Effect of Lanthanum Sorption on the Behavior of Rarely Crosslinked Acidic and Basic Polymer Hydrogels during Remote Interaction
Abstract
1. Introduction
2. Materials and Methods
2.1. Materials
2.2. Methods
2.2.1. Synthesis of Rarely Crosslinked Polymeric Hydrogels
Acidic Hydrogels Synthesis
Basic Hydrogels Synthesis
Purification and Sampling of the Synthesized Rarely Crosslinked Polymeric Hydrogels
2.2.2. Preparation of Interpolymer Systems
2.2.3. Sorption Experiments
2.2.4. Equipment
2.2.5. Calculation of the Parameters
3. Results and Discussion
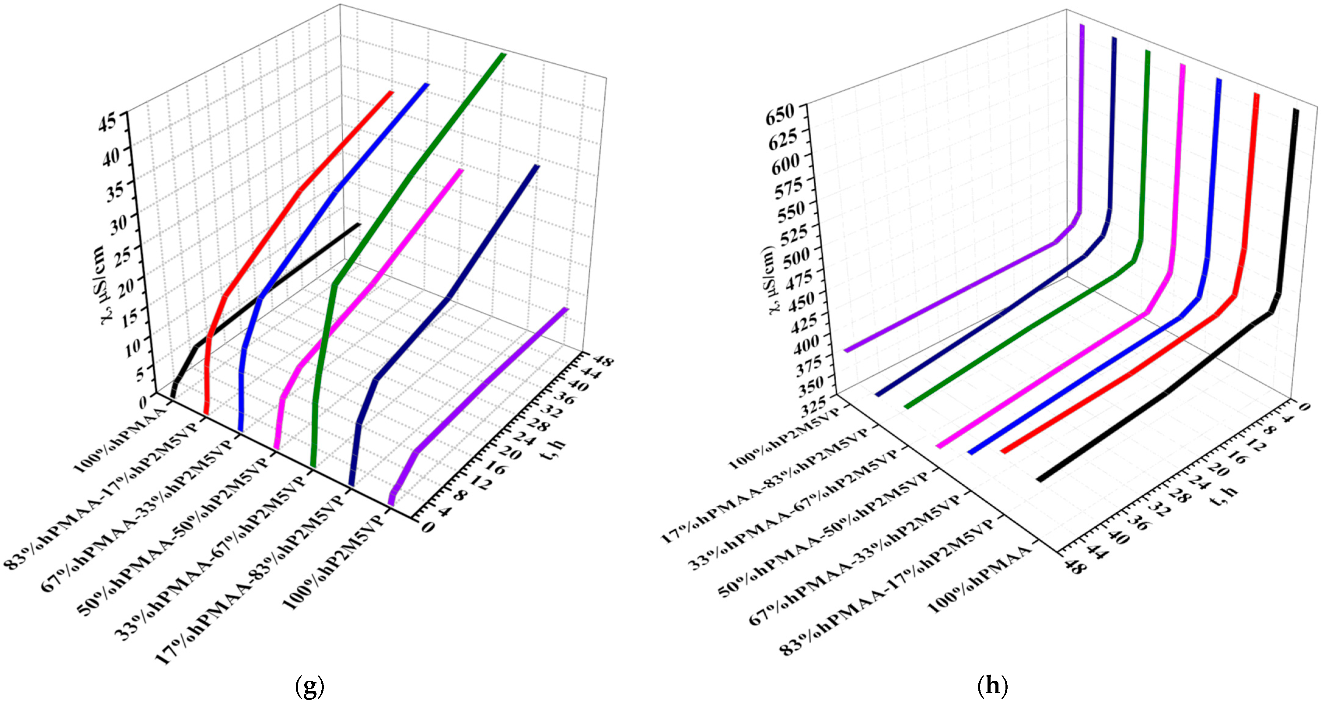
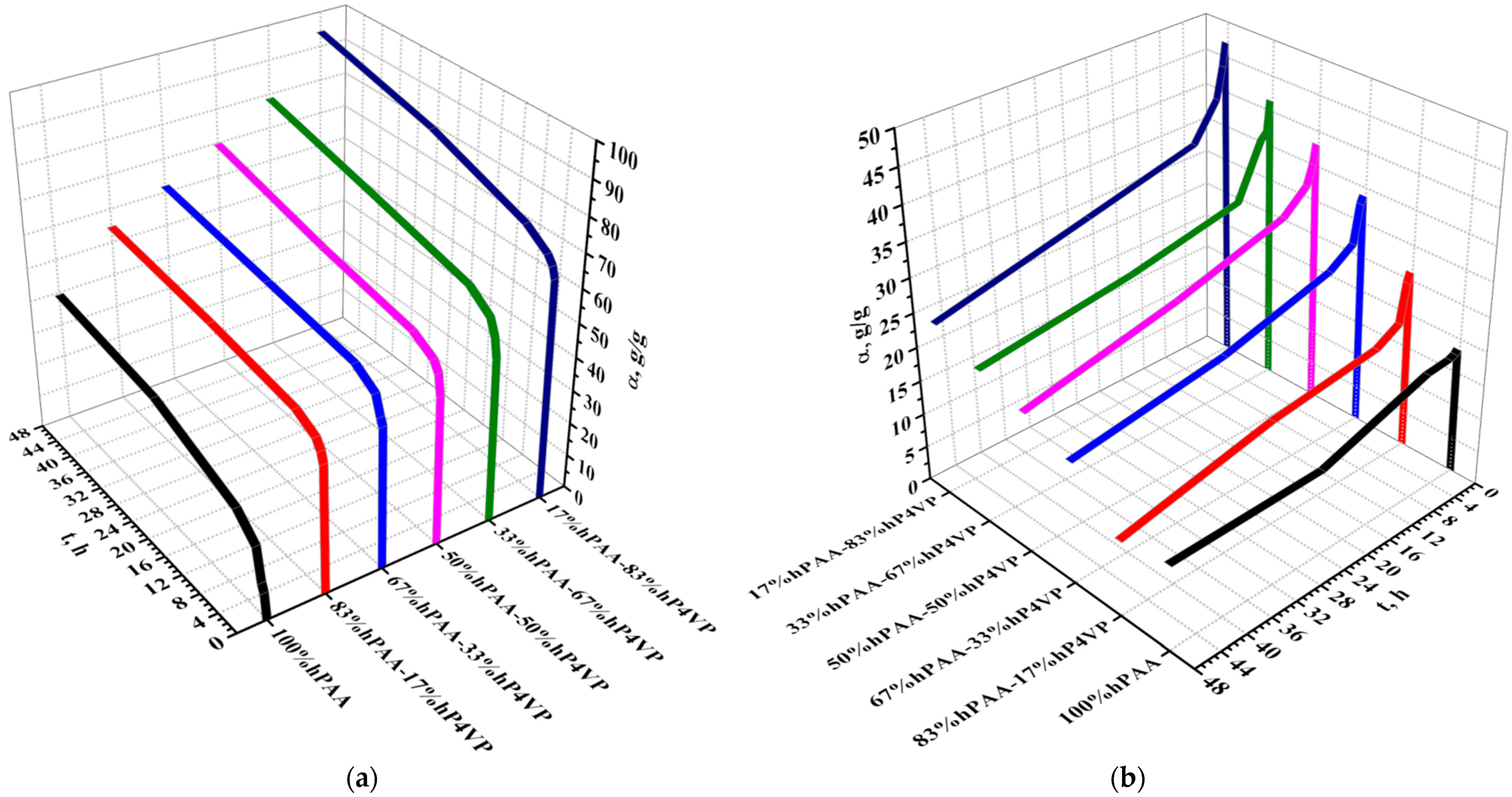
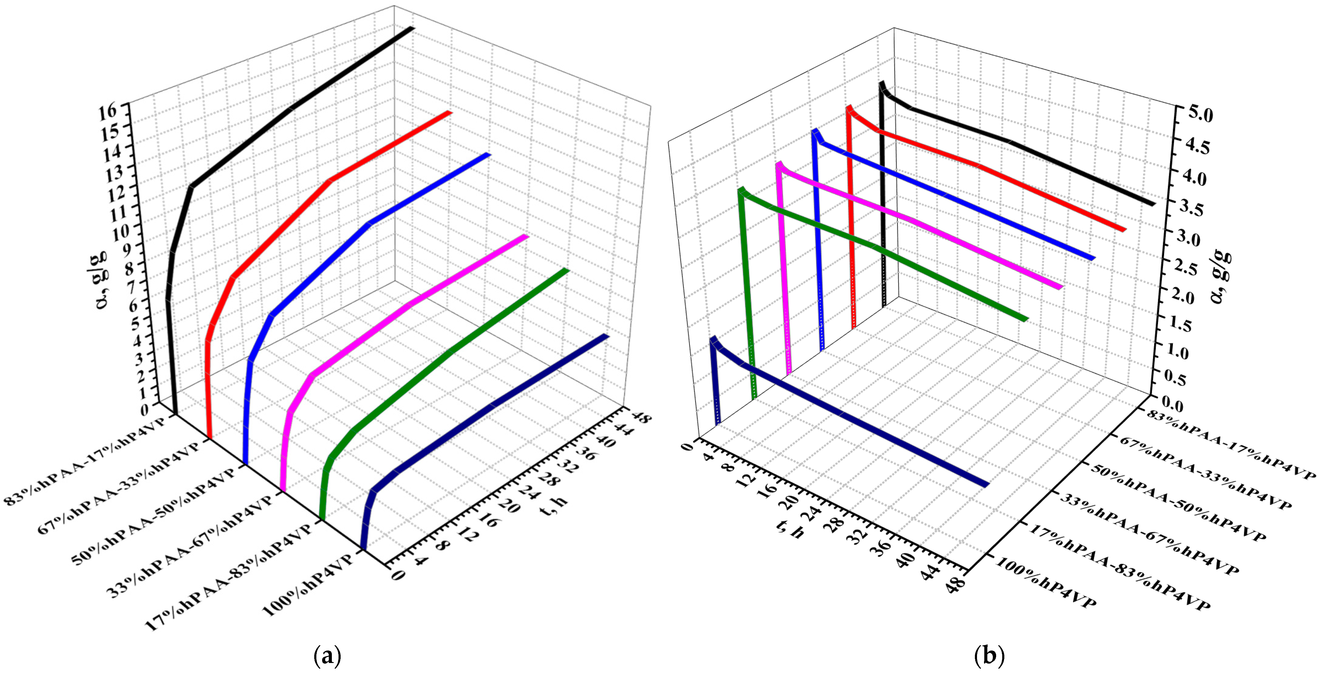
3.1. Differences of the Interpolymer Systems Behavior in Dependence from Reactive Media
- (1)
- Through the swelling rates, at which H+ ions are released in solution as a result of dissociation of –COOH groups;
- (2)
- Through the binding rates of H+ ions by polybase units.
3.2. Sorption Parameters of the Interpolymer Systems in Relation to Lanthanum Ions
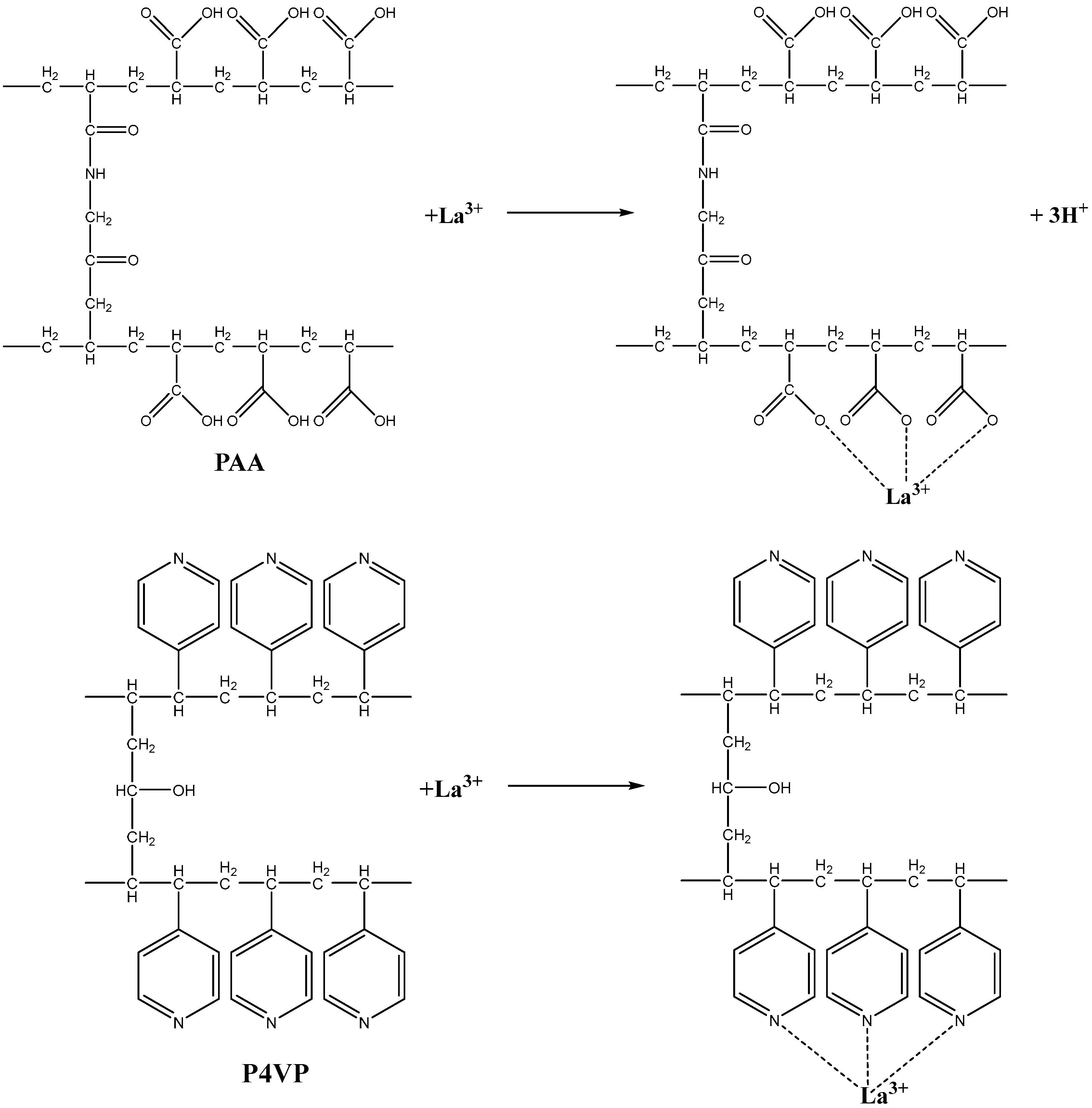
3.3. IR Spectra of Rarely Crosslinked Polymeric Hydrogels before/after Lanthanum Sorption
3.3.1. Characterization of the IR Spectra of Hydrogels PAA/P4VP before/after Lanthanum Sorption by the 33%hPAA-67%hP4VP Interpolymer System
3.3.2. Characterization of the IR Spectra of Hydrogels PMAA/P4VP before/after Lanthanum Sorption by the 17%hPMAA-83%hP4VP Interpolymer System
3.3.3. Characterization of the IR Spectra of Hydrogels PAA/P2M5VP by Interpolymer System 67%hPAA-33%hP2M5VP
3.3.4. Characterization of the IR Spectra of Hydrogels PMAA/P2M5VP by Interpolymer System 50%hPMAA-50%hP2M5VP
4. Conclusions
Author Contributions
Funding
Institutional Review Board Statement
Informed Consent Statement
Data Availability Statement
Conflicts of Interest
References
- Kołodyńska, D.; Fila, D.; Hubicki, Z. Static and dynamic studies of lanthanum(III) ion adsorption/desorption from acidic solutions using chelating ion exchangers with different functionalities. Environ. Res. 2020, 191, 110171. [Google Scholar] [CrossRef]
- Zhou, F.; Feng, J.; Xie, X.; Wu, B.; Liu, Q.; Wu, X.; Chi, R. Adsorption of lanthanum(III) and yttrium(III) on kaolinite: Kinetics and adsorption isotherms. Physicochem. Probl. Miner. Process. 2019, 55, 928–939. [Google Scholar] [CrossRef]
- Wei, Y.; Salih, K.A.; Hamza, M.F.; Castellón, E.R.; Guibal, E. Novel phosphonate-functionalized composite sorbent for the recovery of lanthanum(III) and terbium(III) from synthetic solutions and ore leachate. Chem. Eng. J. 2021, 424, 130500. [Google Scholar] [CrossRef]
- Iannicelli-Zubiani, E.M.; Stampino, P.G.; Cristiani, C.; Dotelli, G. Enhanced lanthanum adsorption by amine modified activated carbon. Chem. Eng. J. 2018, 341, 75–82. [Google Scholar] [CrossRef]
- Ogata, T.; Narita, H.; Tanaka, M. Adsorption mechanism of rare earth elements by adsorbents with diglycolamic acid ligands. Hydrometallurgy 2016, 163, 156–160. [Google Scholar] [CrossRef]
- Sinha, S.; Abhilash, S.S.; Meshram, P.; Pandey, B.D. Metallurgical processes for the recovery and recycling of lanthanum from various resources—A review. Hydrometallurgy 2016, 160, 47–59. [Google Scholar] [CrossRef]
- Hong, G.; Shen, L.; Wang, M.; Yang, Y.; Wang, X.; Zhu, M.; Hsiao, B.S. Nanofibrous polydopamine complex membranes for adsorption of lanthanum(III) ions. Chem. Eng. J. 2014, 244, 307–316. [Google Scholar] [CrossRef]
- Oral, A.E.; Aytas, S.; Yusan, S.; Sert, S.; Gok, C.; Gultekin, O.E. Preparation and Characterization of a Graphene-Based Magnetic Nanocomposite for the Adsorption of Lanthanum Ions from Aqueous Solution. Anal. Lett. 2020, 53, 1812–1833. [Google Scholar] [CrossRef]
- Sadri, F.; Rashchi, F.; Amini, A. Hydrometallurgical digestion and leaching of Iranian monazite concentrate containing rare earth elements Th, Ce, La and Nd. Int. J. Miner. Process. 2017, 159, 7–15. [Google Scholar] [CrossRef]
- Haque, N.; Hughes, A.; Lim, S.; Vernon, C. Rare Earth Elements: Overview of Mining, Mineralogy, Uses, Sustainability and Environmental Impact. Resources 2014, 3, 614–635. [Google Scholar] [CrossRef]
- Aimbetova, I.O. Sorption methods of extraction of rare and rare-earth metals from solutions of the nuclear industry Kazakhstan. In Proceedings of the V International Internet Symposium on Sorption and Extraction ISSE-2012, Vladivostok, Russia, 15 July–30 September 2012; Avramenko, V.A., Ed.; Dalnauka: Vladivostok, Russia, 2012; pp. 4–7. (In Russian). [Google Scholar]
- Yulusov, S.; Surkova, T.Y.; Amanzholova, L.U.; Barmenshinova, M.B. On sorption of the rare-earth elements. J. Chem. Technol. Metall. 2018, 53, 79–82. [Google Scholar]
- Mahmoud, M.E.; Fekry, N.A.; Abdelfattah, A.M. A novel nanobiosorbent of functionalized graphene quantum dots from rice husk with barium hydroxide for microwave enhanced removal of lead (II) and lanthanum(III). Bioresour. Technol. 2019, 298, 122514. [Google Scholar] [CrossRef]
- Balaram, V. Rare earth elements: A review of applications, occurrence, exploration, analysis, recycling, and environmental impact. Geosci. Front. 2019, 10, 1285–1303. [Google Scholar] [CrossRef]
- Zhou, B.; Li, Z.; Chen, C. Global Potential of Rare Earth Resources and Rare Earth Demand from Clean Technologies. Minerals 2017, 7, 203. [Google Scholar] [CrossRef]
- Page, M.J.; Soldenhoff, K.; Ogden, M.D. Comparative study of the application of chelating resins for rare earth recovery. Hydrometallurgy 2017, 169, 275–281. [Google Scholar] [CrossRef]
- Khalil, M.; Atrees, M.S.; El Fatah, A.I.L.A.; Salem, H.; Roshdi, R. Synthesis and application studies of chitosan acryloylthiourea derivative for the separation of rare earth elements. J. Dispers. Sci. Technol. 2018, 39, 605–613. [Google Scholar] [CrossRef]
- Khawassek, Y.M.; Eliwa, A.A.; Haggag, E.S.A.; Omar, S.A.; Abdel-Wahab, S.M. Adsorption of rare earth elements by strong acid cation exchange resin thermodynamics, characteristics and kinetics. SN Appl. Sci. 2019, 1, 51. [Google Scholar] [CrossRef]
- Esma, B.; Omar, A.; Amine, D.M. Comparative study on lanthanum(III) sorption onto Lewatit TP 207 and Lewatit TP 260. J. Radioanal. Nucl. Chem. 2014, 299, 439–446. [Google Scholar] [CrossRef]
- Josso, P.; Roberts, S.; Teagle, D.A.; Pourret, O.; Herrington, R.; Ponce de Leon Albarran, C. Extraction and separation of rare earth elements from hydrothermal metalliferous sediments. Miner. Eng. 2018, 118, 106–121. [Google Scholar] [CrossRef]
- Alonso, E.; Sherman, A.M.; Wallington, T.J.; Everson, M.P.; Field, F.R.; Roth, R.; Kirchain, R.E. Evaluating Rare Earth Element Availability: A Case with Revolutionary Demand from Clean Technologies. Environ. Sci. Technol. 2012, 46, 3406–3414. [Google Scholar] [CrossRef]
- Wu, D.; Sun, Y.; Wang, Q. Adsorption of lanthanum(III) from aqueous solution using 2-ethylhexyl phosphonic acid mono-2-ethylhexyl ester-grafted magnetic silica nanocomposites. J. Hazard. Mater. 2013, 260, 409–419. [Google Scholar] [CrossRef]
- Abu Elgoud, E.M.; Ismail, Z.H.; Ahmad, M.I.; El-Nadi, Y.A.; Abdelwahab, S.M.; Aly, H.F.; Abu Elgoud, E.M.; Ismail, Z.; Ahmad, M.I.; El-Nadi, Y.A.; et al. Sorption of Lanthanum(III) and Neodymium(III) from Concentrated Phosphoric Acid by Strongly Acidic Cation Exchange Resin (SQS-6). Russ. J. Appl. Chem. 2019, 92, 1581–1592. [Google Scholar] [CrossRef]
- Lahiji, M.N.; Keshtkar, A.R.; Moosavian, M.A. Adsorption of cerium and lanthanum from aqueous solutions by chitosan/polyvinyl alcohol/3-mercaptopropyltrimethoxysilane beads in batch and fixed-bed systems. Part. Sci. Technol. 2016, 36, 340–350. [Google Scholar] [CrossRef]
- Hérès, X.; Blet, V.; Di Natale, P.; Ouaattou, A.; Mazouz, H.; Dhiba, D.; Cuer, F. Selective Extraction of Rare Earth Elements from Phosphoric Acid by Ion Exchange Resins. Metals 2018, 8, 682. [Google Scholar] [CrossRef]
- Hong, G.; Wang, M.; Li, X.; Shen, L.; Wang, X.; Zhu, M.; Hsiao, B.S. Micro-nano structure nanofibrous p-sulfonatocalix[8]arene complex membranes for highly efficient and selective adsorption of lanthanum(III) ions in aqueous solution. RSC Adv. 2015, 5, 21178–21188. [Google Scholar] [CrossRef]
- Botelho, A.B., Jr.; Pinheiro, É.F.; Espinosa, D.C.R.; Tenório, J.A.S.; dos Passos Galluzzi Baltazar, M. Adsorption of lanthanum and cerium on chelating ion exchange resins: Kinetic and thermodynamic studies. Sep. Sci. Technol. 2021, 57, 60–69. [Google Scholar] [CrossRef]
- Zafar, S.; Khan, M.I.; Khraisheh, M.; Shahida, S.; Khalid, N.; Mirza, M.L. Effective removal of lanthanum ions from aqueous solution using rice husk: Impact of experimental variables. Desalin. Water Treat. 2018, 132, 263–273. [Google Scholar] [CrossRef]
- Hou, H.; Xu, J.; Wang, Y.; Chen, J. Solvent extraction of lanthanum and cerium ions from hydrochloric acidic aqueous solutions using partly saponified 2-ethylhexyl phosphonic acid mono-2-ethylhexyl ester. Chin. J. Chem. Eng. 2016, 24, 79–85. [Google Scholar] [CrossRef]
- Kołodyńska, D.; Fila, D.; Hubicki, Z. Recovery of Lanthanum(III) and Nickel(II) Ions from Acidic Solutions by the Highly Effective Ion Exchanger. Molecules 2020, 25, 3718. [Google Scholar] [CrossRef]
- Konkova, T.; Rysev, A.; Quynh, T.N. The Kinetics of Sorption Extraction of Lanthanum and Aluminum Cations from a Phosphoric Acid Solution by Sulfocathionite. Adv. Mater. Technol. 2020, 2, 40–45. [Google Scholar] [CrossRef]
- Iftekhar, S.; Ramasamy, D.L.; Srivastava, V.; Asif, M.B.; Sillanpää, M. Understanding the factors affecting the adsorption of Lanthanum using different adsorbents: A critical review. Chemosphere 2018, 204, 413–430. [Google Scholar] [CrossRef] [PubMed]
- Swain, N.; Mishra, S. A review on the recovery and separation of rare earths and transition metals from secondary resources. J. Clean. Prod. 2019, 220, 884–898. [Google Scholar] [CrossRef]
- Youssef, M.A.; Sami, N.M.; Hassan, H.S. Extraction and separation feasibility of cerium(III) and lanthanum(III) from aqueous solution using modified graphite adsorbent. Environ. Sci. Pollut. Res. 2022, 29, 79649–79666. [Google Scholar] [CrossRef]
- Ponomareva, M.A.; Cheremisina, O.V.; Mashukova, Y.A.; Lukyantseva, E.S. Increasing the efficiency of rare earth metal recovery from technological solutions during processing of apatite raw materials. J. Min. Inst. 2021, 252, 918–927. [Google Scholar] [CrossRef]
- Yakovleva, O.V.; Abdrahmanova, A.K.; Titova, S.M.; Malyshev, A.S.; Kirillov, E.V.; Rychkov, V.N. Lanthanum and cerium separation on sulfonic cation-exchanger purolite C-160. In AIP Conference Proceedings; AIP Publishing LLC: New York, NY, USA, 2020; Volume 2313, p. 050038. [Google Scholar] [CrossRef]
- Elatontsev, D.A.; Mukhachev, A.P. Studying the Sorption Processes of Rare-Earth Elements with the Use of Sulfocationites from Nitric Acid–Phosphoric Acid Solutions in a Pulsed Column. Theor. Found. Chem. Eng. 2021, 55, 1231–1237. [Google Scholar] [CrossRef]
- Ibrahim, S.; Shamsu Kamal, N.S.; Megat Hanafiah, M.A.K.; Md Ariff, N.F.; Saleh, S.H. Sorption rerecovery and concentration of rare-earth metals from extraction phosphoric acid. Review. Kompleks. Ispolz. Miner. Syra 2021, 25, 848–857. [Google Scholar]
- Rychkov, V.; Kirillov, E.; Kirillov, S.; Bunkov, G.; Botalov, M.; Semenishchev, V.; Smyshlyaev, D.; Malyshev, A.; Taukin, A.; Akcil, A. Rare Earth Element Preconcentration from Various Primary and Secondary Sources by Polymeric Ion Exchange Resins. Sep. Purif. Rev. 2022, 51, 468–483. [Google Scholar] [CrossRef]
- Pesavento, M.; Biesuz, R. Sorption of copper, nickel and lanthanum on a strong-base anion exchanger containing Chromotrope 2B. React. Polym. 1991, 14, 239–250. [Google Scholar] [CrossRef]
- Kon’Kova, T.V.; Quynh, T.N. Sorption Recovery of Lanthanum, Iron, Aluminum, and Calcium Ions from Phosphoric Acid. Russ. J. Appl. Chem. 2020, 93, 1868–1872. [Google Scholar] [CrossRef]
- Mitypov, B.B.; Zonkhoeva, E.L.; Kozhevnikova, N.M.; Pashinova, B.V. Sorption of Lanthanum(III) by Natural Mordenite-containing Tuff. Russ. J. Appl. Chem. 2001, 74, 580–583. [Google Scholar] [CrossRef]
- Dampilova, B.V.; Zonkhoeva, E.L. Sorption of lanthanum ions by natural clinoptilolite tuff. Russ. J. Phys. Chem. A 2013, 87, 1353–1356. [Google Scholar] [CrossRef]
- Elwakeel, K.Z.; Daher, A.M.; Abd El-Fatah, A.I.L.; Abd El Monem, H.; Khalil, M.M.H. Biosorption of lanthanum from aqueous solutions using magnetic alginate beads. J. Dispers. Sci. Technol. 2017, 38, 145–151. [Google Scholar] [CrossRef]
- Metwally, S.S.; Hassan, R.S.; El-Masry, E.H.; Borai, E.H. Gamma-induced radiation polymerization of kaolin composite for sorption of lanthanum, europium and uranium ions from low-grade monazite leachate. J. Radioanal. Nucl. Chem. 2018, 315, 39–49. [Google Scholar] [CrossRef]






















| t, h | η(La), % | ||||||
|---|---|---|---|---|---|---|---|
| 100% | 83%:17% | 67%:33% | 50%:50% | 33%:67% | 17%:83% | 100% | |
| hPAA:hP4VP, mol.%:mol.% | |||||||
| 0 | 0 | 0 | 0 | 0 | 0 | 0 | 0 |
| 0.5 | 12.90 | 29.34 | 30.77 | 38.02 | 43.07 | 40.38 | 10.67 |
| 1 | 16.07 | 30.36 | 36.99 | 53.57 | 56.58 | 54.91 | 15.28 |
| 2 | 22.93 | 43.27 | 54.77 | 68.98 | 73.06 | 70.65 | 20.41 |
| 6 | 29.00 | 60.99 | 68.15 | 79.94 | 84.81 | 81.43 | 28.82 |
| 24 | 44.33 | 71.68 | 76.22 | 85.46 | 89.69 | 87.22 | 45.00 |
| 48 | 60.94 | 84.90 | 86.71 | 92.42 | 94.51 | 92.98 | 49.54 |
| hPMAA:hP4VP, mol.%:mol.% | |||||||
| 0 | 0 | 0 | 0 | 0 | 0 | 0 | 0 |
| 0.5 | 11.74 | 20.05 | 22.28 | 31.61 | 35.65 | 38.80 | 10.67 |
| 1 | 18.92 | 29.80 | 31.89 | 40.11 | 41.83 | 45.63 | 15.28 |
| 2 | 25.68 | 46.84 | 49.53 | 58.21 | 60.99 | 63.55 | 20.41 |
| 6 | 34.08 | 61.60 | 64.80 | 68.65 | 71.11 | 74.32 | 28.82 |
| 24 | 51.67 | 74.92 | 77.66 | 80.82 | 82.77 | 85.27 | 45.00 |
| 48 | 56.34 | 78.31 | 83.04 | 86.53 | 88.29 | 90.80 | 49.54 |
| hPAA:hP2M5VP, mol.%:mol.% | |||||||
| 0 | 0 | 0 | 0 | 0 | 0 | 0 | 0 |
| 0.5 | 12.90 | 33.75 | 38.25 | 36.48 | 26.09 | 21.82 | 9.08 |
| 1 | 16.07 | 45.31 | 53.15 | 51.81 | 38.07 | 30.96 | 12.99 |
| 2 | 22.93 | 58.67 | 68.93 | 67.26 | 55.48 | 47.26 | 20.41 |
| 6 | 29.00 | 71.20 | 80.03 | 78.27 | 68.89 | 61.22 | 27.71 |
| 24 | 44.33 | 81.89 | 88.75 | 87.22 | 78.82 | 75.48 | 44.76 |
| 48 | 60.94 | 87.13 | 91.55 | 90.24 | 84.81 | 81.23 | 47.74 |
| hPMAA:hP2M5VP, mol.%:mol.% | |||||||
| 0 | 0.00 | 0.00 | 0.00 | 0.00 | 0.00 | 0.00 | 0.00 |
| 0.5 | 11.74 | 16.89 | 30.27 | 32.77 | 25.81 | 18.38 | 9.08 |
| 1 | 18.92 | 25.35 | 41.55 | 44.19 | 36.25 | 30.13 | 12.99 |
| 2 | 25.68 | 40.62 | 56.35 | 59.04 | 52.92 | 46.10 | 20.41 |
| 6 | 34.08 | 58.90 | 69.68 | 72.60 | 67.17 | 62.71 | 27.71 |
| 24 | 51.67 | 73.44 | 81.98 | 83.98 | 78.82 | 74.64 | 44.76 |
| 48 | 56.34 | 75.95 | 87.36 | 90.10 | 85.36 | 81.23 | 47.74 |
| t, h | Q(La) mmol/L, % | ||||||
|---|---|---|---|---|---|---|---|
| 100% | 83%:17% | 67%:33% | 50%:50% | 33%:67% | 17%:83% | 100% | |
| hPAA:hP4VP, mol.%:mol.% | |||||||
| 0 | 0 | 0 | 0 | 0 | 0 | 0 | 0 |
| 0.5 | 1.17 | 2.20 | 2.31 | 2.85 | 3.23 | 3.03 | 0.80 |
| 1 | 1.46 | 2.27 | 2.77 | 4.02 | 4.25 | 4.12 | 1.15 |
| 2 | 2.09 | 3.25 | 4.11 | 5.18 | 5.48 | 5.30 | 1.53 |
| 6 | 2.64 | 4.58 | 5.11 | 5.99 | 6.36 | 6.10 | 2.17 |
| 24 | 4.04 | 5.38 | 5.72 | 6.41 | 6.72 | 6.54 | 3.38 |
| 48 | 4.32 | 6.37 | 6.50 | 6.93 | 7.10 | 6.97 | 3.71 |
| hPMAA:hP4VP, mol.%:mol.% | |||||||
| 0 | 0 | 0 | 0 | 0 | 0 | 0 | 0 |
| 0.5 | 0.88 | 1.51 | 1.67 | 2.37 | 2.68 | 2.91 | 0.80 |
| 1 | 1.42 | 2.23 | 2.39 | 3.00 | 3.14 | 3.43 | 1.15 |
| 2 | 1.92 | 3.52 | 3.71 | 4.36 | 4.57 | 4.76 | 1.53 |
| 6 | 2.56 | 4.62 | 4.86 | 5.16 | 5.33 | 5.57 | 2.17 |
| 24 | 3.88 | 5.62 | 5.83 | 6.06 | 6.20 | 6.39 | 3.38 |
| 48 | 4.22 | 5.88 | 6.23 | 6.48 | 6.62 | 6.80 | 3.71 |
| hPAA:hP2M5VP, mol.%:mol.% | |||||||
| 0 | 0 | 0 | 0 | 0 | 0 | 0 | 0 |
| 0.5 | 1.17 | 2.53 | 2.86 | 2.74 | 1.95 | 1.64 | 0.68 |
| 1 | 1.46 | 3.40 | 3.99 | 3.89 | 2.85 | 2.32 | 0.97 |
| 2 | 2.09 | 4.40 | 5.18 | 5.05 | 4.16 | 3.55 | 1.53 |
| 6 | 2.64 | 5.35 | 6.01 | 5.87 | 5.17 | 4.59 | 2.08 |
| 24 | 4.04 | 6.14 | 6.65 | 6.54 | 5.91 | 5.67 | 3.35 |
| 48 | 4.32 | 6.53 | 6.86 | 6.76 | 6.36 | 6.10 | 3.58 |
| hPMAA:hP2M5VP, mol.%:mol.% | |||||||
| 0 | 0.00 | 0.00 | 0.00 | 0.00 | 0.00 | 0.00 | 0.00 |
| 0.5 | 0.88 | 1.27 | 2.27 | 2.46 | 1.93 | 1.39 | 0.68 |
| 1 | 1.42 | 1.90 | 3.12 | 3.32 | 2.72 | 2.26 | 0.97 |
| 2 | 1.92 | 3.05 | 4.22 | 4.42 | 3.97 | 3.46 | 1.53 |
| 6 | 2.56 | 4.42 | 5.23 | 5.45 | 5.05 | 4.70 | 2.08 |
| 24 | 3.88 | 5.51 | 6.15 | 6.30 | 5.92 | 5.60 | 3.35 |
| 48 | 4.22 | 5.70 | 6.55 | 6.75 | 6.40 | 6.09 | 3.58 |
Disclaimer/Publisher’s Note: The statements, opinions and data contained in all publications are solely those of the individual author(s) and contributor(s) and not of MDPI and/or the editor(s). MDPI and/or the editor(s) disclaim responsibility for any injury to people or property resulting from any ideas, methods, instructions or products referred to in the content. |
© 2023 by the authors. Licensee MDPI, Basel, Switzerland. This article is an open access article distributed under the terms and conditions of the Creative Commons Attribution (CC BY) license (https://creativecommons.org/licenses/by/4.0/).
Share and Cite
Melnikov, Y.; Kondaurov, R.; Agibayeva, L. Effect of Lanthanum Sorption on the Behavior of Rarely Crosslinked Acidic and Basic Polymer Hydrogels during Remote Interaction. Polymers 2023, 15, 1420. https://doi.org/10.3390/polym15061420
Melnikov Y, Kondaurov R, Agibayeva L. Effect of Lanthanum Sorption on the Behavior of Rarely Crosslinked Acidic and Basic Polymer Hydrogels during Remote Interaction. Polymers. 2023; 15(6):1420. https://doi.org/10.3390/polym15061420
Chicago/Turabian StyleMelnikov, Yevgeniy, Ruslan Kondaurov, and Laura Agibayeva. 2023. "Effect of Lanthanum Sorption on the Behavior of Rarely Crosslinked Acidic and Basic Polymer Hydrogels during Remote Interaction" Polymers 15, no. 6: 1420. https://doi.org/10.3390/polym15061420
APA StyleMelnikov, Y., Kondaurov, R., & Agibayeva, L. (2023). Effect of Lanthanum Sorption on the Behavior of Rarely Crosslinked Acidic and Basic Polymer Hydrogels during Remote Interaction. Polymers, 15(6), 1420. https://doi.org/10.3390/polym15061420

