Nanoindentation Response of Structural Self-Healing Epoxy Resin: A Hybrid Experimental–Simulation Approach
Abstract
1. Introduction
2. Materials
2.1. Materials: Chemical Formulations
2.2. Formulation of Epoxy Sample
2.2.1. Functionalized Epoxy Precursor
2.2.2. Functionalized Epoxy Samples
2.3. Morphological Analysis by Scanning Electron Microscope (SEM)
2.4. Nanoindentation Tests
2.5. Multiphisic Simulation Study of Nanomechanical Properties
3. Results
3.1. Morphological Investigation
3.2. Quasi-Static Nanoindentation
3.3. Accelerated Property Mapping (XPM) Investigation
3.4. In Situ Scanning Probe Microscopy (SPM) Inspection
3.5. Multhyphisics Simulation Study: Results
4. Discussion
5. Conclusions
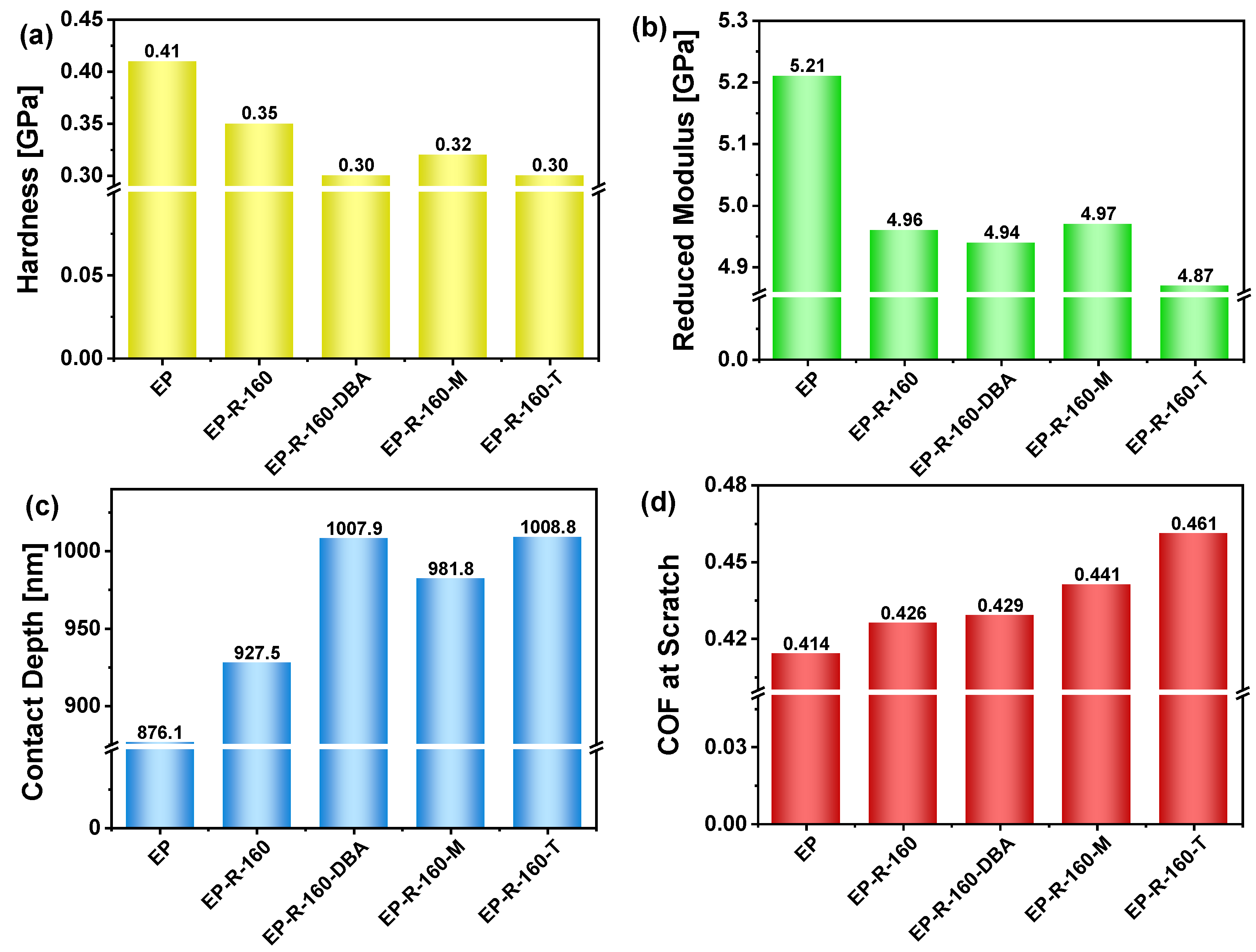
- Hardness and Modulus: The unmodified resin (EP sample) exhibits a higher hardness (about 36.7% more) and reduced modulus (about 7% more), consequently leading to a lower contact depth and coefficient of friction (COF) (11.4% less) compared to other rubber-functionalized formulations (EP-R-160, EP-R-160-DBA, EP-R-160-M, and EP-R-160-T). In particular, the sample EP-R-160-T demonstrates the highest COF, showing an enhancement of approximately 11.4% and 8.2% compared to sample EP and EP-R-160, respectively. In fact, the addition of finely well-dispersed globular domains of rubber acting as a plasticizer reduces the overall hardness;
- Mechanical Energy Absorption: Other rubber-functionalized formulations (EP-R-160, EP-R-160-DBA, EP-R-160-M, and EP-R-160-T) are better suited for preserving damage from mechanical stresses due to their capabilities in absorbing mechanical energy. In fact, the addition of finely well-dispersed globular rubber domains acting as energy-dissipator upon scratching reduces the severity of scratches and prevents crack propagation;
- FEM Simulation Validation: The excellent agreement between the experimental nanoindentation data and the finite element method (FEM) simulations serves as a strong validation of the model.This validation of the FEM model underscores its efficacy in predicting the mechanical behavior of nanocomposite materials under nanoindentation;
- Successful Rubber-functionalization of Epoxy Systems: SEM images of the samples EP-R-160-DBA, EP-R-160-M, and EP-R-160-T, chemically modified with the rubber phase and containing self-healing molecules, show a rubber phase in the form of small globular domains well anchored to the hosting matrix, serving as a proof of a successful functionalization. The globular domains of the elastomeric phase are characterized by roughly the same dimensions for all samples. The average globular domains’ diameter ranges between 314 nm (for the EP-R-160-DBA sample), 354 nm (for the EP-R-160-M sample), and 397 nm (for the EP-R-160-T sample).
Supplementary Materials
Author Contributions
Funding
Institutional Review Board Statement
Data Availability Statement
Conflicts of Interest
References
- Branda, F.; Parida, D.; Pauer, R.; Durante, M.; Gaan, S.; Malucelli, G.; Bifulco, A. Effect of the Coupling Agent (3-Aminopropyl) Triethoxysilane on the Structure and Fire Behavior of Solvent-Free One-Pot Synthesized Silica-Epoxy Nanocomposites. Polymers 2022, 14, 3853. [Google Scholar] [CrossRef] [PubMed]
- Bifulco, A.; Marotta, A.; Passaro, J.; Costantini, A.; Cerruti, P.; Gentile, G.; Ambrogi, V.; Malucelli, G.; Branda, F. Thermal and Fire Behavior of a Bio-Based Epoxy/Silica Hybrid Cured with Methyl Nadic Anhydride. Polymers 2020, 12, 1661. [Google Scholar] [CrossRef]
- Passaro, J.; Bifulco, A.; Calabrese, E.; Imparato, C.; Raimondo, M.; Pantani, R.; Aronne, A.; Guadagno, L. Hybrid Hemp Particles as Functional Fillers for the Manufacturing of Hydrophobic and Anti-Icing Epoxy Composite Coatings. ACS Omega 2023, 8, 23596–23606. [Google Scholar] [CrossRef]
- Righi, C.; Barbieri, F.; Sgarbi, E.; Maistrello, L.; Bertacchini, A.; Andreola, F.N.; D’angelo, A.; Catauro, M.; Barbieri, L. Suitability of Porous Inorganic Materials from Industrial Residues and Bioproducts for Use in Horticulture: A Multidisciplinary Approach. Appl. Sci. 2022, 12, 5437. [Google Scholar] [CrossRef]
- Vertuccio, L.; Guadagno, L.; D’Angelo, A.; Viola, V.; Raimondo, M.; Catauro, M. Sol-Gel Synthesis of Caffeic Acid Entrapped in Silica/Polyethylene Glycol Based Organic-Inorganic Hybrids: Drug Delivery and Biological Properties. Appl. Sci. 2023, 13, 2164. [Google Scholar] [CrossRef]
- Guadagno, L.; Longo, R.; Aliberti, F.; Lamberti, P.; Tucci, V.; Pantani, R.; Spinelli, G.; Catauro, M.; Vertuccio, L. Role of MWCNTs Loading in Designing Self-Sensing and Self-Heating Structural Elements. Nanomaterials 2023, 13, 495. [Google Scholar] [CrossRef] [PubMed]
- Bohra, B.S.; Singh, P.; Rana, A.; Sharma, H.; Arya, T.; Pathak, M.; Chaurasia, A.; Rana, S.; Sahoo, N.G. Specific Functionalized Graphene Oxide-Based Vitrimer Epoxy Nanocomposites for Self-Healing Applications. Compos. Sci. Technol. 2023, 241, 110143. [Google Scholar] [CrossRef]
- Rana, S.; Solanki, M.; Sahoo, N.G.; Krishnakumar, B. Bio-Vitrimers for Sustainable Circular Bio-Economy. Polymers 2022, 14, 4338. [Google Scholar] [CrossRef] [PubMed]
- Kanu, N.J.; Gupta, E.; Vates, U.K.; Singh, G.K. Self-Healing Composites: A State-of-the-Art Review. Compos. Part A Appl. Sci. Manuf. 2019, 121, 474–486. [Google Scholar] [CrossRef]
- Islam, S.; Bhat, G. Progress and Challenges in Self-Healing Composite Materials. Mater. Adv. 2021, 2, 1896–1926. [Google Scholar] [CrossRef]
- Thakur, V.K.; Kessler, M.R. Self-Healing Polymer Nanocomposite Materials: A Review. Polymer 2015, 69, 369–383. [Google Scholar] [CrossRef]
- Blaiszik, B.J.; Kramer, S.L.B.; Olugebefola, S.C.; Moore, J.S.; Sottos, N.R.; White, S.R. Self-Healing Polymers and Composites. Annu. Rev. Mater. Res. 2010, 40, 179–211. [Google Scholar] [CrossRef]
- Li, B.; Cao, P.F.; Saito, T.; Sokolov, A.P. Intrinsically Self-Healing Polymers: From Mechanistic Insight to Current Challenges. Chem. Rev. 2023, 123, 701–735. [Google Scholar] [CrossRef] [PubMed]
- Namazi, H. Polymers in Our Daily Life. Bioimpacts 2017, 7, 73–74. [Google Scholar] [CrossRef] [PubMed]
- Mark, J.; Ngai, K.; Graesslev, W.; Mandelkern, L.; Samulski, E.; Wignall, G.; Koenig, J. Physical Properties of Polymers, 3rd ed.; Cambridge University Press: New York, NY, USA, 2004. [Google Scholar]
- Campanella, A.; Döhler, D.; Binder, W.H.; Campanella, A.; Döhler, D.; Binder, H. Self-Healing in Supramolecular Polymers Self-Healing Materials. Macromol. Rapid Commun. 2018, 39, 1700739. [Google Scholar] [CrossRef] [PubMed]
- Utrera-Barrios, S.; Verdejo, R.; López-Manchado, M.A.; Hernández Santana, M. Evolution of Self-Healing Elastomers, from Extrinsic to Combined Intrinsic Mechanisms: A Review. Mater. Horiz. 2020, 7, 2882–2902. [Google Scholar] [CrossRef]
- White, S.R.; Sottos, N.R.; Geubelle, P.H.; Moore, J.S.; Kessler, M.R.; Sriram, S.R.; Brown, E.N.; Viswanathan, S. Autonomic Healing of Polymer Composites. Nature 2001, 409, 794–797. [Google Scholar] [CrossRef] [PubMed]
- Jin, H.; Miller, G.M.; Pety, S.J.; Griffin, A.S.; Stradley, D.S.; Roach, D.; Sottos, N.R.; White, S.R. Fracture Behavior of a Self-Healing, Toughened Epoxy Adhesive. Int. J. Adhes. Adhes. 2013, 44, 157–165. [Google Scholar] [CrossRef]
- Goyal, M.; Agarwal, S.N.; Bhatnagar, N. A Review on Self-Healing Polymers for Applications in Spacecraft and Construction of Roads. J. Appl. Polym. Sci. 2022, 139, e52816. [Google Scholar] [CrossRef]
- Bagale, U.D.; Sonawane, S.H.; Bhanvase, B.A.; Kulkarni, R.D.; Gogate, P.R. Green Synthesis of Nanocapsules for Self-Healing Anticorrosion Coating Using Ultrasound-Assisted Approach. Green. Process. Synth. 2018, 7, 147–159. [Google Scholar] [CrossRef]
- Bagale, U.D.; Desale, R.; Sonawane, S.H.; Kulkarni, R.D. An Active Corrosion Inhibition Coating of Two Pack Epoxy Polyamide System Using Halloysite Nanocontainer. Prot. Met. Phys. Chem. Surf. 2018, 54, 230–239. [Google Scholar] [CrossRef]
- Guadagno, L.; Longo, P.; Raimondo, M.; Naddeo, C.; Mariconda, A.; Sorrentino, A.; Vittoria, V.; Iannuzzo, G.; Russo, S. Cure Behavior and Mechanical Properties of Structural Self-Healing Epoxy Resins. J. Polym. Sci. Part B Polym. Phys. 2010, 48, 2413–2423. [Google Scholar] [CrossRef]
- Outwater, J.O.; Gerry, D.J. On the Fracture Energy, Rehealing Velocity and Refracture Energy of Cast Epoxy Resin. J. Adhes. 1969, 1, 290–298. [Google Scholar] [CrossRef]
- Rahmathullah, M.A.M.; Palmese, G.R. Crack-Healing Behavior of Epoxy-Amine Thermosets. J. Appl. Polym. Sci. 2009, 113, 2191–2201. [Google Scholar] [CrossRef]
- Luo, X.; Mather, P.T. Shape Memory Assisted Self-Healing Coating. ACS Macro Lett. 2024, 2, 152–156. [Google Scholar] [CrossRef]
- Nelson, B.A.; King, W.P.; Gall, K. Shape Recovery of Nanoscale Imprints in a Thermoset “Shape Memory” Polymer. Appl. Phys. Lett. 2005, 86, 103108. [Google Scholar] [CrossRef]
- Cho, S.H.; White, S.R.; Braun, P.V.; Braun, P.V.; Institute, B.; Cho, S.H. Self-Healing Polymer Coatings. Adv. Mater. 2009, 21, 645–649. [Google Scholar] [CrossRef]
- Guadagno, L.; Raimondo, M.; Naddeo, C.; Vertuccio, L.; Russo, S.; Iannuzzo, G.; Calabrese, E. Rheological, Thermal and Mechanical Characterization of Toughened Self-Healing Supramolecular Resins, Based on Hydrogen Bonding. Nanomaterials 2022, 12, 4322. [Google Scholar] [CrossRef] [PubMed]
- Guadagno, L.; Vertuccio, L.; Naddeo, C.; Calabrese, E.; Barra, G.; Raimondo, M.; Sorrentino, A.; Binder, W.H.; Michael, P.; Rana, S. Reversible Self-Healing Carbon-Based Nanocomposites for Structural Applications. Polymers 2019, 11, 903. [Google Scholar] [CrossRef]
- Vertuccio, L.; Calabrese, E.; Raimondo, M.; Catauro, M.; Sorrentino, A.; Naddeo, C.; Longo, R.; Guadagno, L. Effect of Temperature on the Functionalization Process of Structural Self-Healing Epoxy Resin. Aerospace 2023, 10, 476. [Google Scholar] [CrossRef]
- Gibson, R.F. A Review of Recent Research on Nanoindentation of Polymer Composites and Their Constituents. Compos. Sci. Technol. 2014, 105, 51–65. [Google Scholar] [CrossRef]
- Yan, C.; Bor, B.; Plunkett, A.; Domènech, B.; Maier-Kiener, V.; Giuntini, D. Nanoindentation Creep of Supercrystalline Nanocomposites. Mater. Des. 2023, 231, 112000. [Google Scholar] [CrossRef]
- Lam, C.K.; Lau, K.T. Localized Elastic Modulus Distribution of Nanoclay/Epoxy Composites by Using Nanoindentation. Compos. Struct. 2006, 75, 553–558. [Google Scholar] [CrossRef]
- Karimzadeh, A.; Koloor, S.S.R.; Ayatollahi, M.R.; Bushroa, A.R.; Yahya, M.Y. Assessment of Nano-Indentation Method in Mechanical Characterization of Heterogeneous Nanocomposite Materials Using Experimental and Computational Approaches. Sci. Rep. 2019, 9, 15763. [Google Scholar] [CrossRef]
- Arora, G.; Pathak, H. Nanoindentation Characterization of Polymer Nanocomposites for Elastic and Viscoelastic Properties: Experimental and Mathematical Approach. Compos. Part C Open Access 2021, 4, 100103. [Google Scholar] [CrossRef]
- Ramos, V.D.; Da Costa, H.M.; Soares, V.L.P.; Nascimento, R.S.V. Modification of Epoxy Resin: A Comparison of Different Types of Elastomer. Polym. Test. 2005, 24, 387–394. [Google Scholar] [CrossRef]
- Spinelli, G.; Lamberti, P.; Tucci, V.; Kotsilkova, R.; Ivanov, E.; Menseidov, D.; Naddeo, C.; Romano, V.; Guadagno, L.; Adami, R.; et al. Nanocarbon/Poly(Lactic) Acid for 3D Printing: Effect of Fillers Content on Electromagnetic and Thermal Properties. Materials 2019, 12, 2369. [Google Scholar] [CrossRef] [PubMed]
- Guadagno, L.; Aliberti, F.; Longo, R.; Raimondo, M.; Pantani, R.; Sorrentino, A.; Catauro, M.; Vertuccio, L. Electrical Anisotropy Controlled Heating of Acrylonitrile Butadiene Styrene 3D Printed Parts. Mater. Des. 2023, 225, 111507. [Google Scholar] [CrossRef]
- Čech, J.; Haušild, P.; Kovářík, O.; Materna, A. Examination of Berkovich Indenter Tip Bluntness. Mater. Des. 2016, 109, 347–353. [Google Scholar] [CrossRef]
- Khelifa, M.; Fierro, V.; Celzard, A. Finite Element Simulation of Nanoindentation Tests Using a Macroscopic Computational Model. J. Mech. Sci. Technol. 2014, 28, 3209–3217. [Google Scholar] [CrossRef]
- Troyon, M.; Huang, L. Correction Factor for Contact Area in Nanoindentation Measurements. J. Mater. Res. 2005, 20, 610–617. [Google Scholar] [CrossRef]
- Lee, J.H.; Lee, H.; Kim, D.H. A Numerical Approach to Evaluation of Elastic Modulus Using Conical Indenter with Finite Tip Radius. J. Mater. Res. 2008, 23, 2528–2537. [Google Scholar] [CrossRef]
- Kim, J.H.; Kim, D.Y.; Lee, J.; Kwon, S.W.; Kim, J.; Kang, S.K.; Hong, S.; Kim, Y.C. Elastic Modulus Prediction from Indentation Using Machine Learning: Considering Tip Geometric Imperfection. Met. Mater. Int. 2024. [Google Scholar] [CrossRef]
- Krier, J.; Breuils, J.; Jacomine, L.; Pelletier, H. Introduction of the Real Tip Defect of Berkovich Indenter to Reproduce with FEM Nanoindentation Test at Shallow Penetration Depth. J. Mater. Res. 2012, 27, 28–38. [Google Scholar] [CrossRef]
- Doerner, M.F.; Nix, W.D. A Method for Interpreting the Data from Depth-Sensing Indentation Instruments. J. Mater. Res. 1986, 1, 601–609. [Google Scholar] [CrossRef]
- Oliver, W.C.; Pharr, G.M. Measurement of Hardness and Elastic Modulus by Instrumented Indentation: Advances in Understanding and Refinements to Methodology. J. Mater. Res. 2004, 19, 3–20. [Google Scholar] [CrossRef]
- Guadagno, L.; Raimondo, M.; Vertuccio, L.; Lamparelli, E.P.; Ciardulli, M.C.; Longo, P.; Mariconda, A.; Della Porta, G.; Longo, R. Electrospun Membranes Designed for Burst Release of New Gold-Complexes Inducing Apoptosis of Melanoma Cells. Int. J. Mol. Sci. 2022, 23, 7147. [Google Scholar] [CrossRef] [PubMed]
- Sneddon, I.N. The Relation between Load and Penetration in the Axisymmetric Boussinesq Problem for a Punch of Arbitrary Profile. Int. J. Eng. Sci. 1965, 3, 47–57. [Google Scholar] [CrossRef]
- Němeček, J.; Němeček, J.; Lukeš, J. High-Speed Mechanical Mapping of Blended Cement Pastes and Its Comparison with Standard Modes of Nanoindentation. Mater. Today Commun. 2020, 23, 100806. [Google Scholar] [CrossRef]




























| SAMPLE | Contact Depth Exp. | Contact Depth Simul. | Percent Change | Hardness Exp. | Hardness Simul. | Percent Change |
|---|---|---|---|---|---|---|
| EP | 876.1 [nm] | 877 [nm] | 0.103 | 0.41 [GPa] | 0.42 [GPa] | 2.439 |
| EP-R-160-T | 1008.8 [nm] | 1010 [nm] | 0.119 | 0.30 [GPa] | 0.32 [GPa] | 6.667 |
Disclaimer/Publisher’s Note: The statements, opinions and data contained in all publications are solely those of the individual author(s) and contributor(s) and not of MDPI and/or the editor(s). MDPI and/or the editor(s) disclaim responsibility for any injury to people or property resulting from any ideas, methods, instructions or products referred to in the content. |
© 2024 by the authors. Licensee MDPI, Basel, Switzerland. This article is an open access article distributed under the terms and conditions of the Creative Commons Attribution (CC BY) license (https://creativecommons.org/licenses/by/4.0/).
Share and Cite
Spinelli, G.; Guarini, R.; Ivanov, E.; Calabrese, E.; Raimondo, M.; Longo, R.; Guadagno, L.; Vertuccio, L. Nanoindentation Response of Structural Self-Healing Epoxy Resin: A Hybrid Experimental–Simulation Approach. Polymers 2024, 16, 1849. https://doi.org/10.3390/polym16131849
Spinelli G, Guarini R, Ivanov E, Calabrese E, Raimondo M, Longo R, Guadagno L, Vertuccio L. Nanoindentation Response of Structural Self-Healing Epoxy Resin: A Hybrid Experimental–Simulation Approach. Polymers. 2024; 16(13):1849. https://doi.org/10.3390/polym16131849
Chicago/Turabian StyleSpinelli, Giovanni, Rosella Guarini, Evgeni Ivanov, Elisa Calabrese, Marialuigia Raimondo, Raffaele Longo, Liberata Guadagno, and Luigi Vertuccio. 2024. "Nanoindentation Response of Structural Self-Healing Epoxy Resin: A Hybrid Experimental–Simulation Approach" Polymers 16, no. 13: 1849. https://doi.org/10.3390/polym16131849
APA StyleSpinelli, G., Guarini, R., Ivanov, E., Calabrese, E., Raimondo, M., Longo, R., Guadagno, L., & Vertuccio, L. (2024). Nanoindentation Response of Structural Self-Healing Epoxy Resin: A Hybrid Experimental–Simulation Approach. Polymers, 16(13), 1849. https://doi.org/10.3390/polym16131849

