Enhancement of the Structure, Thermal, Linear/Nonlinear Optical Properties, and Antibacterial Activity of Poly (vinyl alcohol)/Chitosan/ZnO Nanocomposites for Eco-Friendly Applications
Abstract
:1. Introduction
2. Experimental Work
2.1. Materials
2.2. Preparation Method
2.3. Characterization Methods
2.4. Antibacterial Activity
3. Results and Discussion
3.1. XRD
3.2. ATR-FTIR Spectra
3.3. DSC Measurements
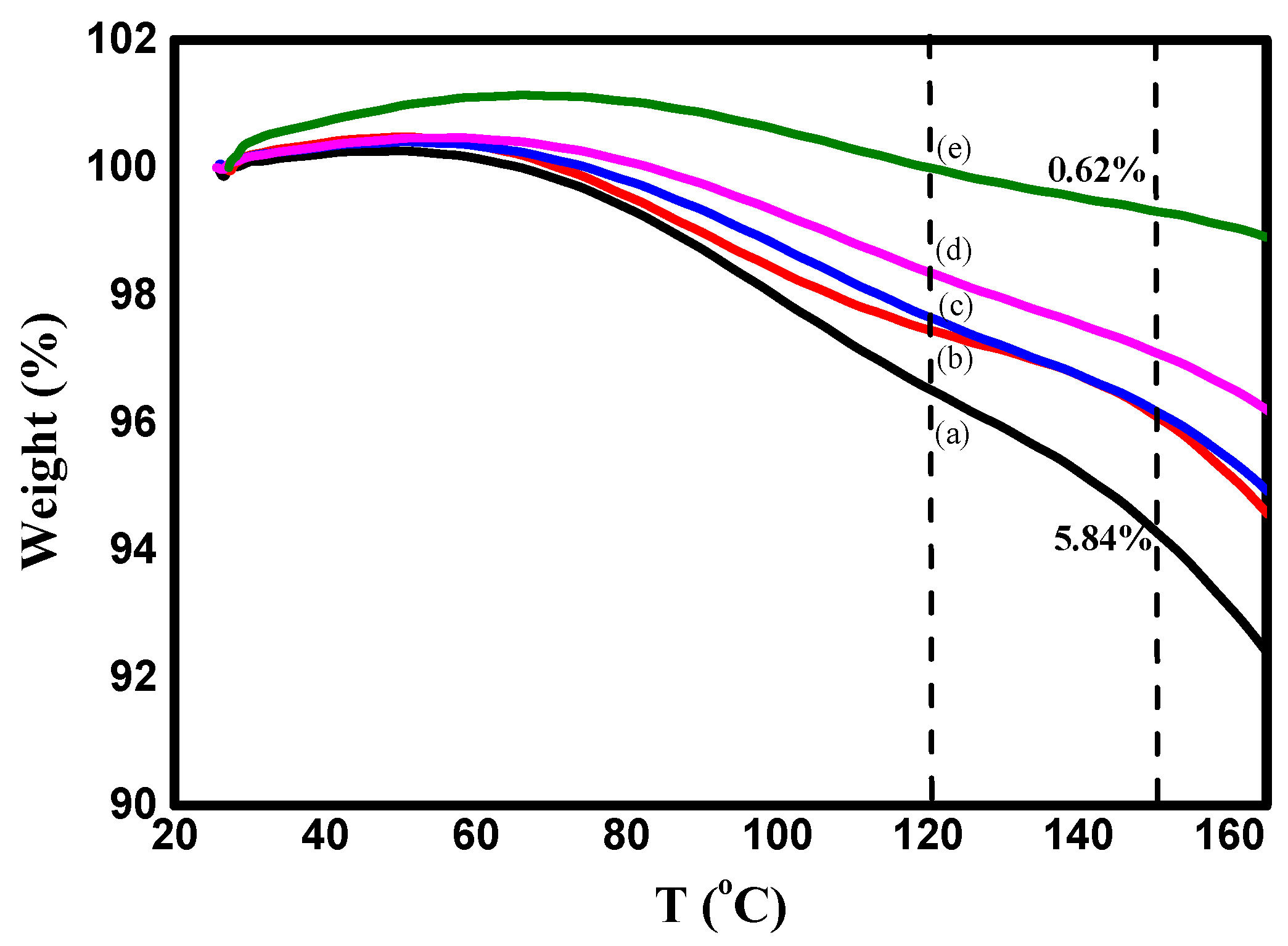
3.4. TGA
Thermal Degradation Kinetics
3.5. UV-Vis Spectroscopy
3.5.1. Urbach Energy (EU)
3.5.2. Optical Bandgap Energy (Eg)
3.5.3. Refractive Index–Energy Gap Correlation
3.5.4. Single Oscillator Model
3.5.5. Linear and Nonlinear Parameters
3.5.6. Dielectric Constant and Optical Conductivity
3.6. Antibacterial Activity
4. Conclusions
Author Contributions
Funding
Institutional Review Board Statement
Data Availability Statement
Acknowledgments
Conflicts of Interest
References
- Kumar, S.; Prasad, K.; Gil, J.M.; Sobral, A.J.F.N.; Koh, J. Mesoporous zeolitechitosan composite for enhanced capture and catalytic activity in chemical fixation of CO2. Carbohydr. Polym. 2018, 198, 401–406. [Google Scholar] [CrossRef] [PubMed]
- Fahmy, T.; Sarhan, A. Investigation of optical properties and antibacterial activity of chitosan copper nanoparticle composites. Mater. Technol. Adv. Perform. Mater. 2022, 37, 2400–2413. [Google Scholar] [CrossRef]
- Sarhan, A.; Fahmy, T. Optical Properties, Antibacterial Activity, and Relaxation Behavior Investigation of Chitosan/Green Synthesized Silver Nanoparticles by Thermally Stimulated Depolarization Current Technique. Polym. Sci. Ser. B 2021, 63, 578–590. [Google Scholar] [CrossRef]
- Shameli, K.; Ahmad, M.; Yunus, W.W.; Rustaiyan, A.; Ibrahim, N.A.; Zargar, M.; Abdollahi, Y. Green synthesis of silver/montmorillonite/chitosan bionanocomposites using the UV irradiation method and evaluation of antibacterial activity. Int. J. Nanomed. 2010, 5, 875–887. [Google Scholar] [CrossRef] [PubMed]
- Muthupandeeswari, A.; Kalyani, P.; Nehru, L.C. On the efects of high loading of ZnO nanofller on the structural, optical, impedance and dielectric features of PVA@ZnO nanocomposite flms. Polym. Bull. 2021, 78, 7071–7088. [Google Scholar] [CrossRef]
- Fahmy, T.; Sarhan, A. Characterization, and molecular dynamic studies of chitosan–iron complexes. Bull. Mater. Sci. 2021, 44, 142. [Google Scholar] [CrossRef]
- Javed, R.; Rais, F.; Fatima, H.; Haq, I.; Kaleem, M.; Naz, S.S.; Ao, Q. Chitosan encapsulated ZnO nanocomposites: Fabrication, characterization, and functionalization of bio-dental approaches. Mater. Sci. Eng. C 2020, 116, 111184. [Google Scholar] [CrossRef]
- Bharathi, D.; Ranjithkumar, R.; Chandarshekar, B.; Bhuvaneshwari, V. Preparation of chitosan coated zinc oxide nanocomposite for enhanced antibacterial and photocatalytic activity: As a bionanocomposite. Int. J. Biol. Macromole 2019, 129, 989–996. [Google Scholar] [CrossRef]
- Motelica, L.; Ficai, D.; Ficai, A.; Truscă, R.D.; Ilie, C.I.; Oprea, O.C.; Andronescu, E. Innovative Antimicrobial Chitosan/ZnO/Ag NPs/Citronella Essential Oil Nanocomposite-Potential Coating for Grapes. Foods 2020, 9, 1801. [Google Scholar] [CrossRef]
- Gong, X.; Tang, C.Y.; Pan, L.; Hao, Z.; Tsui, C.P. Characterization of poly(vinyl alcohol) (PVA)/ZnO nanocomposites prepared by a one-pot method. Compos. Part B 2014, 60, 144–149. [Google Scholar] [CrossRef]
- Abraham, A.; Soloman, P.A.; Rejini, V.O. Preparation of Chitosan-Polyvinyl Alcohol Blends and Studies on Thermal and Mechanical Properties. Procedia Technol. 2016, 24, 741–748. [Google Scholar] [CrossRef]
- Elmahdy, M.M.; Ahmed, M.T.; Aldhafeeri, K.A.; Azzam, M.A.; Fahmy, T. Molecular dynamics and conduction mechanism of poly(vinyl chloride-co-vinyl acetate-co-2-hydroxypropyl acrylate) terpolymer containing ionic liquid. Polym. Adv. Technol. 2023, 34, 800–816. [Google Scholar] [CrossRef]
- Ummartyotin, S.; Pechyen, C. Physico-Chemical Properties of ZnO and Chitosan Composite for Packaging Material. J. Biobased Mater. Bioenergy 2017, 11, 183–192. [Google Scholar] [CrossRef]
- Ma, X.Y.; Zhang, W.D. Effects of flower-like ZnO nanowhiskers on the mechanical, thermal, and antibacterial properties of waterborne polyurethane. Polym. Deg. Stab. 2009, 94, 1103–1109. [Google Scholar] [CrossRef]
- Vodnik, V.V.; Božanic, D.K.; Džunuzovic, E.; Vukovic, J.; Nedeljkovic, J.M. Thermal and optical properties of silver–poly(methylmethacrylate) nanocomposites prepared by in-situ radical polymerization. Eur. Polym. J. 2010, 46, 137–144. [Google Scholar] [CrossRef]
- Jandas, P.J.; Mohanty, S.; Nayak, S.K. Morphology and thermal properties of renewable resource-based polymer blend nanocomposites influenced by a reactive compatibilizer. ACS Sustain. Chem. Eng. 2014, 2, 377–386. [Google Scholar] [CrossRef]
- Chen, Q.; Cabanas-Polo, S.; Goudouri, O.M.; Boccaccini, A.R. Electrophoretic co-deposition of polyvinyl alcohol (PVA) reinforced alginate–Bioglass composite coating on stainless steel: Mechanical properties and in vitro bioactivity assessment. Mater. Sci. Eng. C Mater. Biol. Appl. 2014, 40, 55–64. [Google Scholar] [CrossRef]
- Fahmy, T.; Elhendawi, H.; Elsharkawy, W.B.; Reicha, F.M. AC conductivity and dielectric relaxation of chitosan/poly(vinyl alcohol) biopolymer polyblend. Bull Mater. Sci. 2020, 43, 243. [Google Scholar] [CrossRef]
- Hassan, A.; Sarhan, A.; Abdelhamid, M.I.; Fahmy, T.; Habib, A. Enhancing of piezoelectric coefficient and optical Properties of flexible ZnO/Poly (Vinylidene Fluoride-Trifluoroethylene) Nanocomposites for Optoelectronic Applications. Egypt. J. Chem. 2023. [Google Scholar] [CrossRef]
- Karpuraranjith, M.; Thambidurai, S. Chitosan/zinc oxide-polyvinylpyrrolidone (CS/ ZnO-PVP) nanocomposite for better thermal and antibacterial activity. Int. J. Biol. Macromol. 2017, 104, 1753–1761. [Google Scholar] [CrossRef]
- Coneo, N.; Ramos, Y.; De Ávila, G.; Herrera, A.; Cremades, A. Active chitosan- poly (vinyl alcohol) film reinforced with zinc oxide nanoparticles for food packaging applications. Polym. Renew. Resour. 2023, 14, 173–194. [Google Scholar] [CrossRef]
- Ahmed, R.; Tariq, M.; Ali, I.; Asghar, R.; Khanam, P.N.; Augustine, R.; Hasan, A. Novel electrospun chitosan/polyvinyl alcohol/zinc oxide nanofibrous mats with antibacterial and antioxidant properties for diabetic wound healing. Int. J. Biol. Macromol. 2018, 120 Pt A, 385–393. [Google Scholar] [CrossRef]
- Azizi, S.; Ahmad, M.B.; Ibrahim, N.A.; Hussein, M.Z.; Namvar, F. Cellulose nanocrystals/ZnO as a bifunctional reinforcing nanocomposite for poly (vinyl alcohol)/chitosan blend films: Fabrication, characterization and properties. Int. J. Mol. Sci. 2014, 15, 11040–11053. [Google Scholar] [CrossRef] [PubMed]
- Vicentini, D.S.; Smania, A., Jr.; Laranjeira, M.C.M. Chitosan/poly (vinyl alcohol) films containing ZnO nanoparticles and plasticizers. Mater. Sci. Eng. C 2010, 30, 503–508. [Google Scholar] [CrossRef]
- Kesavan, K.; Rajendran, S.; Mathew, C.M. Studies on poly(vinyl pyrrolidone) based solid polymer blend electrolytes complexed with various lithium salts. Polym. Sci. B 2014, 56, 520–529. [Google Scholar] [CrossRef]
- Shafiq, M.; Yasin, T.; Rafiq, M.A. Structural, Thermal, and Antibacterial Properties of Chitosan/ZnO Composites. Polym. Compos. 2014, 35, 1–7. [Google Scholar] [CrossRef]
- Li, L.-H.; Deng, J.-C.; Deng, H.-R.; Liu, Z.-L.; Xin, L. Synthesis and characterization of chitosan/ZnO nanoparticle composite membranes. Carbohydr. Res. 2010, 345, 994–998. [Google Scholar] [CrossRef]
- Guo, M.; Diao, P.; Cai, S. Hydrothermal growth of wellaligned ZnO nanorod arrays: Dependence of morphology and alignment ordering upon preparing conditions. J. Solid State Chem. 2005, 178, 1864–1873. [Google Scholar] [CrossRef]
- Fahmy, T.; Sarhan, A.; Elsayed, I.A.; Ahmed, M.T. Effect of UV Irradiation on The Structure and Optical Properties of PVA/Cucl2. J. Adv. Phys. 2018, 14, 5378–5387. [Google Scholar]
- Nasikhudin, N.; Puspitasari, I.; Diantoro, M.; Kusumaatmaja, A.; Triyana, K. Effect of Blend Ratio on Morphology and Swelling Properties of PVA/Chitosan Nanofibers. Mater. Sci. Forum 2017, 901, 79–84. [Google Scholar] [CrossRef]
- Cui, Z.; Xiang, Y.; Si, J.; Yang, M.; Zhang, Q.; Zhang, T. Ionic interactions between sulfuric acid and chitosan membranes. Carbohydr. Polym. 2008, 73, 111–116. [Google Scholar] [CrossRef]
- Muinde, V.M.; Onyari, J.M.; Wamalwa, B.; Wabomba, J.N. Adsorption of malachite green dye from aqueous solutions using mesoporous chitosan–zinc oxide composite material. Environ. Chem. Ecotoxicol. 2020, 2, 115–125. [Google Scholar] [CrossRef]
- Ibupoto, Z.; Khun, K.; Eriksson, M.; AlSalhi, M.; Atif, M.; Ansari, A.; Willander, M. Hydrothermal growth of vertically aligned ZnO nanorods using a biocomposite seed layer of ZnO nanoparticles. Materials 2013, 6, 3584–3597. [Google Scholar] [CrossRef] [PubMed]
- Hema, M.; Selvasekerapandian, S.; Sakunthala, A.; Arunkumar, D.; Nithya, H. Structural, vibrational and electrical characterization of PVA–NH4Br polymer electrolyte system. Phys. B Cond. Matter. 2008, 403, 2740–2747. [Google Scholar] [CrossRef]
- Prabhu, Y.T.; Rao, K.V. X-ray analysis by Williamson-Hall and size-strain plot methods of ZnO nanoparticles with fuel variation. World J. Nano Sci. Eng. 2014, 4, 21–28. [Google Scholar] [CrossRef]
- Bhadra, P.; Mitra, M.K.; Das, G.C.; Dey, R.; Mukherjee, S. Interaction of chitosan capped ZnO nanorods with Escherichia coli. Mater. Sci. Eng. C 2011, 31, 929–937. [Google Scholar] [CrossRef]
- Sui, X.M.; Shao, C.L.; Liu, Y.C. White-light emission of polyvinyl alcoholZnO hybrid nanofibers prepared by electrospinning. Appl. Phys. Lett. 2005, 87, 113115. [Google Scholar] [CrossRef]
- Chandrakala, H.N.; Ramaraj, B.; Maraiah, S.; Lee, J.H.; Ramaiah, S. Polyvinyl alcohol/carbon coated zinc oxide nanocomposites: Electrical, optical, structural and morphological characteristics. J. Alloys Comp. 2013, 580, 392–400. [Google Scholar] [CrossRef]
- Chen, Y.; Zhou, S.; Yang, H.; Wu, L. Structure and properties of polyurethane/nanosilica composites. J. Appl. Polym. Sci. 2005, 95, 1032–1039. [Google Scholar] [CrossRef]
- Murariu, M.; Doumbia, A.; Bonnaud, L.; Dechief, A.N.; Paint, Y.F.M.; Campagne, C.; Devaux, E.; Dubois, P. High-Performance Polylactide/ZnO Nanocomposites Designed for Films and Fibers with Special End-Use Properties. Biomacromolecules 2011, 12, 1762–1771. [Google Scholar] [CrossRef]
- Prokhorov, E.; Bárcenas, G.L.; Limón, J.M.Y.; Sánchez, A.G.; Kovalenko, Y. Chitosan-ZnO Nanocomposites Assessed by Dielectric, Mechanical, and Piezoelectric Properties. Polymers 2020, 12, 1991. [Google Scholar] [CrossRef] [PubMed]
- Kumar, S.; Krishnakumar, B.; Sobral, A.J.F.N.; Koh, J. Bio-based (Chitosan/PVA/ZnO) nanocomposites film: Thermally stable and photoluminescence material for removal of organic dye. Carbohydr. Polym. 2019, 205, 559–564. [Google Scholar] [CrossRef] [PubMed]
- Gallego, R.; Gonzalez, M.; Arteaga, J.F.; Valencia, C.; Franco, J.M. Influence of Functionalization Degree on the Rheological Properties of Isocyanate-Functionalized Chitin- and Chitosan-Based Chemical Oleogels for Lubricant Applications. Polymers 2014, 6, 1929–1947. [Google Scholar] [CrossRef]
- Lopez, F.A.; Merce, A.L.R.; Alguacil, F.J.; Lopez-Delgado, A. A kinetic study on the thermal behaviour of chitosan. J. Therm. Anal. Cal. 2008, 91, 633–639. [Google Scholar] [CrossRef]
- Chandrakala, H.N.; Bommulu, R.; Shivakumaraiah; Madhu, G.M.; Siddaramaiah. The influence of zinc oxide–cerium oxide nanoparticles on the structural characteristics and electrical properties of polyvinyl alcohol films. J. Mater. Sci. 2012, 47, 8076–8084. [Google Scholar] [CrossRef]
- Hong, P.Z.; Li, S.D.; Ou, C.Y.; Li, C.P.; Yang, L.; Zhang, C.H. Thermogravimetric Analysis of Chitosan. J. Appl. Polym. Sci. 2007, 105, 547–551. [Google Scholar] [CrossRef]
- Georgieva, V.; Zvezdova, D.; Vlaev, L. Non-isothermal kinetics of thermal degradation of chitosan. Chem. Cent. J. 2012, 6, 81. [Google Scholar] [CrossRef]
- Vlaev, L.; Nedelchev, N.; Gyurova, K.; Zagorcheva, M. A comparative study of non-isothermal kinetics of decomposition of calcium oxalate monohydrate. J. Anal. Appl. Pyrolysis 2008, 81, 253–262. [Google Scholar] [CrossRef]
- Boonchom, B.; Puttawong, S. Thermodynamics and kinetics of the dehydration reaction of FePO42H2O. Phys. B 2010, 405, 2350–2355. [Google Scholar] [CrossRef]
- Coats, A.W.; Redfern, J.P. Kinetic parameters from thermogravimetric data. Nature 1964, 201, 68–69. [Google Scholar] [CrossRef]
- Stolarek, P.; Ledakowicz, S. Pyrolysis kinetics of chitin by non-isothermal thermogravimetry. Thermochim. Acta 2005, 433, 200–208. [Google Scholar] [CrossRef]
- Covas, C.P.; Monal, W.A.; Roman, J.S. A kinetic study of the thermal degradation of chitosan and a mercaptan derivative of chitosan. Polym. Deg. Stab. 1993, 39, 21–28. [Google Scholar] [CrossRef]
- Liu, L.; Guo, X.Q. Isokinetic Relationship, Isoequilibrium Relationship, and Enthalpy−Entropy Compensation. Chem. Rev. 2001, 101, 673–695. [Google Scholar] [CrossRef]
- Migahed, M.D.; Fahmy, T. Structural relaxation around the glass transition temperature in amorphous polymer blends: Temperature and composition dependence. Polymer 1994, 35, 1688–1693. [Google Scholar] [CrossRef]
- Fahmy, T.; Abdelmuttlib, E.O.; Abdelhamid, M.I.; Elsharkawy, W.B.; Elqahtani, Z.M.; Ahmed, M.T. TSDC of Irradiated and Non-Irradiated Cellulose Acetate. Egypt. J. Chem. 2021, 64, 2453–2468. [Google Scholar] [CrossRef]
- Elsharkawy, W.B.; Ahmed, M.T.; Abdelmuttlib, E.O.; Elqahtani, Z.M.; Azzam, M.A.; Fahmy, T. Effect of γ-irradiation on thermally stimulated depolarization current spectra of polyethylenegrafted-poly(Acrylic acid). Radiat. Eff. Defects Solids 2022, 177, 671–687. [Google Scholar] [CrossRef]
- Fahmy, T. Dielectric Relaxation and Electrical Conductivity Study inThiourea- Doped Poly (Vinyl Alcohol). Intern. J. Polym. Mater. 2001, 50, 109–127. [Google Scholar] [CrossRef]
- Ambrosio, R.; Carrillo, A.; Mota, M.L.; Torre, K.; Torrealba, R.; Moreno, M.; Vazquez, H.; Flores, J.; Vivaldo, I. Polymeric Nanocomposites Membranes with High Permittivity Based on PVA-ZnO Nanoparticles for Potential Applications in Flexible Electronics. Polymers 2018, 10, 1370. [Google Scholar] [CrossRef]
- Urbach, F. The Long-Wavelength Edge of Photographic Sensitivity and of the Electronic Absorption of Solids. Phys. Rev. 1953, 92, 1324. [Google Scholar] [CrossRef]
- Borah, D.J.; Mostako, A.T.T. Investigation on dispersion parameters of Molybdenum Oxide thin films via Wemple–DiDomenico (WDD) single oscillator model. Appl. Phys. A 2020, 126, 818–825. [Google Scholar] [CrossRef]
- Rahman, M.M.; Miran, H.A.; Jiang, Z.T.; Altarawneh, M.; Chuah, L.S.; Lee, H.L.; Amri, A.; Mondinos, N.; Dlugogorski, B.Z. Investigation of the post-annealing electromagnetic response of Cu–Co oxide coatings via optical measurement and computational modeling. RSC Adv. 2017, 7, 16826–16835. [Google Scholar] [CrossRef]
- Fink, D.; Chung, W.H.; Klett, R.; Schmoldt, A.; Cardoso, J.; Montiel, R.; Vazquez, M.H.; Wang, L.; Hosoi, F.; Omichi, H.; et al. Carbonaceous clusters in irradiated polymers as revealed by UV-Vis spectrometry. Radiat. Eff. Defects Solids 1995, 133, 193–208. [Google Scholar] [CrossRef]
- Ahmed, M.T.; Sarhan, A.; Elqahtani, Z.M.; Elsharkawy, W.B.; Azzam, M.A.; Fahmy, T. Linear and Non-linear optical parameters of Copper Chloride doped Poly (Vinyl Alcohol) for Optoelectronic Applications. Egypt. J. Chem. 2022, 65, 99–108. [Google Scholar] [CrossRef]
- Ravindra, N.M.; Auluck, S.; Srivastava, V.K. On the Penn gap in semiconductors. Phys. Status Solidi B 1979, 93, K155–K160. [Google Scholar] [CrossRef]
- Moss, T.S. Relations between the refractive index and energy gap of semiconductors. Phys. Status Solidi 1985, 131, 415–427. [Google Scholar] [CrossRef]
- Hervé, P.; Vandamme, L.K. General relation between refractive index and energy gap in semiconductors. Infrared Phys. 1994, 35, 609–615. [Google Scholar] [CrossRef]
- Reddy, R.R.; Ram, G.; Narasimhulu, K.; Reddy, L.S.S.; Kumar, K.R.; Balakrishnaiah, G.; Kumar, M.R. Interrelationship between structural, optical, electronic and elastic properties of materials. J. Alloys Compd. 2009, 473, 28–35. [Google Scholar] [CrossRef]
- Kumar, V.; Singh, J.K. Model for calculating the refractive index of different materials. Ind. J. Pure Appl. Phys. 2010, 48, 571–574. [Google Scholar]
- Tsai, M.; Hsu, S.H.; Ho, C.C.; Tsai, H.C.; Wang, C.A.; Su, W.F. High refractive index transparent nanocomposites prepared by in situ polymerization. J. Mater. Chem. C 2014, 2, 2251–2258. [Google Scholar] [CrossRef]
- Chahal, R.P.; Mahendia, S.; Tomar, A.K.; Kumar, S. γ-Irradiated PVA/Ag nanocomposite films: Materials for optical applications. J. Alloys Comp. 2012, 538, 212–219. [Google Scholar] [CrossRef]
- Wemple, S.H. Refractive-Index Behavior of Amorphous Semiconductors and Glasses. Phys. Rev B 1973, 7, 3767–3777. [Google Scholar] [CrossRef]
- Wemple, S.H.; Domenico, M.D., Jr. Behavior of the Electronic Dielectric Constant in Covalent and Ionic Materials. Phys. Rev B 1971, 3, 1338–1351. [Google Scholar] [CrossRef]
- Domenico, M.D., Jr.; Wemple, S.H. Oxygen-Octahedra Ferroelectrics. I. Theory of Electro-optical and Nonlinear optical Effects. J. Appl. Phys. 1969, 40, 720–734. [Google Scholar] [CrossRef]
- Elsharkawy, W.B.; Fahmy, T.; Azzam, M.A.; Habib, A.; Sarhan, A. Structural and Optical Properties of Poly (Vinyl Alcohol)/Copper Nanocomposites Prepared by an Eco-friendly Electrochemical Method. Biointerface Res. Appl. Chem. 2023, 13, 1–22. [Google Scholar]
- Soliman, T.S.; Vshivkov, S.A.; Elkalashy, S.I. Structural, linear and nonlinear optical properties of Ni nanoparticles– olyvinyl alcohol nanocomposite films for optoelectronic applications. Opt. Mater. 2020, 107, 110037. [Google Scholar] [CrossRef]
- Frumar, M.; Jedelský, J.; Frumarova, B.; Wagner, T.; Hrdlička, M. Optically and thermally induced changes of structure, linear and non-linear optical properties of chalcogenides thin films. J. Non-Cryst. Solids 2003, 326, 399–404. [Google Scholar] [CrossRef]
- Tichý, L.; Ticha, H.; Nagels, P.; Callaerts, R.; Mertens, R.; Vlček, M. Optical properties of amorphous As–Se and Ge–As–Se thin films. Mater. Lett. 1999, 39, 122–128. [Google Scholar] [CrossRef]
- Tichá, H.; Tichý, L. Semiempirical relation between non-linear susceptibility (refractive index), linear refractive index and optical gap and its application to amorphous chalcogenides. J. Optoelectron. Adv. Mater. 2002, 4, 381–386. [Google Scholar]
- Dhatarwal, P.; Sengwa, R.J. Investigation on the optical properties of (PVP/PVA)/Al2O3 nanocomposite films for green disposable optoelectronics. Phys. B Cond. Matter. 2021, 613, 412989. [Google Scholar] [CrossRef]
- Wang, Z.; Zhou, W.; Dong, L.; Sui, X.; Cai, H.; Zuo, J.; Chen, Q. Dielectric spectroscopy characterization of relaxation process in Ni/epoxy composites. J. Alloys Comp. 2016, 682, 738–745. [Google Scholar] [CrossRef]
- Fahmy, T.; Ahmed, M.T.; Sarhan, A.; Abdelwahed, H.G.; Alshaaer, M. AC Conductivity and Dielectric Spectroscopy of Poly (3-hydroxybutyrateco-3-hydroxyvalerate). Int. J. Appl. Eng. Res. 2016, 11, 9279–9288. [Google Scholar]
- Banerjee, M.; Jain, A.; Mukherjee, G.S. Spectroscopic evaluation of optical parameters of a transition metal salt filled polymer material. Def. Sci. J. 2018, 68, 225–231. [Google Scholar] [CrossRef]
- Fahmy, T.; Ahmed, M.T.; El-kotp, A.; Abdelwahed, H.G.; Alshaaer, M. Broadband Dielectric Spectroscopy and Electric Modulus Analysis of Poly (3-hydroxybutyrate-co-3-hydroxyvalerate) and Related Copolymers Films. Int. J. Phys. Appl. 2016, 8, 1–14. [Google Scholar]
- Fahmy, T.; Elzanaty, H. AC conductivity and broadband dielectric spectroscopy of a poly(vinyl chloride)/poly(ethyl methacrylate) polymer blend. Bull. Mater. Sci. 2019, 42, 220. [Google Scholar] [CrossRef]
- Yusof, N.A.A.; Zain, N.M.; Pauzi, N. Synthesis of ZnO nanoparticles with chitosan as stabilizing agent and their antibacterial properties against Gram-positive and Gram-negative bacteria. Int. J. Biol. Macromol. 2019, 14, 1132–1136. [Google Scholar] [CrossRef]
- Perelshtein, I.; Ruderman, E.; Perkas, N.; Tzanov, T.; Beddow, J.; Joyce, E.; Mason, T.J.; Blanes, M.; Molla, K.; Patlolla, A.; et al. Chitosan and chitosan–ZnO-based complex nanoparticles: Formation, characterization, and antibacterial activity. J. Mater. Chem. B 2013, 1, 1968–1976. [Google Scholar] [CrossRef] [PubMed]
- Xie, Y.; He, Y.; Irwin, P.L.; Jin, T.; Shi, X. Antibacterial activity and mechanism of action of zinc oxide nanoparticles against Campylobacter jejuni. Appl. Environ. Microbiol. 2011, 77, 2325–2331. [Google Scholar] [CrossRef]
- Zhang, L.; Jiang, Y.; Ding, Y.; Povey, M.; York, D. Investigation into the antibacterial behaviour of suspensions of ZnO nanoparticles (ZnO nanofluids). J. Nanopart. Res. 2007, 9, 479–489. [Google Scholar] [CrossRef]
- Sirelkhatim, A.; Mahmud, S.; Seeni, A.; Kaus, N.H.M.; Ann, L.C.; Bakhori, S.K.M.; Hasan, H.; Mohamad, D. Review on Zinc Oxide Nanoparticles: Antibacterial Activity and Toxicity Mechanism. Nano-Micro Lett. 2015, 7, 219–242. [Google Scholar] [CrossRef]















| Wavenumber | Assignment | Ref. |
|---|---|---|
| 3304 | stretching vibration of –OH and –NH2 groups | [22] |
| 2928 | asymmetric stretching vibration of CH3 | [29] |
| 2863 | asymmetric stretching vibration of CH2 | [29] |
| 1656 | C=O stretching | [30,31] |
| 1563 | N-H bending | [30,31] |
| 1394 | –COO- stretching vibration | [30,31] |
| 1325 | C–O stretching | [30,31] |
| 1252 | O–H bending | [30,31] |
| 1158, 1051, 1012 | glycosidic linkage and C–O–C glucose ring vibration | [32] |
| 1116 | β (1- 4) glucosidic stretching | [33] |
| 886 | unsaturated CH2 stretching of PVA | [34] |
| 652 | O-Zn-O | [38] |
| Sample | Tg (°C) | Tm (°C) |
|---|---|---|
| PVA/Cs | 80.96 | 153.42 |
| PVA/Cs/2 wt% ZnONPs | 81.86 | 153.09 |
| PVA/Cs/5 wt% ZnONPs | 91.13 | 165.02 |
| PVA/Cs/10 wt% ZnONPs | 103.61 | 178.95 |
| PVA/Cs/15 wt% ZnONPs | 103.62 | 183.96 |
| Sample | Stage I | Stage II | Stage III | Stage IV | Residual Mass | Ti (°C) | ||||
|---|---|---|---|---|---|---|---|---|---|---|
| Tm °C | Weight (%) | Tm °C | Weight (%) | Tm °C | Weight (%) | Tm °C | Weight (%) | |||
| PVA/Cs | 100.3 | 4.19 | 179.7 | 10.15 | 271.9 | 41.16 | 507.8 | 40.61 | 4.15 | 142 |
| PVA/Cs/2 wt% ZnO | 92.30 | 3.29 | 179.8 | 8.67 | 273.3 | 40.44 | 502.2 | 39.36 | 8.72 | 161 |
| PVA/Cs/5 wt% ZnO | 100.6 | 3.46 | 207.6 | 10.50 | 265.1 | 40.38 | 508.8 | 27.66 | 8.21 | 164 |
| PVA/Cs/10 wt% ZnO | 108.4 | 2.76 | 253.9 | 47.42 | 486.4 | 37.45 | --- | --- | 12.37 | 178 |
| PVA/Cs/15 wt% ZnO | 108.3 | 1.68 | 250.5 | 42.22 | 478.1 | 34.80 | --- | --- | 22.44 | 210 |
| Sample | Ea (kJ/mol) | r2 | f (Hz) | ΔS (kJ/mol K) | ΔH (kJ/mol) | ΔG (kJ/mol) |
|---|---|---|---|---|---|---|
| Stage I | ||||||
| Pure PVA/Cs | 40.72 | 1.00000 | 54.58 | −0.211 | 37.48 | 116.23 |
| PVA/Cs/2 wt% ZnO | 56.29 | 0.99938 | 1.06 × 104 | −0.166 | 53.25 | 114.03 |
| PVA/Cs/5 wt% ZnO | 76.20 | 0.99878 | 6.99 × 106 | −0.113 | 73.09 | 115.38 |
| PVA/Cs/10 wt% ZnO | 77.16 | 0.99874 | 5.01 × 106 | −0.116 | 73.99 | 118.45 |
| Stage II | ||||||
| Pure PVA/Cs | 23.22 | 0.99927 | 0.102 | −0.267 | 19.46 | 140.77 |
| PVA/Cs/2 wt% ZnO | 27.95 | 0.99984 | 0.354 | −0.257 | 24.19 | 140.87 |
| PVA/Cs/5 wt% ZnO | 28.24 | 0.99964 | 0.341 | −0.259 | 24.25 | 148.81 |
| PVA/Cs/10 wt% ZnO | 49.98 | 0.99996 | 81.22 | −0.215 | 45.40 | 158.88 |
| PVA/Cs/15 wt% ZnO | 71.32 | 0.99990 | 2.85 × 103 | −0.185 | 66.97 | 164.16 |
| Stage III | ||||||
| Pure PVA/Cs | 38.10 | 0.99984 | 4.11 | −0.241 | 33.57 | 164.75 |
| PVA/Cs/2 wt% ZnO | 41.38 | 0.99989 | 9.15 | −0.234 | 37.29 | 165.20 |
| PVA/Cs/5 wt% ZnO | 41.68 | 0.99974 | 9.65 | −0.233 | 37.21 | 162.82 |
| PVA/Cs/10 wt% ZnO | 60.67 | 0.99954 | 43.41 | −0.226 | 54.36 | 226.00 |
| PVA/Cs/15 wt% ZnO | 89.74 | 0.99953 | 335.92 | −0.209 | 83.50 | 240.36 |
| Stage IV | ||||||
| Pure PVA/Cs | 72.18 | 0.99863 | 246.08 | −0.212 | 65.59 | 231.28 |
| PVA/Cs/2 wt% ZnO | 63.79 | 0.99880 | 63.31 | −0.233 | 57.35 | 230.31 |
| PVA/Cs/5 wt% ZnO | 20.10 | 0.99973 | 0.029 | −0.287 | 13.60 | 237.90 |
| Samples | Optical Parameters | ||||||
|---|---|---|---|---|---|---|---|
| Eed (eV) | EU (eV) | β | Ee-p | Edg1 (eV) | Edg2 (eV) | Ncc | |
| PVA/Cs blend | 3.19 | 0.42 | 0.061 | 10.92 | 4.43 | --- | 60 |
| PVA/Cs/2 wt% ZnONPs | 3.05 | 0.39 | 0.065 | 10.14 | 4.03 | 3.35 | 73 |
| PVA/Cs/5 wt% ZnONPs | 2.89 | 0.42 | 0.062 | 10.74 | 3.95 | 3.33 | 75 |
| PVA/Cs/10 wt% ZnONPs | 2.94 | 0.45 | 0.057 | 11.66 | 3.78 | 3.25 | 83 |
| PVA/Cs/15 wt% ZnONPs | 2.83 | 0.43 | 0.060 | 11.06 | 3.55 | 3.15 | 94 |
| Sample | Eed (eV) | nRV | nM | nHV | nRe | nKS | nAverage |
|---|---|---|---|---|---|---|---|
| PVA/Cs | 3.19 | 1.333 | 2.086 | 1.654 | 2.103 | 2.083 | 1.852 |
| PVA/Cs/2 wt% ZnONPs | 3.05 | 1.581 | 2.134 | 1.682 | 2.198 | 2.148 | 1.949 |
| PVA/Cs/5 wt% ZnONPs | 2.89 | 1.631 | 2.145 | 1.688 | 2.218 | 2.162 | 1.968 |
| PVA/Cs/10 wt% ZnONPs | 2.94 | 1.736 | 2.167 | 1.701 | 2.262 | 2.193 | 2.012 |
| PVA/Cs/15 wt% ZnONPs | 2.83 | 1.879 | 2.201 | 1.719 | 2.324 | 2.237 | 2.072 |
| Parameter | PVA/Cs Blend | PVA/Cs/ 2 wt% ZnONPs | PVA/Cs/ 5 wt% ZnONPs | PVA/Cs/ 10 wt% ZnONPs | PVA/Cs/ 15 wt% ZnONPs |
|---|---|---|---|---|---|
| E0 (eV) | 3.41 | 3.28 | 3.34 | 3.20 | 3.38 |
| Ed (eV) | 5.53 | 4.113 | 4.61 | 4.16 | 6.44 |
| n0 | 1.61 | 1.50 | 1.54 | 1.52 | 1.41 |
| εs | 2.62 | 2.26 | 2.38 | 2.30 | 2.91 |
| f (eV)2 | 18.87 | 13.51 | 15.38 | 13.33 | 21.74 |
| M−1 | 1.27 | 1.12 | 1.18 | 1.14 | 1.38 |
| M−3, (eV)−2 | 0.109 | 0.104 | 0.105 | 0.111 | 0.121 |
| εL | 7.98 | 7.45 | 6.96 | 8.51 | 10.44 |
| N/m*(×1058 m−3 kg−1) | 1.75 | 0.91 | 1.39 | 2.13 | 2.68 |
| N (×1027 m−3) | 7.04 | 3.66 | 5.28 | 8.55 | 10.8 |
| ωp (×1015 Hz) | 7.13 | 5.14 | 6.34 | 7.86 | 8.82 |
| s0 (×1013 m−2) | 1.20 | 1.06 | 1.52 | 0.76 | 0.96 |
| λ0 (×10−7 m) | 3.62 | 3.55 | 3.32 | 3.92 | 3.90 |
| Optical Parameter | PVA/Cs | PVA/Cs/ 2 wt% ZnONPs | PVA/Cs/ 5 wt% ZnONPs | PVA/Cs/ 10 wt% ZnONPs | PVA/Cs/ 15 wt% ZnONPs |
|---|---|---|---|---|---|
| χ1 | 0.128 | 0.100 | 0.110 | 0.103 | 0.152 |
| χ3 (×10−14 esu) | 4.93 | 1.81 | 2.63 | 2.05 | 9.54 |
| n2 (×10−12) | 3.27 | 4.77 | 5.17 | 6.17 | 7.93 |
Disclaimer/Publisher’s Note: The statements, opinions and data contained in all publications are solely those of the individual author(s) and contributor(s) and not of MDPI and/or the editor(s). MDPI and/or the editor(s) disclaim responsibility for any injury to people or property resulting from any ideas, methods, instructions or products referred to in the content. |
© 2023 by the authors. Licensee MDPI, Basel, Switzerland. This article is an open access article distributed under the terms and conditions of the Creative Commons Attribution (CC BY) license (https://creativecommons.org/licenses/by/4.0/).
Share and Cite
Abdelfattah, E.M.; Elzanaty, H.; Elsharkawy, W.B.; Azzam, M.A.; Elqahtani, Z.M.; Alotibi, S.; Alyami, M.; Fahmy, T. Enhancement of the Structure, Thermal, Linear/Nonlinear Optical Properties, and Antibacterial Activity of Poly (vinyl alcohol)/Chitosan/ZnO Nanocomposites for Eco-Friendly Applications. Polymers 2023, 15, 4282. https://doi.org/10.3390/polym15214282
Abdelfattah EM, Elzanaty H, Elsharkawy WB, Azzam MA, Elqahtani ZM, Alotibi S, Alyami M, Fahmy T. Enhancement of the Structure, Thermal, Linear/Nonlinear Optical Properties, and Antibacterial Activity of Poly (vinyl alcohol)/Chitosan/ZnO Nanocomposites for Eco-Friendly Applications. Polymers. 2023; 15(21):4282. https://doi.org/10.3390/polym15214282
Chicago/Turabian StyleAbdelfattah, E. M., H. Elzanaty, W. B. Elsharkawy, M. A. Azzam, Z. M. Elqahtani, S. Alotibi, M. Alyami, and T. Fahmy. 2023. "Enhancement of the Structure, Thermal, Linear/Nonlinear Optical Properties, and Antibacterial Activity of Poly (vinyl alcohol)/Chitosan/ZnO Nanocomposites for Eco-Friendly Applications" Polymers 15, no. 21: 4282. https://doi.org/10.3390/polym15214282
APA StyleAbdelfattah, E. M., Elzanaty, H., Elsharkawy, W. B., Azzam, M. A., Elqahtani, Z. M., Alotibi, S., Alyami, M., & Fahmy, T. (2023). Enhancement of the Structure, Thermal, Linear/Nonlinear Optical Properties, and Antibacterial Activity of Poly (vinyl alcohol)/Chitosan/ZnO Nanocomposites for Eco-Friendly Applications. Polymers, 15(21), 4282. https://doi.org/10.3390/polym15214282

