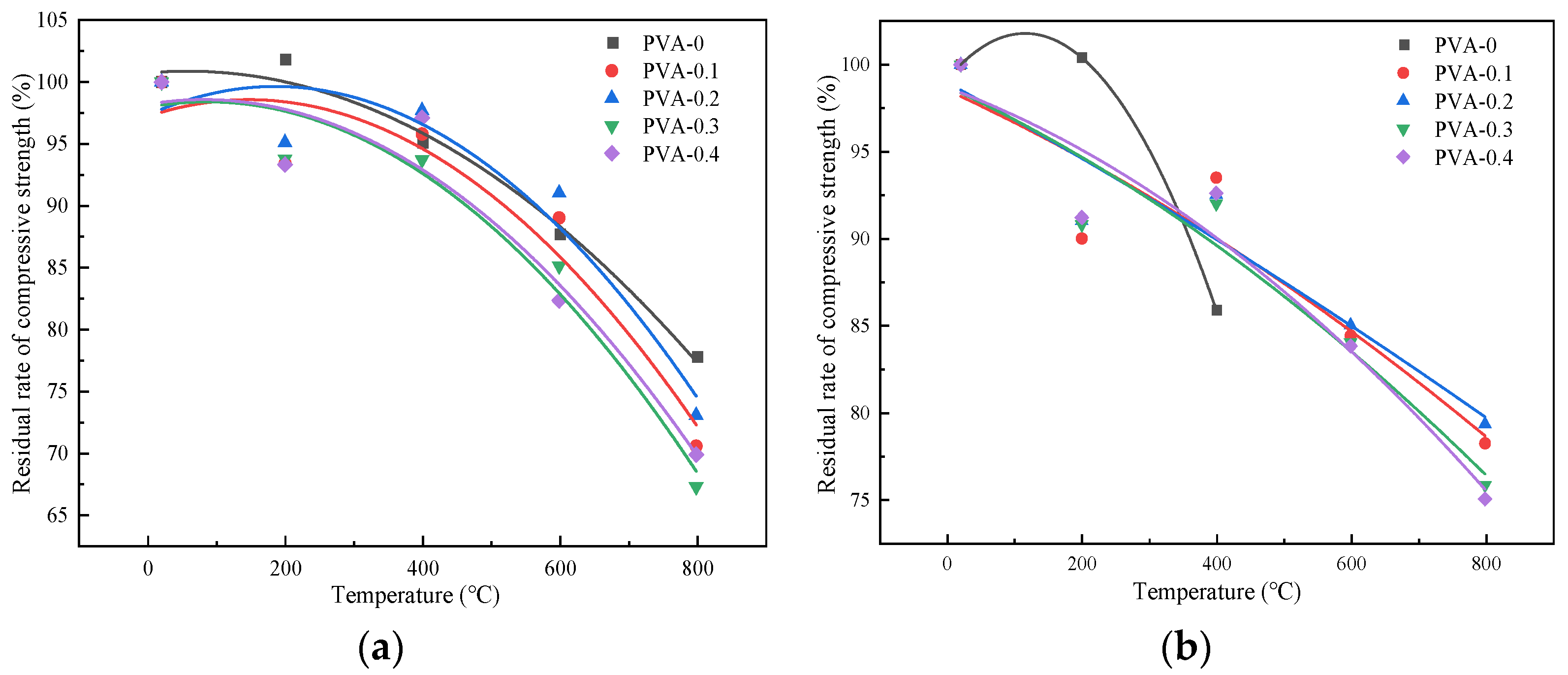
4.1.4. The Correlation between Compressive Strength and Heating Temperature
4.2. Flexural Strength after High-Temperature Action
4.2.1. Influence of Fiber Content on Flexural Strength
4.2.2. Influence of Heating Temperature on Flexural Strength
4.2.3. Influence of Cooling Method on Flexural Strength
4.2.4. The Relationship between Flexural Strength and Heating Temperature
5. Composition and Microstructure Analysis of Specimen after High-Temperature Action
5.1. Composition Analysis
5.1.1. Principles of X-ray Diffraction Testing
5.1.2. Test Method
5.1.3. Analysis of Test Images and Results
5.2. Microstructure Analysis
5.2.1. Composition Change of Concrete after High-Temperature Action
5.2.2. Change of Appearance of Fiber-Reinforced HSC
6. Conclusions
- (1)
- When the specimens were cooled in the natural environment, the color of the specimens was successively cyan-gray, light cyan-gray, gray-white, and white, while under the action of immersion cooling, the color of the specimens was successively bluish gray, earthy yellow, dark brown, and white. Simultaneously, the number of cracks increased with the increase in the heating temperature, accompanied by material peeling.
- (2)
- For the two cooling methods, the mass loss rate increased with the increase in temperature, and the rate of increase gradually accelerated. When the temperature was the same, the mass loss rate would gradually increase with the increase in heating temperature.
- (3)
- The compressive strength of the PVA fiber-reinforced HSC basically decreased after the high-temperature action, and the higher the heating temperature was, the lower the compressive strength was. This is because the high temperature caused the evaporation of water in the HSC and changes to the microstructure of the concrete, which reduced the compressive strength. The maximum compressive strength would be obtained when the PVA fiber content is 0.2%.
- (4)
- As the temperature increased, the flexural strength of the PVA fiber-reinforced HSC gradually decreased after the action of natural cooling and immersion cooling, while the flexural strength initially increased and then decreased with the increase in the fiber content. When the PVA fiber content was 0.3%, the flexural strength obviously improved. This may be because lower fiber content can fully exert the bridging effect of fibers, while excessive fibers are not conducive to the uniform distribution of the cement slurry.
- (5)
- Through the X-ray diffraction and SEM experiments, it can be found that, at high temperatures, due to the loss of crystalline water and the decomposition of hydrates, the pores of the concrete expanded, the cracks continued to develop, and the joint between the aggregates and the cement slurry gradually separated. The diffraction intensity of CaCO3 showed a decreasing trend with the increase in temperature. At 800 °C, CaCO3 underwent decomposition and showed a gradual decrease in the mechanical strength of concrete at a macroscopic level.
Author Contributions
Funding
Institutional Review Board Statement
Data Availability Statement
Conflicts of Interest
References
- Zhou, H.; Jia, B.; Huang, H.; Mou, Y. Experimental study on basic mechanical properties of basalt fiber reinforced concrete. Materials 2020, 13, 1362. [Google Scholar] [CrossRef] [PubMed]
- Li, Y.; Shen, A.; Wu, H. Fractal dimension of basalt fiber reinforced concrete (BFRC) and its correlations to pore structure, strength and shrinkage. Materials 2020, 13, 3238. [Google Scholar] [CrossRef] [PubMed]
- Trabelsi, A.; Kammoun, Z. Mechanical properties and impact resistance of a high-strength lightweight concrete incorporating prickly pear fibers. Constr. Build. Mater. 2020, 262, 119972. [Google Scholar] [CrossRef]
- Wu, Z.; Khayat, K.H.; Shi, C. Changes in rheology and mechanical properties of ultra-high-performance concrete with silica fume content. Cement Concrete Res. 2019, 123, 105786. [Google Scholar] [CrossRef]
- Klingsch, E.W.H. Explosive Spalling of Concrete in Fire. Master’s Thesis, Swiss Federal Institute of Technology, Zurich, Switzerland, 2014. [Google Scholar]
- Mehta, P.; Aïtcin, P.-C. Principles underlying production of high-performance concrete. Cem. Concr. Aggreg. 1990, 2, 71–73. [Google Scholar] [CrossRef]
- Aitcin, P.C. High-Performance Concrete; E. and F.N. Spon: London, UK, 1988; p. 591. [Google Scholar]
- Bastami, M.; Chaboki-Khiabani, A.; Baghbadrani, M.; Kordi, M. Performance of high Strength concretes at elevated temperatures. Sci. Iran. 2011, 18, 1028–1036. [Google Scholar] [CrossRef]
- Aldahdooh, M.; Bunnori, N.M.; Johari, M.M. Evaluation of ultra-high-performance-fiber reinforced concrete binder content using the response surface method. Mater. Design. 2013, 52, 957–965. [Google Scholar] [CrossRef]
- Helmi, M.; Hall, M.R.; Stevens, L.A.; Rigby, S.P. Effects of high-pressure/temperature curing on reactive powder concrete microstructure formation. Constr. Build. Mater. 2016, 105, 554–562. [Google Scholar] [CrossRef]
- Mugume, R.B.; Horiguchi, T. Prediction of spalling in fiber-reinforced high strength concrete at elevated temperatures. Mater. Struct. 2014, 47, 591–604. [Google Scholar] [CrossRef]
- Caetano, H.; Rodrigues, J.P.C.; Pimienta, P. Flexural strength at high temperatures of a high strength steel and polypropylene fiber concrete. Constr. Build. Mater. 2019, 227, 116721. [Google Scholar] [CrossRef]
- Xiao, L.; Chen, P.; Huang, J.; Peng, S.; Yang, Z. Compressive behavior of reinforced steel-PVA hybrid fiber concrete short columns after high temperature exposure. Constr. Build. Mater. 2022, 342, 127935. [Google Scholar] [CrossRef]
- Li, V.C.; Wang, S.; Wu, C. Tensile strain-hardening behavior of polyvinyl alcohol engineered cementitious composite (PVA-ECC). ACI Mater. J. 2001, 98, 483–492. [Google Scholar]
- Shafiq, N.; Ayub, T.; Khan, S.U. Investigating the performance of PVA and basalt fiber reinforced beams subjected to flexural action. Compos. Struct. 2016, 153, 30–41. [Google Scholar] [CrossRef]
- Zhang, P.; Han, X.; Hu, S.; Wang, J.; Wang, T. High-temperature behavior of polyvinyl alcohol fiber-reinforced metakaolin/fly ash-based geopolymer mortar. Compos. Part B Eng. 2022, 244, 110171. [Google Scholar] [CrossRef]
- Mpalaskas, A.C.; Matikas, T.E.; Aggelis, D.G. Acoustic emission of fire damaged fiber reinforced concrete. In Smart Materials and Nondestructive Evaluation for Energy Systems 2016; SPIE: Bellingham, WA, USA, 2016; pp. 320–328. [Google Scholar]
- Voutetaki, M.E.; Naoum, M.C.; Papadopoulos, N.A.; Chalioris, C.E. Papadopoulos C.E. Chalioris. Cracking diagnosis in fiber-reinforced concrete with synthetic fibers using piezoelectric transducers. Fibers 2021, 10, 5. [Google Scholar] [CrossRef]
- Hung, C.-C.; Chen, Y.-T.; Yen, C.-H. Workability, fiber distribution, and mechanical properties of UHPC with hooked end steel macro-fibers. Constr. Build. Mater. 2020, 260, 119944. [Google Scholar] [CrossRef]
- Nin Chan, S.Y.; Luo, X.; Sun, W. Effect of high temperature and cooling regimes on the compressive strength and pore properties of high performance concrete. Constr. Build. Mater. 2000, 14, 261–266. [Google Scholar] [CrossRef]
- Morsy, M.; Galal, A.; Abo-El-Enein, S. Effect of temperature on phase composition and microstructure of artificial pozzolana-cement pastes containing burnt kaolinite clay. Cem. Concr. Res. 1998, 28, 1157–1163. [Google Scholar] [CrossRef]
- Peng, G.-F.; Bian, S.-H.; Guo, Z.-Q.; Zhao, J.; Peng, X.-L.; Jiang, Y.-C. Effect of thermal shock due to rapid cooling on residual mechanical properties of fiber concrete exposed to high temperatures. Constr. Build. Mater. 2008, 22, 948–955. [Google Scholar] [CrossRef]
- Luo, X.; Sun, W.; Nin Chan, S.Y. Effect of heating and cooling regimes on residual strength and microstructure of normal strength and high-performance concrete. Cement Concrete Res. 2000, 30, 379–383. [Google Scholar] [CrossRef]
- An, H.; Song, Y.; Liu, L.; Meng, X. Experimental study of the compressive strengths of basalt fiber-reinforced concrete after various high-temperature treatments and cooling in open air and water. Appl. Sci. 2021, 11, 8729. [Google Scholar] [CrossRef]
- Elsalam, M.M.A.; Agamy, M.H.; Genidi, M.M.; Salem, M. Fire resistance of square concrete columns reinforced with GFRP bars, experimental and numerical investigation. Eng. Struct. 2024, 305, 117732. [Google Scholar] [CrossRef]
- CECS 13-2009; Standard Test Methods for Fiber Reinforced Concrete. China Construction Industry Press: Beijing, China, 2009.
- GB/T 9978.1-2008; Fire-Resistance Test-Elements of Building Construction-Part 1: General Requirements. China Construction Industry Press: Beijing, China, 2008.
- Lee, J.; Xi, Y.; Willam, K.; Jung, Y. A multiscale model for modulus of elasticity of concrete at high temperatures. Cement Concrete Res. 2009, 39, 754–762. [Google Scholar] [CrossRef]
- Shi, X.D.; Liu, C.; Li, L.; Xing, W.L. Experimental study on compressive strength of concrete under lasting sub-high temperature. J. Build. Struct. 2011, 41, 106–109. (In Chinese) [Google Scholar]
- Düğenci, O.; Haktanir, T.; Altun, F. Experimental research for the effect of high temperature on the mechanical properties of steel fiber-reinforced concrete. Constr. Build. Mater. 2015, 75, 82–88. [Google Scholar] [CrossRef]
- GB/T 50081-2019; Standard for Test Methods of Concrete Physical and Mechanical Properties. China Construction Industry Press: Beijing, China, 2009.
- Ju, Y.; Wang, L.; Liu, H.; Tian, K. An experimental investigation of the thermal spalling of polypropylene-fibered reactive powder concrete exposed to elevated temperatures. Sci. Bull. 2015, 60, 2022–2053. [Google Scholar] [CrossRef]
- Zhou, X.; Zeng, Y.; Chen, P.; Jiao, Z.; Zheng, W. Mechanical properties of basalt and polypropylene fiber-reinforced alkali-activated slag concrete. Constr. Build. Mater. 2020, 269, 121284. [Google Scholar] [CrossRef]
- Wu, H.; Lin, X.; Zhou, A. A review of mechanical properties of fiber reinforced concrete at elevated temperatures. Cement Concrete Res. 2020, 135, 106117. [Google Scholar] [CrossRef]
- Zhao, Y.; Ding, D.; Bi, J.; Wang, C.; Liu, P. Experimental study on mechanical properties of precast cracked concrete under different cooling methods. Constr. Build. Mater. 2021, 301, 124141. [Google Scholar] [CrossRef]
- Zheng, Y.; Zhang, Y.; Zhuo, J.; Zhang, Y.; Wan, C. A review of the mechanical properties and durability of basalt fiber-reinforced concrete. Constr. Build. Mater. 2022, 359, 129360. [Google Scholar] [CrossRef]
- Grangeon, S.; Claret, F.; Roosz, C.; Sato, T.; Gaboreau, S.; Linard, Y. Structure of nanocrystalline calcium silicate hydrates: Insights from X-ray diffraction, synchrotron X-ray absorption and nuclear magnetic resonance. J. Appl. Crystallogr. 2016, 49, 771–783. [Google Scholar] [CrossRef] [PubMed]
- Guirado, F.; Galı, S.; Chinchon, J.S. Thermal decomposition of hydrated alumina (CAH10). Cement Concrete Res. 1998, 28, 381–390. [Google Scholar] [CrossRef]
- Alarcon-Ruiz, L.; Platret, G.; Massieu, E.; Ehrlacher, A. The use of thermal analysis in assessing the effect of temperature on a cement paste. Cement Concrete Res. 2005, 35, 609–613. [Google Scholar] [CrossRef]


















| Length (mm) | Diameter (μm) | Density (g·cm−3) | Tensile Strength (MPa) | Modulus of Elasticity (GPa) | Fusing Point (°C) | 
|---|---|---|---|---|---|
| 12 | 15.09 | 1.29 | 1830 | 40 | 225~230 | 
| PVA Fiber Content | Water (kg/m3) | Cement (kg/m3) | Fly Ash (kg/m3) | Slag (kg/m3) | Silica Fume (kg/m3) | Sand (kg/m3) | Aggregate (kg/m3) | Water-Reducing Agent (kg/m3) | 
|---|---|---|---|---|---|---|---|---|
| 0.1% | 123 | 461.25 | 61.5 | 61.5 | 30.75 | 650.56 | 1070.44 | 4.92 | 
| 0.2% | 123 | 461.25 | 61.5 | 61.5 | 30.75 | 650.56 | 1070.44 | 4.92 | 
| 0.3% | 123 | 461.25 | 61.5 | 61.5 | 30.75 | 650.56 | 1070.44 | 4.92 | 
| 0.4% | 123 | 461.25 | 61.5 | 61.5 | 30.75 | 650.56 | 1070.44 | 4.92 | 
| Temperature (°C) | Fiber Content (kg/m3) | Cooling Method | Test Type | Number of Specimens per Group | Total Specimens | 
|---|---|---|---|---|---|
| 20 °C | 0, 0.1%, 0.2%, 0.3%, 0.4% | Natural cooling and immersion cooling | Compressive and flexural strength | 3 | 60 | 
| 200 °C | 3 | 60 | |||
| 400 °C | 3 | 60 | |||
| 600 °C | 3 | 60 | |||
| 800 °C | 3 | 60 | 
| PVA Fiber Content% | Mass Loss Rate: AV (%), SD (%), CV (%) | ||||||||||||||
|---|---|---|---|---|---|---|---|---|---|---|---|---|---|---|---|
| 20 °C | 200 °C | 400 °C | 600 °C | 800 °C | |||||||||||
| AV | SD | CV | AV | SD | CV | AV | SD | CV | AV | SD | CV | AV | SD | CV | |
| 0 | 0 | - | - | 0 | - | - | 0.132 | 0.02 | 0.16 | 2.463 | 0.42 | 0.17 | 4.853 | 0.63 | 0.13 | 
| 0.1 | 0 | - | - | 0.133 | 0.04 | 0.28 | 0.200 | 0.03 | 0.14 | 2.692 | 0.32 | 0.12 | 4.899 | 0.69 | 0.14 | 
| 0.2 | 0 | - | - | 0.069 | 0.01 | 0.15 | 0.335 | 0.05 | 0.15 | 2.808 | 0.45 | 0.16 | 4.637 | 0.51 | 0.11 | 
| 0.3 | 0 | - | - | 0.066 | 0.01 | 0.15 | 0.332 | 0.04 | 0.11 | 2.935 | 0.41 | 0.14 | 5.014 | 0.75 | 0.15 | 
| 0.4 | 0 | - | - | 0.067 | 0.01 | 0.16 | 0.336 | 0.04 | 0.11 | 3.589 | 0.39 | 0.11 | 5.254 | 0.89 | 0.17 | 
| PVA Fiber Content% | Mass Loss Rate: AV (%), SD (%), CV (%) | ||||||||||||||
|---|---|---|---|---|---|---|---|---|---|---|---|---|---|---|---|
| 20 °C | 200 °C | 400 °C | 600 °C | 800 °C | |||||||||||
| AV | SD | CV | AV | SD | CV | AV | SD | CV | AV | SD | CV | AV | SD | CV | |
| 0 | 0 | - | - | 0 | - | - | 0.131 | −0.03 | 0.23 | - | - | - | - | - | - | 
| 0.1 | 0 | - | - | 0 | - | - | 0.132 | −0.03 | 0.20 | 0.199 | 0.04 | 0.19 | 0.730 | 0.11 | 0.15 | 
| 0.2 | 0 | - | - | 0 | - | - | 0.135 | −0.03 | 0.22 | 0.497 | 0.07 | 0.15 | 0.849 | 0.12 | 0.14 | 
| 0.3 | 0 | - | - | 0 | - | - | 0.002 | −0.00 | 0.25 | 0.601 | 0.10 | 0.17 | 1.456 | 0.16 | 0.11 | 
| 0.4 | 0 | - | - | 0 | - | - | 0.201 | −0.03 | 0.17 | 0.866 | 0.16 | 0.18 | 1.723 | 0.22 | 0.13 | 
| Cooling Method | Fiber Content (%) | Compressive Strength: AV (MPa), SD (MPa), CV (%) | ||||||||||||||
|---|---|---|---|---|---|---|---|---|---|---|---|---|---|---|---|---|
| 20 °C | 200 °C | 400 °C | 600 °C | 800 °C | ||||||||||||
| AV | SD | CV | AV | SD | CV | AV | SD | CV | AV | SD | CV | AV | SD | CV | ||
| Natural cooling | 0 | 95.85 | 8.69 | 0.09 | 97.56 | 13.10 | 0.13 | 91.17 | 16.56 | 0.18 | 84.02 | 10.92 | 0.13 | 74.61 | 13.43 | 0.18 | 
| 0.1 | 98.64 | 10.50 | 0.11 | 91.17 | 21.61 | 0.24 | 94.50 | 14.72 | 0.16 | 89.46 | 13.42 | 0.15 | 69.57 | 17.39 | 0.25 | |
| 0.2 | 99.99 | 15.85 | 0.16 | 94.14 | 19.02 | 0.20 | 97.74 | 13.72 | 0.14 | 92.79 | 10.21 | 0.11 | 72.99 | 10.22 | 0.14 | |
| 0.3 | 99.36 | 11.87 | 0.12 | 92.16 | 20.50 | 0.22 | 93.11 | 16.64 | 0.18 | 84.60 | 14.38 | 0.17 | 66.78 | 9.35 | 0.14 | |
| 0.4 | 95.13 | 17.43 | 0.18 | 87.80 | 22.57 | 0.25 | 92.34 | 13.72 | 0.15 | 78.30 | 10.96 | 0.14 | 66.42 | 14.61 | 0.22 | |
| Immersion cooling | 0 | 95.85 | 17.25 | 0.18 | 96.21 | 12.51 | 0.13 | 82.35 | 18.12 | 0.22 | - | - | - | - | - | - | 
| 0.1 | 98.64 | 14.80 | 0.15 | 90.95 | 24.56 | 0.27 | 95.09 | 19.97 | 0.21 | 81.32 | 16.26 | 0.20 | 77.13 | 9.26 | 0.12 | |
| 0.2 | 99.99 | 11.00 | 0.11 | 91.17 | 16.41 | 0.18 | 95.04 | 13.31 | 0.14 | 86.58 | 12.12 | 0.14 | 79.29 | 16.65 | 0.21 | |
| 0.3 | 99.36 | 21.86 | 0.22 | 89.28 | 14.28 | 0.16 | 90.86 | 15.45 | 0.17 | 80.28 | 8.83 | 0.11 | 75.33 | 10.55 | 0.14 | |
| 0.4 | 95.13 | 16.17 | 0.17 | 87.84 | 13.18 | 0.15 | 90.75 | 20.87 | 0.23 | 77.80 | 9.34 | 0.12 | 71.37 | 12.13 | 0.17 | |
| Cooling Mode | PVA Fiber Content (%) | Fitting Parameter | Correlation Coefficient (Adjusted R2) | ||
|---|---|---|---|---|---|
| A | B | C | |||
| Natural cooling | 0 | 100.7247 | 0.00501 | −4.27698 × 10−5 | 0.97402 | 
| 0.1 | 97.2198 | 0.01824 | −6.18422 × 10−5 | 0.82934 | |
| 0.2 | 97.3256 | 0.02481 | −6.66056 × 10−5 | 0.84297 | |
| 0.3 | 97.9483 | 0.01021 | −5.88231 × 10−5 | 0.91934 | |
| 0.4 | 98.2009 | 0.00905 | −5.5638 × 10−5 | 0.86399 | |
| Immersion cooling | 0 | 99.1690 | 0.04548 | −1.9663 × 10−4 | 1.00000 | 
| 0.1 | 98.5239 | −0.01722 | −8.9270 × 10−6 | 0.86706 | |
| 0.2 | 98.9600 | −0.02101 | −3.79752 × 10−6 | 0.82236 | |
| 0.3 | 98.7259 | −0.01711 | −1.27116 × 10−5 | 0.85499 | |
| 0.4 | 98.6802 | −0.01428 | −1.0115 × 10−5 | 0.86318 | |
| Cooling Method | Fiber Content (%) | Flexural Strength: AV (MPa), SD (MPa), CV (%) | ||||||||||||||
|---|---|---|---|---|---|---|---|---|---|---|---|---|---|---|---|---|
| 20 °C | 200 °C | 400 °C | 600 °C | 800 °C | ||||||||||||
| AV | SD | CV | AV | SD | CV | AV | SD | CV | AV | SD | CV | AV | SD | CV | ||
| Natural cooling | 0 | 6.30 | 0.57 | 0.09 | 6.37 | 0.76 | 0.12 | 5.70 | 0.74 | 0.13 | 4.22 | 0.59 | 0.14 | - | - | - | 
| 0.1 | 6.47 | 0.71 | 0.11 | 6.10 | 1.22 | 0.20 | 5.70 | 1.08 | 0.19 | 4.76 | 0.71 | 0.15 | 3.30 | 0.50 | 0.15 | |
| 0.2 | 0.67 | 1.00 | 0.15 | 6.30 | 1.01 | 0.16 | 6.00 | 1.02 | 0.17 | 4.92 | 0.54 | 0.11 | 3.57 | 0.50 | 0.14 | |
| 0.3 | 6.73 | 0.94 | 0.14 | 6.47 | 1.04 | 0.16 | 6.10 | 1.22 | 0.20 | 5.41 | 1.08 | 0.20 | 3.97 | 0.60 | 0.15 | |
| 0.4 | 6.57 | 1.12 | 0.17 | 5.90 | 0.77 | 0.13 | 5.67 | 0.85 | 0.15 | 4.67 | 1.07 | 0.23 | 3.10 | 0.37 | 0.12 | |
| Immersion cooling | 0 | 6.30 | 0.57 | 0.09 | 6.15 | 1.72 | 0.28 | 5.47 | 0.82 | 0.15 | - | - | - | - | - | - | 
| 0.1 | 6.47 | 0.71 | 0.11 | 5.40 | 0.92 | 0.17 | 4.70 | 0.94 | 0.20 | 2.90 | 0.58 | 0.20 | 2.30 | 0.35 | 0.15 | |
| 0.2 | 0.67 | 1.00 | 0.15 | 6.00 | 0.96 | 0.16 | 5.00 | 1.05 | 0.21 | 3.60 | 0.76 | 0.21 | 2.70 | 0.38 | 0.14 | |
| 0.3 | 6.73 | 0.94 | 0.14 | 6.30 | 0.76 | 0.12 | 5.85 | 1.05 | 0.18 | 4.47 | 0.63 | 0.14 | 3.90 | 0.43 | 0.11 | |
| 0.4 | 6.57 | 1.12 | 0.17 | 5.70 | 1.03 | 0.18 | 4.90 | 0.69 | 0.14 | 3.77 | 0.57 | 0.15 | 2.80 | 0.45 | 0.16 | |
| Cooling Mode | PVA Fiber Content (%) | Fitting Parameter | Correlation Coefficient (Adjusted R2) | ||
|---|---|---|---|---|---|
| A | B | C | |||
| Natural cooling | 0 | 99.209 | 0.04150 | −1.58585 × 10−4 | 0.99999 | 
| 0.1 | 99.076 | 0.00114 | −7.56218 × 10−5 | 0.99157 | |
| 0.2 | 89.112 | 0.00277 | −7.44423 × 10−5 | 0.98812 | |
| 0.3 | 98.881 | 0.00904 | −7.2109 × 10−5 | 0.98306 | |
| 0.4 | 98.126 | −0.00561 | −7.07223 × 10−5 | 0.96345 | |
| Immersion cooling | 0 | 99.8386 | 0.01021 | −1.0701 × 10−4 | 1.00000 | 
| 0.1 | 102.028 | −0.08717 | 1.95829 × 10−6 | 0.95602 | |
| 0.2 | 102.265 | −0.06452 | −1.7906 × 10−5 | 0.98675 | |
| 0.3 | 101.311 | −0.03296 | −2.9301 × 10−5 | 0.94413 | |
| 0.4 | 101.093 | −0.06531 | −1.0115 × 10−5 | 0.99704 | |
| Disclaimer/Publisher’s Note: The statements, opinions and data contained in all publications are solely those of the individual author(s) and contributor(s) and not of MDPI and/or the editor(s). MDPI and/or the editor(s) disclaim responsibility for any injury to people or property resulting from any ideas, methods, instructions or products referred to in the content. | 
© 2024 by the authors. Licensee MDPI, Basel, Switzerland. This article is an open access article distributed under the terms and conditions of the Creative Commons Attribution (CC BY) license (https://creativecommons.org/licenses/by/4.0/).
Share and Cite
Wu, J.; Hu, C.; Wang, Y.; Hu, L.; Zhang, L.; Wang, J.; Ding, W. An Experimental Study on the Influence of Different Cooling Methods on the Mechanical Properties of PVA Fiber-Reinforced High-Strength Concrete after High-Temperature Action. Polymers 2024, 16, 2012. https://doi.org/10.3390/polym16142012
Wu J, Hu C, Wang Y, Hu L, Zhang L, Wang J, Ding W. An Experimental Study on the Influence of Different Cooling Methods on the Mechanical Properties of PVA Fiber-Reinforced High-Strength Concrete after High-Temperature Action. Polymers. 2024; 16(14):2012. https://doi.org/10.3390/polym16142012
Chicago/Turabian StyleWu, Jian, Chaoqun Hu, Yuxi Wang, Liangjie Hu, Lidan Zhang, Jianhui Wang, and Weigao Ding. 2024. "An Experimental Study on the Influence of Different Cooling Methods on the Mechanical Properties of PVA Fiber-Reinforced High-Strength Concrete after High-Temperature Action" Polymers 16, no. 14: 2012. https://doi.org/10.3390/polym16142012
APA StyleWu, J., Hu, C., Wang, Y., Hu, L., Zhang, L., Wang, J., & Ding, W. (2024). An Experimental Study on the Influence of Different Cooling Methods on the Mechanical Properties of PVA Fiber-Reinforced High-Strength Concrete after High-Temperature Action. Polymers, 16(14), 2012. https://doi.org/10.3390/polym16142012
 
        


 
       