A Circular Approach for the Valorization of Tomato By-Product in Biodegradable Injected Materials for Horticulture Sector
Abstract
:1. Introduction
2. Materials and Methods
2.1. Materials
2.2. Morphological Analysis of Tomato Particles
2.3. Thermal Analysis of Tomato Particles
2.4. Biochemical Analysis of Tomato Particles
2.5. Composite Materials Processing and Mechanical Testing
3. Results
3.1. Investigation of Tomato Particle Morphology, Thermal Behavior, and Biochemical Composition
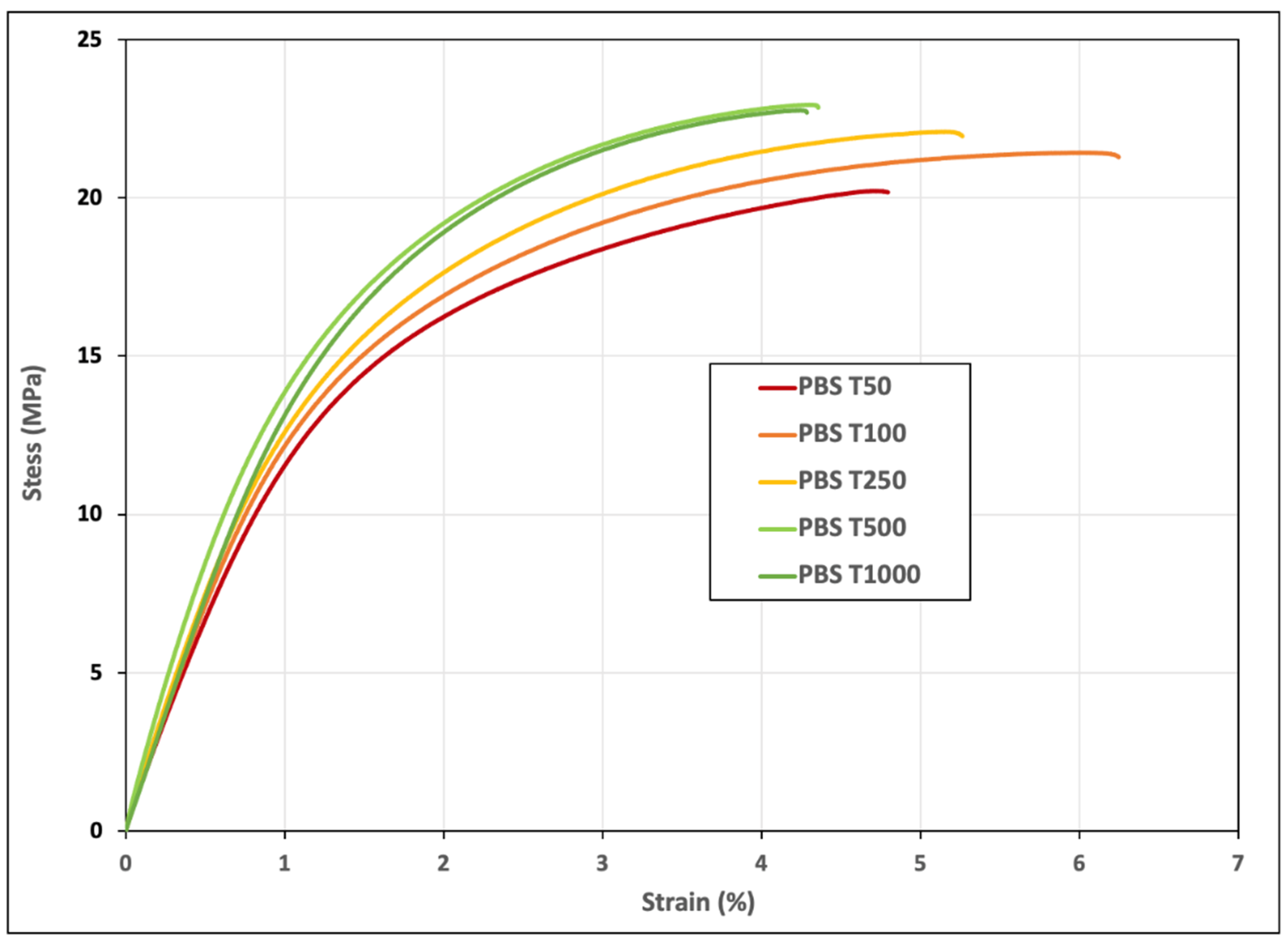
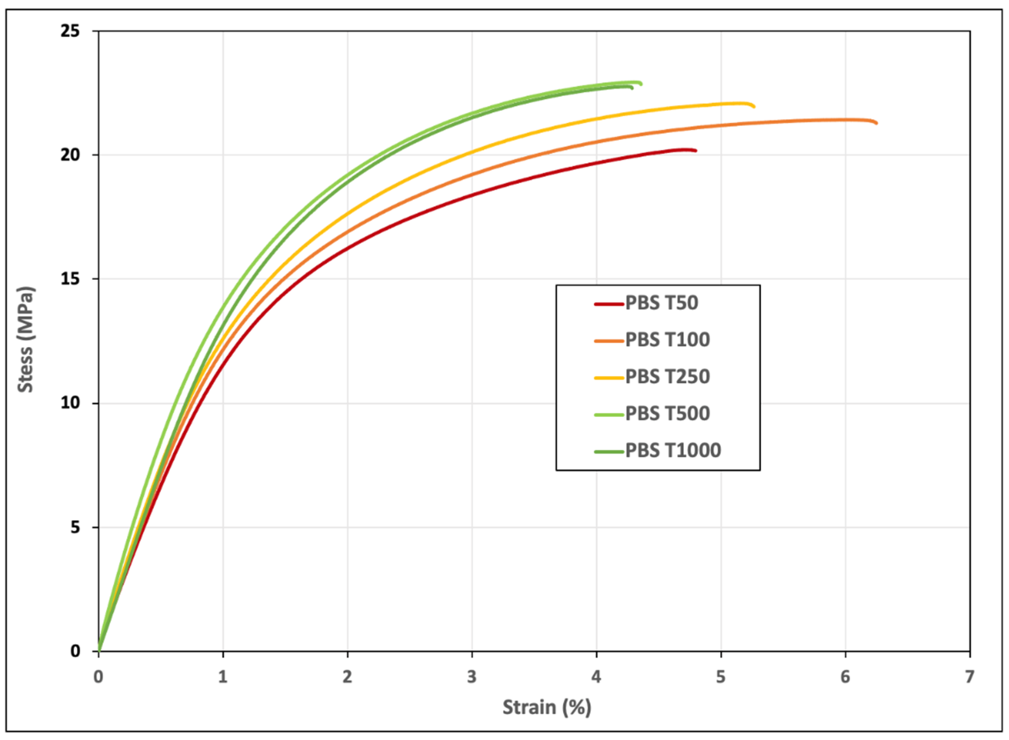
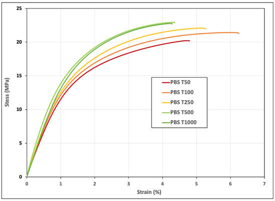
3.2. Mechanical Performance of PBS–Tomato Injected Compounds
3.3. Comparison with a Range of Polymer Matrixes
4. Conclusions
- The different batches of tomato particles that we were able to study show low aspect ratios, generally around two, but a good dispersion of their morphology.
- A small variation in the chemical composition of the batches of particles could be demonstrated, which shows a selectivity of the tissues to grinding; moreover, the relative lignin content increases progressively with the particle size, which translates into a slight delay in thermal degradation.
- Composite materials made from a PBS matrix and crushed tomato particles have quite acceptable mechanical properties, which increase steadily with particle size, reaching their maximum for batches with an average length of 500 µm.
- The cellulose content of the tomato particles provides an intermediate mechanical strength for the composites considered. These data confirm an existing and already demonstrated correlation between the cellulose content and the maximum stress of injected polypropylene matrix composites.
- Finally, by combining these tomato particles with a range of biodegradable matrices, we were able to demonstrate that they provide intermediate-level material properties; in most cases, the tomato particles act as a reinforcement and not just a filler.
Author Contributions
Funding
Institutional Review Board Statement
Data Availability Statement
Conflicts of Interest
References
- Bourmaud, A.; Beaugrand, J.; Shah, D.; Placet, V.; Baley, C. Towards the design of high-performance plant fibre composites. Prog. Mater. Sci. 2018, 97, 347–408. [Google Scholar] [CrossRef]
- Nuez, L.; Gautreau, M.; Mayer-Laigle, C.; D’Arras, P.; Guillon, F.; Bourmaud, A.; Baley, C.; Beaugrand, J. Determinant morphological features of flax plant products and their contribution in injection moulded composite reinforcement. Compos. Part C Open Access 2020, 3, 100054. [Google Scholar] [CrossRef]
- Väisänen, T.; Haapala, A.; Lappalainen, R.; Tomppo, L. Utilization of agricultural and forest industry waste and residues in natural fiber-polymer composites: A review. Waste Manag. 2016, 54, 62–73. [Google Scholar] [CrossRef] [PubMed]
- Pantaloni, D.; Shah, D.; Baley, C.; Bourmaud, A. Monitoring of mechanical performances of flax non-woven biocomposites during a home compost degradation. Polym. Degrad. Stab. 2020, 177, 109166. [Google Scholar] [CrossRef]
- Pantaloni, D.; Ollier, L.; Shah, D.U.; Baley, C.; Rondet, E.; Bourmaud, A. Can we predict the microstructure of a non-woven flax/PLA composite through assessment of anisotropy in tensile properties? Compos. Sci. Technol. 2022, 218, 109173. [Google Scholar] [CrossRef]
- Melelli, A.; Pantaloni, D.; Balnois, E.; Arnould, O.; Jamme, F.; Baley, C.; Beaugrand, J.; Shah, D.U.; Bourmaud, A. Investigations by AFM of Ageing Mechanisms in PLA-Flax Fibre Composites during Garden Composting. Polymers 2021, 13, 2225. [Google Scholar] [CrossRef]
- Pantaloni, D.; Melelli, A.; Shah, D.U.; Baley, C.; Bourmaud, A. Influence of water ageing on the mechanical properties of flax/PLA non-woven composites. Polym. Degrad. Stab. 2022, 200, 109957. [Google Scholar] [CrossRef]
- Jeguirim, S.E. CHAPTER FIVE—Tomato wastes valorization for bio-based materials production. In Tomato Processing By-Products; Jeguirim, M., Zorpas, A., Eds.; Academic Press: Cambridge, MA, USA, 2022; pp. 149–170. [Google Scholar] [CrossRef]
- Doumbia, A.S.A.S.; Castro, M.; Jouannet, D.; Kervoëlen, A.; Falher, T.; Cauret, L.; Bourmaud, A. Flax/polypropylene composites for lightened structures: Multiscale analysis of process and fibre parameters. Mater. Des. 2015, 87, 331–341. [Google Scholar] [CrossRef]
- Arrakhiz, F.Z.; Elachaby, M.; Bouhfid, R.; Vaudreuil, S.; Essassi, M.; Qaiss, A. Mechanical and thermal properties of polypropylene reinforced with Alfa fiber under different chemical treatment. Mater. Des. 2012, 35, 318–322. [Google Scholar] [CrossRef]
- Mutje, P.; Lopez, A.; Vallejos, M.E.; Lopez, J.P.; Vilaseca, F. Full exploitation of Cannabis sativa as reinforcement/filler of thermoplastic composite materials. Compos. Part A Appl. Sci. Manuf. 2007, I38, 369–377. [Google Scholar] [CrossRef]
- Seggiani, M.; Cinelli, P.; Mallegni, N.; Balestri, E.; Puccini, M.; Vitolo, S.; Lardicci, C.; Lazzeri, A. New Bio-Composites Based on Polyhydroxyalkanoates and Posidonia oceanica Fibres for Applications in a Marine Environment. Materials 2017, 10, 326. [Google Scholar] [CrossRef]
- Frącz, W.; Janowski, G.; Smusz, R.; Szumski, M. The Influence of Chosen Plant Fillers in PHBV Composites on the Processing Conditions, Mechanical Properties and Quality of Molded Pieces. Polymers 2021, 13, 3934. [Google Scholar] [CrossRef]
- Bourmaud, A.; Mayer-Laigle, C.; Baley, C.; Beaugrand, J. About the frontier between filling and reinforcement by fine flax particles in plant fibre composites. Ind. Crops Prod. 2019, 141, 111774. [Google Scholar] [CrossRef]
- Badouard, C.; Traon, F.; Denoual, C.; Mayer-Laigle, C.; Paës, G.; Bourmaud, A. Exploring mechanical properties of fully compostable flax reinforced composite filaments for 3D printing applications. Ind. Crops Prod. 2019, 135, 246–250. [Google Scholar] [CrossRef]
- Bourmaud, A.; Corre, Y.-M.Y.-M.; Baley, C. Fully biodegradable composites: Use of poly-(butylene-succinate) as a matrix and to plasticize l-poly-(lactide)-flax blends. Ind. Crops Prod. 2015, 64, 251–257. [Google Scholar] [CrossRef]
- Sisti, L.; Totaro, G.; Vannini, M.; Fabbri, P.; Kalia, S.; Zatta, A.; Celli, A. Evaluation of the retting process as a pre-treatment of vegetable fibers for the preparation of high-performance polymer biocomposites. Ind. Crops Prod. 2016, 81, 56–65. [Google Scholar] [CrossRef]
- Akonda, M.; Alimuzzaman, S.; Shah, D.U.; Rahman, A.N.M.M. Physico-Mechanical, Thermal and Biodegradation Performance of Random Flax/Polylactic Acid and Unidirectional Flax/Polylactic Acid Biocomposites. Fibers 2018, 6, 98. [Google Scholar] [CrossRef]
- Sukmawan, R.; Takagi, H.; Nakagaito, A.N. Strength evaluation of cross-ply green composite laminates reinforced by bamboo fiber. Compos. Part B Eng. 2016, 84, 9–16. [Google Scholar] [CrossRef]
- Peltola, H.; Pääkkönen, E.; Jetsu, P.; Heinemann, S. Wood based PLA and PP composites: Effect of fibre type and matrix polymer on fibre morphology, dispersion and composite properties. Compos. Part A Appl. Sci. Manuf. 2014, 61, 13–22. [Google Scholar] [CrossRef]
- Tokiwa, Y.; Calabia, B.P. Biodegradability and Biodegradation of Polyesters. J. Polym. Environ. 2007, 15, 259–267. [Google Scholar] [CrossRef]
- Agarwal, M.; Koelling, K.-W.; Chalmers, J.-J. Characterization of the degradation of polylactic acid polymer in a solid substrate environment. Biotechnol. Prog. 1998, 14, 517–526. [Google Scholar] [CrossRef] [PubMed]
- Kim, H.-S.; Kim, H.-J.; Lee, J.-W.; Choi, I.-G. Biodegradability of bio-flour filled biodegradable poly(butylene succinate) bio-composites in natural and compost soil. Polym. Degrad. Stab. 2006, 91, 1117–1127. [Google Scholar] [CrossRef]
- Luo, S.; Netravali, A.N. A study of physical and mechanical properties of poly(hydroxybutyrate-co-hydroxyvalerate) during composting. Polym. Degrad. Stab. 2003, 80, 59–66. [Google Scholar] [CrossRef]
- Blakeney, A.B.; Harris, P.J.; Henry, R.J.; Stone, B.A. A simple and rapid preparation of alditol acetates for monosaccharide analysis. Carbohydr. Res. 1983, 113, 291–299. [Google Scholar] [CrossRef]
- Hatfield, R.; Fukushima, R.S. Can Lignin Be Accurately Measured? In Crop Science. Proceedings of the 2003 CSSA Lignin and Forage Digestibility Symposium, Denver, CO, USA,2–6 November 2003; Wiley: Hoboken, NJ, USA, 2005; pp. 832–839. [Google Scholar]
- Velde KVan de Baetens, E. Thermal and Mechanical Properties of Flax Fibres as Potential Composite Reinforcement. Macromol. Mater. Eng. 2001, 286, 342–349. [Google Scholar] [CrossRef]
- Nuez, L.; Beaugrand, J.; Shah, D.U.; Mayer-Laigle, C.; Bourmaud, A.; D’Arras, P.; Baley, C. The potential of flax shives as reinforcements for injection moulded polypropylene composites. Ind. Crops Prod. 2020, 148, 112324. [Google Scholar] [CrossRef]
- Mayer-Laigle, C.; Barakat, A.; Barron, C.; Delenne, J.Y.; Frank, X.; Mabille, F.; Rouau, X.; Sadoudi, A.; Samson, M.-F.; Lullien-Pellerin, V. DRY biorefineries: Multiscale modeling studies and innovative processing. Innov. Food Sci. Emerg. Technol. 2018, 46, 131–139. [Google Scholar] [CrossRef]
- Manríquez-Altamirano, A.; Sierra-Pérez, J.; Muñoz, P.; Gabarrell, X. Identifying potential applications for residual biomass from urban agriculture through eco-ideation: Tomato stems from rooftop greenhouses. J. Clean. Prod. 2021, 295, 126360. [Google Scholar] [CrossRef]
- Nisticò, R.; Evon, P.; Labonne, L.; Vaca-Medina, G.; Montoneri, E.; Vaca-Garcia, C.; Negre, M. Post-harvest tomato plants and urban food wastes for manufacturing plastic films. J. Clean. Prod. 2017, 167, 68–74. [Google Scholar] [CrossRef]
- Kelly, A.; Tyson, W.R. Tensile properties of fibre reinforced metals: Copper/tungsten and copper/molybdenum. J. MechPhysSolids 1965, 13, 329–350. [Google Scholar] [CrossRef]
- Salmén, L. Micromechanical understanding of the cell-wall structure. C. R. Biol. 2004, 327, 873–880. [Google Scholar] [CrossRef]








| T50 | T100 | T250 | T500 | T1000 | |
|---|---|---|---|---|---|
| Water content (%) | 4.1 | 2.5 | 2.6 | 2.1 | 2.6 |
| Peak 1 (°C) | 205 | 205 | 204 | 205 | 205 |
| Peak 2 (°C) | 405 | 405 | 405 | 405 | 405 |
| Peak 3 (°C) | 607 | 608 | 606 | 610 | 610 |
| Ash (% dry matter) | 24.9 | 19.8 | 15.5 | 14.5 | 19.2 |
| T50 | T100 | T250 | T500 | T1000 | |
|---|---|---|---|---|---|
| Lignin (%) | 11.9 ± 0.1 b | 13.8 ± 0.3 a | 12.6 ± 0.2 a | 14.0 ± 0.6 a | 13.4 ± 0.4 a |
| Arabinose (%) | 1.20 ± 0.10 a | 1.35 ± 0.06 a | 1.20 ± 0.12 b | 1.13 ± 0.11 a | 1.50 ± 0.13 a |
| Rhamnose (%) | 0.51 ± 0.06 a | 0.78 ± 0.10 b | 0.52 ± 0.05 a | 0.54 ± 0.15 a | 0.64 ± 0.05 a |
| Galactose (%) | 1.66 ± 0.50 a | 1.83 ± 0.38 a | 1.63 ± 0.15 a | 1.54 ± 0.08 a | 1.52 ± 0.02 a |
| Glucose (%) | 11.5 ± 0.66 b | 13.3 ± 0.27 b | 13.4 ± 1.35 b | 20.1 ± 5.01 a | 20.6 ± 0.65 a |
| Xylose (%) | 2.49 ± 0.35 b | 3.16 ± 0.04 b | 3.30 ± 0.56 b | 6.18 ± 1.96 a | 5.99 ± 0.24 a |
| Mannose (%) | 1.03 ± 0.23 a | 1.14 ± 0.19 a | 1.20 ± 0.19 a | 0.96 ± 0.08 b | 1.60 ± 0.21 a |
| Uronic Acid (%) | 6.80 ± 0.22 b | 7.77 ± 0.48 a | 7.69 ± 0.13 a | 8.11 ± 0.50 c | 7.91 ± 0.26 a |
| Young’s Modulus (GPa) | Maximal Strenght (MPa) | Elongation at Break (%) | Reference | |
|---|---|---|---|---|
| PBS T1000 | 1.49 ± 0.09 | 22.7 ± 0.2 | 4.3 ± 0.3 | This study |
| PBS flax fibers | 2.81 ± 0.11 | 34.7 ± 1.2 | 2.3 ± 0.2 | [14] |
| PBS chalk | 0.95 ± 0.06 | 25.8 ± 0.9 | 3.7 ± 0.5 | [14] |
| PHA T1000 | 4.82 ± 0.15 | 24.5 ± 2.1 | 0.8 ± 0.2 | This study |
| PHA posidonia fibers | 2.32 ± 0.15 | 21.0 ± 2.7 | 2.4 ± 0.5 | [12] |
| PHA wood fibers | 6.11 ± 0.36 | 30.7 ± 0.8 | 1.1 ± 0.1 | [13] |
| PLA T1000 | 4.72 ± 0.07 | 41.4 ± 1.1 | 1.2 ± 0.4 | This study |
| PLA flax fibers | 7.44 ± 0.02 | 55.4 ± 1.2 | 1.4 ± 0.1 | [16] |
| PLA wood fibers | 6.23 ± 0.05 | 54.3 ± 1.1 | 8.7 ± 0.4 | [20] |
Disclaimer/Publisher’s Note: The statements, opinions and data contained in all publications are solely those of the individual author(s) and contributor(s) and not of MDPI and/or the editor(s). MDPI and/or the editor(s) disclaim responsibility for any injury to people or property resulting from any ideas, methods, instructions or products referred to in the content. |
© 2023 by the authors. Licensee MDPI, Basel, Switzerland. This article is an open access article distributed under the terms and conditions of the Creative Commons Attribution (CC BY) license (https://creativecommons.org/licenses/by/4.0/).
Share and Cite
Bourmaud, A.; Konschak, K.; Buffet, C.; Calatraba, M.; Rudolph, A.L.; Kervoëlen, A.; Gautherot, B.; Bonnin, E.; Beaugrand, J. A Circular Approach for the Valorization of Tomato By-Product in Biodegradable Injected Materials for Horticulture Sector. Polymers 2023, 15, 820. https://doi.org/10.3390/polym15040820
Bourmaud A, Konschak K, Buffet C, Calatraba M, Rudolph AL, Kervoëlen A, Gautherot B, Bonnin E, Beaugrand J. A Circular Approach for the Valorization of Tomato By-Product in Biodegradable Injected Materials for Horticulture Sector. Polymers. 2023; 15(4):820. https://doi.org/10.3390/polym15040820
Chicago/Turabian StyleBourmaud, Alain, Kolja Konschak, Coralie Buffet, Méline Calatraba, Anton Loïc Rudolph, Antoine Kervoëlen, Basile Gautherot, Estelle Bonnin, and Johnny Beaugrand. 2023. "A Circular Approach for the Valorization of Tomato By-Product in Biodegradable Injected Materials for Horticulture Sector" Polymers 15, no. 4: 820. https://doi.org/10.3390/polym15040820
APA StyleBourmaud, A., Konschak, K., Buffet, C., Calatraba, M., Rudolph, A. L., Kervoëlen, A., Gautherot, B., Bonnin, E., & Beaugrand, J. (2023). A Circular Approach for the Valorization of Tomato By-Product in Biodegradable Injected Materials for Horticulture Sector. Polymers, 15(4), 820. https://doi.org/10.3390/polym15040820

