Understanding Marine Biodegradation of Bio-Based Oligoesters and Plasticizers
Abstract
1. Introduction
2. Materials and Methods
2.1. Materials
2.2. Methods
2.2.1. Enzymatic Activity Assay
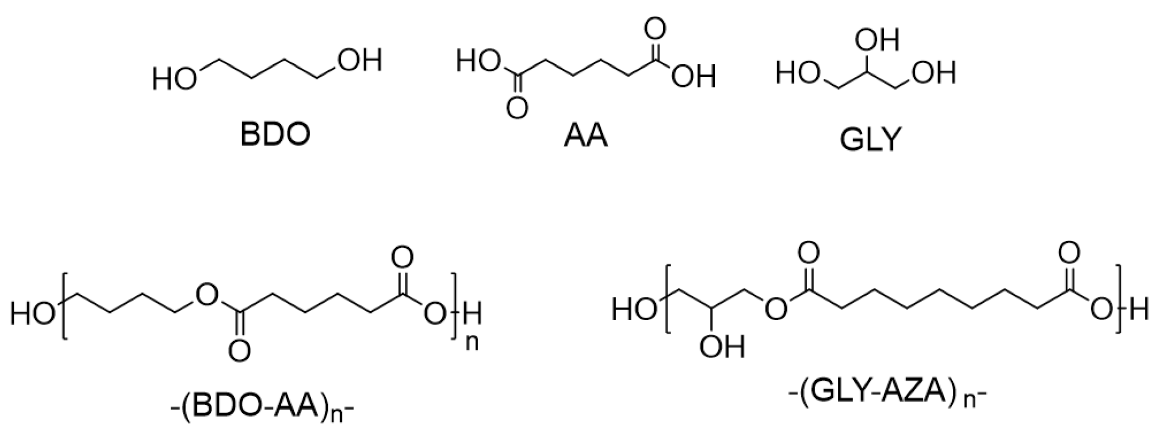
2.2.2. Enzymatic Synthesis of 1,4-Butandiol- and Glycerol-Based Oligoesters
2.2.3. Chemo-Enzymatic Epoxidation of Fatty Acids in Solventless Conditions
2.2.4. Characterization of Epoxidized Fatty Acids by GC-MS Analysis
2.2.5. Synthesis of ECO Sample
2.2.6. Synthesis of ECO-BDO and ECO-SRB Samples
2.2.7. NMR Analysis
2.2.8. Thermal Analysis
2.2.9. Biodegradation Studies
3. Results and Discussion
3.1. Enzymatic Synthesis and Characterization of Oligoesters
3.2. Synthesis and Characterization of Bioplasticizers and Biolubricants Derived from Cardoon Seed Oil
3.3. Chemo-Enzymatic Synthesis and Characterization of Epoxy Fatty Acids
3.4. Thermal Analysis of the Selected Compounds
3.5. DSC Analysis
3.6. Biodegradation Studies
4. Conclusions
Supplementary Materials
Author Contributions
Funding

Institutional Review Board Statement
Data Availability Statement
Conflicts of Interest
References
- Walker, S.; Rothman, R. Life Cycle Assessment of Bio-Based and Fossil-Based Plastic: A Review. J. Clean. Prod. 2020, 261, 121158. [Google Scholar] [CrossRef]
- Plastic Leakage and Greenhouse Gas Emissions Are Increasing. Available online: https://www.oecd.org/environment/plastics/increased-plastic-leakage-and-greenhouse-gas-emissions.htm (accessed on 26 January 2023).
- Plastics—The Facts. 2022. Available online: https://plasticseurope.org/wp-content/uploads/2022/12/PE-PLASTICS-THE-FACTS_FINAL_DIGITAL.pdf (accessed on 26 January 2023).
- Jambeck Jenna, R.; Roland, G.; Chris, W.; Siegler Theodore, R.; Miriam, P.; Anthony, A.; Ramani, N.; Lavender, L.K. Plastic Waste Inputs from Land into the Ocean. Science 2015, 347, 768–770. [Google Scholar] [CrossRef]
- Volova, T.G.; Boyandin, A.N.; Vasiliev, A.D.; Karpov, V.A.; Prudnikova, S.V.; Mishukova, O.V.; Boyarskikh, U.A.; Filipenko, M.L.; Rudnev, V.P.; Bá Xuân, B.; et al. Biodegradation of Polyhydroxyalkanoates (PHAs) in Tropical Coastal Waters and Identification of PHA-Degrading Bacteria. Polym. Degrad. Stab. 2010, 95, 2350–2359. [Google Scholar] [CrossRef]
- Dimassi, S.N.; Hahladakis, J.N.; Yahia, M.N.D.; Ahmad, M.I.; Sayadi, S.; Al-Ghouti, M.A. Degradation-Fragmentation of Marine Plastic Waste and Their Environmental Implications: A Critical Review. Arab. J. Chem. 2022, 15, 104262. [Google Scholar] [CrossRef]
- Wang, G.X.; Huang, D.; Ji, J.H.; Völker, C.; Wurm, F.R. Seawater-Degradable Polymers—Fighting the Marine Plastic Pollution. Adv. Sci. 2021, 8, 2001121. [Google Scholar] [CrossRef]
- Andrew, J.J.; Dhakal, H.N. Sustainable Biobased Composites for Advanced Applications: Recent Trends and Future Opportunities—A Critical Review. Compos. Part C Open Access 2022, 7, 100220. [Google Scholar] [CrossRef]
- Chang, B.P.; Mohanty, A.K.; Misra, M. Studies on Durability of Sustainable Biobased Composites: A Review. RSC Adv. 2020, 10, 17955–17999. [Google Scholar] [CrossRef]
- Rahman, M.H.; Bhoi, P.R. An Overview of Non-Biodegradable Bioplastics. J. Clean. Prod. 2021, 294, 126218. [Google Scholar] [CrossRef]
- Piyal, B. A Review on the Impacts of Microplastic Beads Used in Cosmetics. Acta Biomed. Sci. 2016, 3, 47–52. [Google Scholar]
- Madanhire, I.; Mbhohwa, C. Mitigating Environmental Impact of Petroleum Lubricants; Springer: Berlin/Heidelberg, Germany, 2016. [Google Scholar]
- Vieira, M.G.A.; Da Silva, M.A.; Dos Santos, L.O.; Beppu, M.M. Natural-Based Plasticizers and Biopolymer Films: A Review. Eur. Polym. J. 2011, 47, 254–263. [Google Scholar] [CrossRef]
- United States Environmental Protection Agency. Toxics Release Inventory (TRI) Program; US EPA: Washington, DC, USA, 2021. [Google Scholar]
- Eco-Profiles: PlasticsEurope. Available online: https://plasticseurope.org/sustainability/circularity/life-cycle-thinking/eco-profiles-set/ (accessed on 26 January 2023).
- OECD. Complementing Document to the Emission Scenario Document on Plastic Additives: Plastic Additives during the Use of End Products; OECD: Paris, France, 2019. [Google Scholar]
- Wegener Sleeswijk, A.; Heijungs, R. GLOBOX: A Spatially Differentiated Global Fate, Intake and Effect Model for Toxicity Assessment in LCA. Sci. Total Environ. 2010, 408, 2817–2832. [Google Scholar] [CrossRef] [PubMed]
- Van Zelm, R.; Huijbregts, M.A.J.; Van De Meent, D. USES-LCA 2.0-a Global Nested Multi-Media Fate, Exposure, and Effects Model. Int. J. Life Cycle Assess. 2009, 14, 282–284. [Google Scholar] [CrossRef]
- Weiss, M.; Haufe, J.; Carus, M.; Brandão, M.; Bringezu, S.; Hermann, B.; Patel, M.K. A Review of the Environmental Impacts of Biobased Materials A Review of the Environmental Impacts of Biobased Materials. J. Ind. Ecol. 2012, 16, 169–181. [Google Scholar] [CrossRef]
- Chen, L.; Pelton, R.E.O.; Smith, T.M. Comparative Life Cycle Assessment of Fossil and Bio-Based Polyethylene Terephthalate (PET) Bottles. J. Clean. Prod. 2016, 137, 667–676. [Google Scholar] [CrossRef]
- Spennato, M.; Todea, A.; Corici, L.; Asaro, F.; Cefarin, N.; Savonitto, G.; Deganutti, C.; Gardossi, L. Turning Biomass into Functional Composite Materials: Rice Husk for Fully Renewable Immobilized Biocatalysts. EFB Bioeconomy J. 2021, 1, 100008. [Google Scholar] [CrossRef]
- Zappaterra, F.; Costa, S.; Summa, D.; Semeraro, B.; Cristofori, V.; Trapella, C.; Tamburini, E. Glyceric Prodrug of Ursodeoxycholic Acid (UDCA): Novozym 435-Catalyzed Synthesis of UDCA-Monoglyceride. Molecules 2021, 25, 5966. [Google Scholar] [CrossRef] [PubMed]
- Zappaterra, F.; Summa, D.; Semeraro, B.; Buzzi, R.; Trapella, C.; Ladero, M.; Costa, S.; Tamburini, E. Enzymatic Esterification as Potential Strategy to Enhance the Sorbic Acid Behavior as Food and Beverage Preservative. Fermentation 2020, 6, 96. [Google Scholar] [CrossRef]
- Todea, A.; Otten, L.G.; Frissen, A.E.; Arends, I.W.C.E.; Peter, F.; Boeriu, C.G. Selectivity of Lipases for Estolides Synthesis. Pure Appl. Chem. 2015, 87, 51–58. [Google Scholar] [CrossRef]
- Cogliano, T.; Turco, R.; Russo, V.; Di Serio, M.; Tesser, R. 1H NMR-Based Analytical Method: A Valid and Rapid Tool for the Epoxidation Processes. Ind. Crops Prod. 2022, 186, 115258. [Google Scholar] [CrossRef]
- Standard Test Methods for Hydroxyl Groups Using Acetic Anhydride Acetylation. Available online: https://www.astm.org/e0222-17.html (accessed on 1 February 2023).
- Todea, A.; Fortuna, S.; Ebert, C.; Asaro, F.; Tomada, S.; Cespugli, M.; Hollan, F.; Gardossi, L. Rational Guidelines for the Two-step Scalability of Enzymatic Polycondensation: Experimental and Computational Optimization of the Enzymatic Synthesis of Poly(Glycerolazelate). ChemSusChem 2022, 15, e202102657. [Google Scholar] [CrossRef]
- Zappaterra, F.; Tupini, C.; Summa, D.; Cristofori, V.; Costa, S.; Trapella, C.; Lampronti, I.; Tamburini, E. Xylitol as a Hydrophilization Moiety for a Biocatalytically Synthesized Ibuprofen Prodrug. Int. J. Mol. Sci. 2022, 23, 2026. [Google Scholar] [CrossRef]
- Todea, A.; Deganutti, C.; Spennato, M.; Asaro, F.; Zingone, G.; Milizia, T.; Gardossi, L. Azelaic Acid: A Bio-Based Building Block for Biodegradable Polymers. Polymers 2021, 13, 4091. [Google Scholar] [CrossRef] [PubMed]
- Binns, F.; Harffey, P.; Roberts, S.M.; Taylor, A. Studies Leading to the Large Scale Synthesis of Polyesters Using Enzymes. J. Chem. Soc. Perkin Trans. 1 1999, 19, 2671–2676. [Google Scholar] [CrossRef]
- Pellis, A.; Corici, L.; Sinigoi, L.; D’Amelio, N.; Fattor, D.; Ferrario, V.; Ebert, C.; Gardossi, L. Towards Feasible and Scalable Solvent-Free Enzymatic Polycondensations: Integrating Robust Biocatalysts with Thin Film Reactions. Green Chem. 2015, 17, 1756–1766. [Google Scholar] [CrossRef]
- Cerea, G.; Gardossi, L.; Sinigoi, L.; Fattor, D. Process for the Production of Polyesters through Synthesis Catalyzed by Enzyme. 2013. Available online: https://patents.google.com/patent/EP2620462A1/pt-PT (accessed on 9 February 2023).
- Tesser, R.; Russo, V.; Turco, R.; Vitiello, R.; Di Serio, M. Bio-Lubricants Synthesis from the Epoxidized Oil Promoted by Clays: Kinetic Modelling. Chem. Eng. Sci. 2020, 214, 115445. [Google Scholar] [CrossRef]
- Turco, R.; Ortega-Toro, R.; Tesser, R.; Mallardo, S.; Collazo-Bigliardi, S.; Boix, A.C.; Malinconico, M.; Rippa, M.; Di Serio, M.; Santagata, G. Poly (Lactic Acid)/Thermoplastic Starch Films: Effect of Cardoon Seed Epoxidized Oil on Their Chemicophysical, Mechanical, and Barrier Properties. Coatings 2019, 9, 574. [Google Scholar] [CrossRef]
- Gominho, J.; Curt, M.D.; Lourenço, A.; Fernández, J.; Pereira, H. Cynara Cardunculus L. as a Biomass and Multi-Purpose Crop: A Review of 30 Years of Research. Biomass Bioenergy 2018, 109, 257–275. [Google Scholar] [CrossRef]
- Raccuia, S.A.; Melilli, M.G. Biomass and Grain Oil Yields in Cynara cardunculus L. Genotypes Grown in a Mediterranean Environment. Field Crops Res. 2007, 101, 187–197. [Google Scholar] [CrossRef]
- Fernando, A.L.; Costa, J.; Barbosa, B.; Monti, A.; Rettenmaier, N. Environmental Impact Assessment of Perennial Crops Cultivation on Marginal Soils in the Mediterranean Region. Biomass Bioenergy 2018, 111, 174–186. [Google Scholar] [CrossRef]
- Bosco, F.; Mollea, C. Biodegradation of Natural Rubber: Microcosm Study. Water Air Soil Pollut. 2021, 232, 227. [Google Scholar] [CrossRef]
- Ferrario, V.; Chernykh, A.; Fiorindo, F.; Kolomytseva, M.; Sinigoi, L.; Myasoedova, N.; Fattor, D.; Ebert, C.; Golovleva, L.; Gardossi, L. Investigating the Role of Conformational Effects on Laccase Stability and Hyperactivation under Stress Conditions. ChemBioChem 2015, 16, 2365–2372. [Google Scholar] [CrossRef]
- Bernhardt, P.; Hult, K.; Kazlauskas, R.J. Molecular Basis of Perhydrolase Activity in Serine Hydrolases. Angew. Chem. 2005, 117, 2802–2806. [Google Scholar] [CrossRef]
- Aouf, C.; Durand, E.; Lecomte, J.; Figueroa-Espinoza, M.C.; Dubreucq, E.; Fulcrand, H.; Villeneuve, P. The Use of Lipases as Biocatalysts for the Epoxidation of Fatty Acids and Phenolic Compounds. Green Chem. 2014, 16, 1740–1754. [Google Scholar] [CrossRef]
- Zainal, N.A.; Zulkifli, N.W.M.; Gulzar, M.; Masjuki, H.H. A Review on the Chemistry, Production, and Technological Potential of Bio-Based Lubricants. Renew. Sustain. Energy Rev. 2018, 82, 80–102. [Google Scholar] [CrossRef]
- Min, K.; Cuiffi, J.D.; Mathers, R.T. Ranking Environmental Degradation Trends of Plastic Marine Debris Based on Physical Properties and Molecular Structure. Nat. Commun. 2020, 11, 727. [Google Scholar] [CrossRef]
- Colella, M.F.; Marino, N.; Oliviero Rossi, C.; Seta, L.; Caputo, P.; De Luca, G. Triacylglycerol Composition and Chemical-Physical Properties of Cocoa Butter and Its Derivatives: NMR, DSC, X-ray, Rheological Investigation. Int. J. Mol. Sci. 2023, 24, 2090. [Google Scholar] [CrossRef] [PubMed]
- Woo, E.M.; Wu, M.C. Thermal and X-Ray Analysis of Polymorphic Crystals, Melting, and Crystalline Transformation in Poly(Butylene Adipate). J. Polym. Sci. Part B Polym. Phys. 2005, 43, 1662–1672. [Google Scholar] [CrossRef]
- Bastioli, C. Handbook of Biodegradable Polymers; De Gruyter: Berlin, Germany, 2020. [Google Scholar]
- Wolfson, A.; Dlugy, C.; Shotland, Y. Glycerol as a Green Solvent for High Product Yields and Selectivities. Environ. Chem. Lett. 2007, 5, 67–71. [Google Scholar] [CrossRef]
- Olalla, A.L.; Sara, L.I.; Ricardo, B. Assessment of Toxicity and Biodegradability of Poly(Vinyl Alcohol)-Based Materials in Marine Water. Polymers 2021, 13, 3742. [Google Scholar] [CrossRef]
- Kasuya, K.I.; Takagi, K.I.; Ishiwatari, S.I.; Yoshida, Y.; Doi, Y. Biodegradabilities of Various Aliphatic Polyesters in Natural Waters. Polym. Degrad. Stab. 1998, 59, 327–332. [Google Scholar] [CrossRef]
- Reuschenbach, P.; Pagga, U.; Strotmann, U. A Critical Comparison of Respirometric Biodegradation Tests Based on OECD 301 and Related Test Methods. Water Res. 2003, 37, 1571–1582. [Google Scholar] [CrossRef] [PubMed]
- Lin, C.C.; Lee, L.T.; Hsu, L.J. Degradation of Polyvinyl Alcohol in Aqueous Solutions Using UV-365 Nm/S2O82- Process. Int. J. Environ. Sci. Technol. 2014, 11, 831–838. [Google Scholar] [CrossRef]
- Folino, A.; Karageorgiou, A.; Calabrò, P.S.; Komilis, D. Biodegradation of Wasted Bioplastics in Natural and Industrial Environments: A Review. Sustainability 2020, 12, 6030. [Google Scholar] [CrossRef]
- Weinberger, S.; Pellis, A.; Comerford, J.w.; Farmer, T.J.; Guebitz, G.M. Efficient Physisorption of Candida Antarctica Lipase B on Polypropylene Beads and Application for Polyester Synthesis. Catalysts 2018, 8, 369. [Google Scholar] [CrossRef]
- Kaur, A.; Bhardwaj, N.; Kaur, A.; Abida, K.; Nagaraja, T.P.; Ali, A.; Prakash, R. Nuclear Magnetic Resonance-Based Method for the Quantification of Epoxidized Methyl Oleate. JAOCS J. Am. Oil Chem. Soc. 2021, 98, 139–147. [Google Scholar] [CrossRef]
- Xia, W.; Budge, S.M.; Lumsden, M.D. 1H-NMR Characterization of Epoxides Derived from Polyunsaturated Fatty Acids. JAOCS J. Am. Oil Chem. Soc. 2016, 93, 467–478. [Google Scholar] [CrossRef]







| Sample | BDO-AA | Gly-AZA [27] |
|---|---|---|
| Conversion AA/AZA * (%) | 94 | 96 |
| Mn ** (g mol−1) | 683 | 926 |
| Mw ** (g mol−1) | 729 | 945 |
| Đ ** | 1.06 | 1.02 |
| Sample | Oxirane Number (go2/100gsample) | Hydroxyl Number (gKOH/100gsample) |
|---|---|---|
| ECO | 6.7 | - |
| ECO-BDO | 0.07 | 188.1 |
| ECO-SRB | 0.1 | 178.1 |
| Substrate | Amount of Enzyme (U/gsubstrate) | Reaction Time (h) | Conversion * C=C bond (%) |
|---|---|---|---|
| Oleic acid | 225 | 2 | >99 |
| Linoleic acid | 450 | 2 | 95 |
| Linolenic acid | 450 | 3 | 98 |
| Compound | Mass Loss (%) | |||
|---|---|---|---|---|
| 20–200 °C | 20–300 °C | 20–400 °C | 20–500 °C | |
| (BDO-AA)n | 1.17 | 4.15 | 59.22 | 98.74 |
| ECO-BDO | 4.22 | 19.80 | 67.87 | 99.98 |
| ECO-SRB | 6.93 | 25.96 | 69.31 | 99.10 |
| Compound | Ti (°C) | Tf (°C) | ΔT (°C) | Tm (°C) | ΔHm (J/g) | Tg (°C) |
|---|---|---|---|---|---|---|
| (BDO-AA)n | 27.6 | 48.1 | 20.5 | 44.9 | 51.39 | n.d. |
| (GLY-AZA)n | −29.2 | 9.4 | 19.8 | −16.4 | 21.52 | n.d. |
| ECO-BDO | −8.8 | 9.1 | 17.9 | −1.9 | 13.66 | −12.7 |
| ECO-SORB | −1.3 | 13.5 | 14.8 | −3.2 | 10.79 | −16.0 |
| EPX-OIL | −12.8 | 13.6 | 26.4 | 0.7 | 10.50 | −11.2 |
| No | Sample | ThOD (mg/mg) | BOD5 (mg/L) | Dt5 (%) | BOD10 (mg/L) | Dt10 (%) | BOD21 (mg/L) | Dt21 (%) |
|---|---|---|---|---|---|---|---|---|
| 1 | BDO | 13.62 | 30.10 | 2.21 | 69.50 | 5.10 | 128.90 | 9.43 |
| 2 | AA | 6.38 | 28.11 | 12.23 | 48.70 | 21.19 | 81.90 | 35.44 |
| 3 | GLY | 5.30 | 15.50 | 2.92 | 32.80 | 6.18 | 55.95 | 10.55 |
| 4 | (BDO-AA)n | 1.32 | 25.95 | 19.55 | 45.40 | 34.20 | 66.30 | 49.95 |
| 5 | (GLY-AZA)n | 1.31 | 12.90 | 9.80 | 28.25 | 21.45 | 48.35 | 36.71 |
| 6 | ESO-BDO | 1.66 | 27.10 | 16.25 | 37.90 | 22.44 | 48.65 | 27.53 |
| 7 | ECO-SORB | 1.05 | 14.40 | 13.33 | 28.45 | 27.53 | 41.85 | 36.81 |
| 8 | EPX_OIL | 2.39 | 14.60 | 6.13 | 29.65 | 12.37 | 40.40 | 16.85 |
| 9 | Cardoon_oil | 2.69 | 14.90 | 5.52 | 27.55 | 10.20 | 42.25 | 15.72 |
| 10 | EPX_oleic | 7.21 | 34.55 | 4.51 | 50.60 | 6.53 | 67.25 | 8.74 |
| 11 | EPX_LN | 6.30 | 34.30 | 5.12 | 48.60 | 7.15 | 61.80 | 9.14 |
| 12 | EPX_LNN | 5.51 | 17.50 | 2.81 | 22.80 | 3.49 | 31.80 | 5.00 |
Disclaimer/Publisher’s Note: The statements, opinions and data contained in all publications are solely those of the individual author(s) and contributor(s) and not of MDPI and/or the editor(s). MDPI and/or the editor(s) disclaim responsibility for any injury to people or property resulting from any ideas, methods, instructions or products referred to in the content. |
© 2023 by the authors. Licensee MDPI, Basel, Switzerland. This article is an open access article distributed under the terms and conditions of the Creative Commons Attribution (CC BY) license (https://creativecommons.org/licenses/by/4.0/).
Share and Cite
Zappaterra, F.; Renzi, M.; Piccardo, M.; Spennato, M.; Asaro, F.; Di Serio, M.; Vitiello, R.; Turco, R.; Todea, A.; Gardossi, L. Understanding Marine Biodegradation of Bio-Based Oligoesters and Plasticizers. Polymers 2023, 15, 1536. https://doi.org/10.3390/polym15061536
Zappaterra F, Renzi M, Piccardo M, Spennato M, Asaro F, Di Serio M, Vitiello R, Turco R, Todea A, Gardossi L. Understanding Marine Biodegradation of Bio-Based Oligoesters and Plasticizers. Polymers. 2023; 15(6):1536. https://doi.org/10.3390/polym15061536
Chicago/Turabian StyleZappaterra, Federico, Monia Renzi, Manuela Piccardo, Mariachiara Spennato, Fioretta Asaro, Martino Di Serio, Rosa Vitiello, Rosa Turco, Anamaria Todea, and Lucia Gardossi. 2023. "Understanding Marine Biodegradation of Bio-Based Oligoesters and Plasticizers" Polymers 15, no. 6: 1536. https://doi.org/10.3390/polym15061536
APA StyleZappaterra, F., Renzi, M., Piccardo, M., Spennato, M., Asaro, F., Di Serio, M., Vitiello, R., Turco, R., Todea, A., & Gardossi, L. (2023). Understanding Marine Biodegradation of Bio-Based Oligoesters and Plasticizers. Polymers, 15(6), 1536. https://doi.org/10.3390/polym15061536

