Three-Dimensional Thermo–Chemo–Mechanical Coupled Curing Analysis for the Filament Wound Composite Shell
Abstract
1. Introduction
2. Resin Test
2.1. Preparation of Resin Matrix
2.2. Non-Isothermal DSC Test
2.3. Tensile Test
2.4. Experimental Results and Discussions
3. Construction of the Composite Curing Coupled Model
3.1. The Thermo–Chemo–Mechanical Coupled Model
3.2. Constitutive Relationships of the Composite Material
3.3. Flowchart of the Curing Coupled Model
3.4. FE Model of the Composite Shell
4. Results and Discussions
4.1. Temperature and Curing Degree Analysis
4.2. Residual Stress and Residual Strain Analysis
5. Conclusions
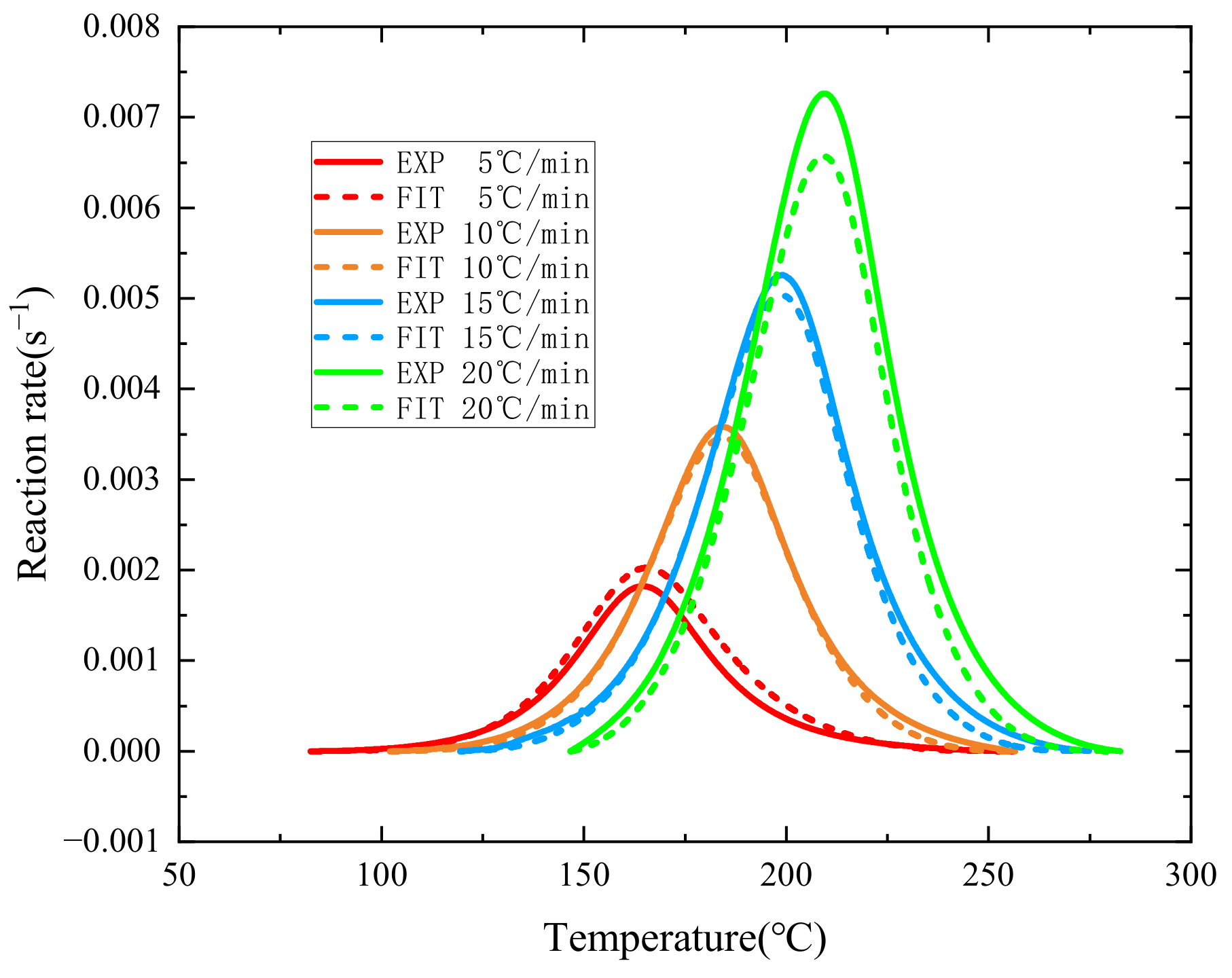
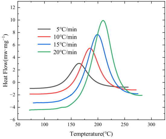
- The non-isothermal DSC test was carried out on HCM-2184 resin, and the curing reaction was analyzed to belong to the autocatalytic reaction model. The parameters of the curing kinetic formula were obtained by mathematical fitting. The elastic modulus of the resin after curing was obtained using a tensile test. These material parameters are used in the curing numerical simulation.
- Combining the heat conduction, the curing behavior of resin, and the curing deformation of composite materials, a thermo–chemo–mechanical coupled numerical model was constructed on the basis of considering the coordinate transformation of the composite shell, and the curing process of the composite shell model was simulated.
- The curing process of the composite shell is analyzed. The results show that the heat accumulation caused by curing heat release can be observed in the thicker parts of the shell, such as the head section. However, due to the thin shell, the curing heat generation is not obvious. During the curing process, the strain changes inside and outside the shell barrel body are close, and the stress is different due to the change in fiber winding angle. During the intensive curing stage of the resin, the strain decreases rapidly and the stress increases, indicating that the curing shrinkage behavior of the resin is an important factor in the generation of residual stress and residual strain.
Author Contributions
Funding
Institutional Review Board Statement
Informed Consent Statement
Data Availability Statement
Conflicts of Interest
References
- Dong, C. Process-induced deformation of composite T-stiffener structures. Compos. Struct. 2010, 92, 1614–1619. [Google Scholar] [CrossRef]
- Li, J.; Yao, X.; Liu, Y.; Cen, Z.; Kou, Z.; Dai, D. A study of the integrated composite material structures under different fabrication processing. Compos. Part A 2009, 40, 455–462. [Google Scholar] [CrossRef]
- Mangalgiri, P.D. Composite materials for aerospace applications. Bull. Mater. Sci. 1999, 22, 657–664. [Google Scholar] [CrossRef]
- Neto, E.S.B.; Chludzinski, M.; Roese, P.B.; Fonseca, J.S.O.; Amico, S.C.; Ferreira, C.A. Experimental and numerical analysis of a LLDPE/HDPE liner for a composite pressure vessel. Polym. Test. 2011, 30, 693–700. [Google Scholar] [CrossRef]
- Mlýnek, J.; Rahimian Koloor, S.S.; Martinec, T.; Petrů, M. Fabrication of high-quality straight-line polymer composite frame with different radius parts using fiber winding process. Polymers 2021, 13, 497. [Google Scholar] [CrossRef] [PubMed]
- Zhi, J.; Yang, B.; Li, Y.; Tay, T.E.; Tan, V.B.C. Multiscale thermo-mechanical analysis of cure-induced deformation in composite laminates using Direct FE2. Compos. Part A 2023, 173, 107704. [Google Scholar] [CrossRef]
- Khoun, L.; Centea, T.; Hubert, P. Characterization methodology of thermoset resins for the processing of composite materials—Case study: CYCOM 890RTM epoxy resin. J. Compos. Mater. 2010, 44, 1397–1415. [Google Scholar] [CrossRef]
- Ersoy, N.; Garstka, T.; Potter, K.; Wisnom, M.R.; Porter, D.; Stringer, G. Modelling of the spring-in phenomenon in curved parts made of a thermosetting composite. Compos. Part A 2010, 41, 410–418. [Google Scholar] [CrossRef]
- Wisnom, M.R.; Potter, K.D.; Ersoy, N. Shear-lag analysis of the effect of thickness on spring-in of curved composites. J. Compos. Mater. 2007, 41, 1311–1324. [Google Scholar] [CrossRef]
- Yuan, Z.; Yang, G.; Yang, Z.; Feng, Y.; Li, S.; Li, Y.; Song, D. Process-Induced Deformation of L-Shaped Laminates: Analysis of Tool–Part Interaction. Mech. Compos. Mater. 2021, 56, 789–804. [Google Scholar] [CrossRef]
- Yoo, S.H.; Han, M.G.; Hong, J.H.; Chang, S.H. Simulation of curing process of carbon/epoxy composite during autoclave degassing molding by considering phase changes of epoxy resin. Compos. Part B 2015, 77, 257–267. [Google Scholar] [CrossRef]
- Behzad, T.; Sain, M. Finite element modeling of polymer curing in natural fiber reinforced composites. Compos. Sci. Technol. 2007, 67, 1666–1673. [Google Scholar] [CrossRef]
- Brauner, C.; Soprano, P.; Herrmann, A.S.; Meiners, D. Cure-dependent thermo-chemical modelling and analysis of the manufacturing process of an aircraft composite frame. J. Compos. Mater. 2015, 49, 921–938. [Google Scholar] [CrossRef]
- Qiao, M.; You, B.; Xu, J.; Wang, X. Analysis of the influence of the mold on a thick thermoset composite flange during curing. Int. J. Adv. Manuf. Tech. 2015, 78, 603–612. [Google Scholar] [CrossRef]
- Vafayan, M.; Ghoreishy, M.H.R.; Abedini, H.; Beheshty, M.H. Development of an optimized thermal cure cycle for a complex-shape composite part using a coupled finite element/genetic algorithm technique. Iran. Polym. J. 2015, 24, 459–469. [Google Scholar] [CrossRef]
- Lee, W.I.; Loos, A.C.; Springer, G.S. Heat of reaction, degree of cure, and viscosity of Hercules 3501-6 resin. J. Compos. Mater. 1982, 16, 510–520. [Google Scholar] [CrossRef]
- Zanjanijam, A.R.; Wang, X.; Ramezani, M.; Holberg, S.; Johnson, P.A. Phenolic resin/coal char composites: Curing kinetics and thermal/mechanical performance. Polymer 2023, 281, 126103. [Google Scholar] [CrossRef]
- Struzziero, G.; Remy, B.; Skordos, A.A. Measurement of thermal conductivity of epoxy resins during cure. J. Appl. Polym. Sci. 2019, 136, 47015. [Google Scholar] [CrossRef]
- Chern, B.C.; Moon, T.J.; Howell, J.R.; Tan, W. New experimental data for enthalpy of reaction and temperature-and degree-of-cure-dependent specific heat and thermal conductivity of the Hercules 3501-6 epoxy system. J. Compos. Mater. 2002, 36, 2061–2072. [Google Scholar] [CrossRef]
- Friis-Pedersen, H.H.; Pedersen, J.H.; Haussler, L.; Storm, B.K. Online measurement of thermal diffusivity during cure of an epoxy composite. Polym. Test. 2006, 25, 1059–1068. [Google Scholar] [CrossRef]
- Johnston, A.A. An Integrated Model of the Development of Process-Induced Deformation in Autoclave Processing of Composite Structures. Ph.D. Thesis, University of British Columbia, Vancouver, BC, Canada, 1997. [Google Scholar]
- Pantelelis, N.; Vrouvakis, T.; Spentzas, K. Cure cycle design for composite materials using computer simulation and optimisation tools. Forsch. Ingenieurwes. 2003, 67, 254–262. [Google Scholar] [CrossRef]
- Loos, A.C.; Springer, G.S. Curing of epoxy matrix composites. J. Compos. Mater. 1983, 17, 135–169. [Google Scholar] [CrossRef]
- Yi, S.; Hilton, H.H.; Ahmad, M.F. A finite element approach for cure simulation of thermosetting matrix composites. Comput. Struct. 1997, 64, 383–388. [Google Scholar] [CrossRef]
- Cheung, A.; Yu, Y.; Pochiraju, K. Three-dimensional finite element simulation of curing of polymer composites. Finite Elem Anal Ded. 2004, 40, 895–912. [Google Scholar] [CrossRef]
- Abdelal, G.F.; Robotham, A.; Cantwell, W. Autoclave cure simulation of composite structures applying implicit and explicit FE techniques. Int. J. Mech. Mater. Des. 2013, 9, 55–63. [Google Scholar] [CrossRef]
- Bogetti, T.A.; Gillespie, J.W., Jr. Process-induced stress and deformation in thick-section thermoset composite laminates. J. Compos. Mater. 1992, 26, 626–660. [Google Scholar] [CrossRef]
- Zhang, J.T.; Zhang, M.; Li, S.X.; Pavier, M.J.; Smith, D.J. Residual stresses created during curing of a polymer matrix composite using a viscoelastic model. Compos. Sci. Technol. 2016, 130, 20–27. [Google Scholar] [CrossRef]
- Abouhamzeh, M.; Sinke, J.; Jansen, K.M.B.; Benedictus, R. Thermo-viscoelastic analysis of GLARE. Compos. Part B 2016, 99, 1–8. [Google Scholar] [CrossRef]
- Zocher, M.A.; Groves, S.E.; Allen, D.H. A three-dimensional finite element formulation for thermovis-coelastic orthotropic media. Int. J. Numer. Meth. Eng. 1997, 40, 2267–2288. [Google Scholar] [CrossRef]
- Ding, A.; Li, S.; Wang, J.; Zu, L. A three-dimensional thermo-viscoelastic analysis of process-induced residual stress in composite laminates. Compos. Struct. 2015, 129, 60–69. [Google Scholar] [CrossRef]
- Ding, A.; Li, S.; Sun, J.; Wang, J.; Zu, L. A thermo-viscoelastic model of process-induced residual stresses in composite structures with considering thermal dependence. Compos. Struct. 2016, 136, 34–43. [Google Scholar] [CrossRef]
- GB/T 2567-2021; Test Methods for Properties of Resin Casting Body. National Standards of People’s Republic of China: Beijing, China, 2021.
- Fatmi, M.; Ghebouli, B.; Ghebouli, M.A.; Chihi, T.; Hafiz, M.A. The kinetics of precipitation in Al-2.4 wt% Cu alloy by Kissinger, Ozawa, Bosswel and Matusita methods. Phys. B 2011, 406, 2277–2280. [Google Scholar] [CrossRef]
- Wibowo, E.S.; Park, B.D. Cure kinetics of low-molar-ratio urea-formaldehyde resins reinforced with modified nanoclay using different kinetic analysis methods. Thermochim. Acta 2020, 686, 178552. [Google Scholar] [CrossRef]
- Hong, L.C.; Hwang, S.J. Study of warpage due to P-V-T-C relation of EMC in IC packaging. IEEE Trans. Compon. Packag. Technol. 2004, 27, 291–295. [Google Scholar] [CrossRef]
- Wu, Q.; Zu, L.; Wang, P.; Liu, Z.; Zhang, Q.; Zhang, G.; Li, D. Design and fabrication of carbon-fiber-wound composite pressure vessel with HDPE liner. Int. J. Pressure Vessels Piping 2022, 200, 104851. [Google Scholar] [CrossRef]
- Kim, Y.K.; White, S.R. Viscoelastic analysis of processing-induced residual stresses in thick composite laminates. Mech. Compos. Mater. Struct. 1997, 4, 361–387. [Google Scholar] [CrossRef]
- Olivier, P.A. A note upon the development of residual curing strains in carbon/epoxy laminates. Study by thermomechanical analysis. Compos. Part A 2006, 37, 602–616. [Google Scholar] [CrossRef]




















| Heating Rate (°C/min) | Peak Temperature (°C) | Maximum Heat (W/g) | Total Heat Release (J/g) |
|---|---|---|---|
| 5 | 164.85 (0.212) | 2.891 (0.214) | 1962.50 (60.104) |
| 10 | 184.70 (0.566) | 5.604 (0.173) | 1965.00 (74.953) |
| 15 | 199.40 (0.849) | 8.191 (0.714) | 1938.00 (82.024) |
| 20 | 204.75 (0.424) | 9.263 (0.651) | 1763.00 (67.882) |
| Parameter | 30CrMnSiA Steel | Core Mold | EPDM Rubber | Unit |
|---|---|---|---|---|
| 2 × 105 | 1 × 106 | 7.8 | MPa | |
| 0.33 | 0.1 | 0.47 | - | |
| 29.3 | 0.16 | 0.26 | w·m−1·K−1 | |
| 1.172 × 10−5 | 1 × 10−7 | 1 × 10−5 | K−1 | |
| 520 | 1000 | 2200 | J·kg−1·K−1 |
| Parameter | Unit | Value |
|---|---|---|
| MPa | 294,000 | |
| MPa | 14,000 | |
| MPa | 15,000 | |
| MPa | 5500 | |
| - | 0.23 | |
| - | 0.23 |
Disclaimer/Publisher’s Note: The statements, opinions and data contained in all publications are solely those of the individual author(s) and contributor(s) and not of MDPI and/or the editor(s). MDPI and/or the editor(s) disclaim responsibility for any injury to people or property resulting from any ideas, methods, instructions or products referred to in the content. |
© 2024 by the authors. Licensee MDPI, Basel, Switzerland. This article is an open access article distributed under the terms and conditions of the Creative Commons Attribution (CC BY) license (https://creativecommons.org/licenses/by/4.0/).
Share and Cite
Lu, L.; Huan, S.; Lu, M.; Shen, T.; Tian, Y.; Hu, J.; Du, J.; Zhang, M. Three-Dimensional Thermo–Chemo–Mechanical Coupled Curing Analysis for the Filament Wound Composite Shell. Polymers 2024, 16, 1643. https://doi.org/10.3390/polym16121643
Lu L, Huan S, Lu M, Shen T, Tian Y, Hu J, Du J, Zhang M. Three-Dimensional Thermo–Chemo–Mechanical Coupled Curing Analysis for the Filament Wound Composite Shell. Polymers. 2024; 16(12):1643. https://doi.org/10.3390/polym16121643
Chicago/Turabian StyleLu, Linjiao, Shengsheng Huan, Mengkai Lu, Tao Shen, Yanhui Tian, Jianying Hu, Jianke Du, and Minghua Zhang. 2024. "Three-Dimensional Thermo–Chemo–Mechanical Coupled Curing Analysis for the Filament Wound Composite Shell" Polymers 16, no. 12: 1643. https://doi.org/10.3390/polym16121643
APA StyleLu, L., Huan, S., Lu, M., Shen, T., Tian, Y., Hu, J., Du, J., & Zhang, M. (2024). Three-Dimensional Thermo–Chemo–Mechanical Coupled Curing Analysis for the Filament Wound Composite Shell. Polymers, 16(12), 1643. https://doi.org/10.3390/polym16121643

