Ternary Blends from Biological Poly(3-hydroxybutyrate-co-3-hydroxyhexanoate), Poly(propylene carbonate) and Poly(vinyl acetate) with Balanced Properties
Abstract
:1. Introduction
2. Materials and Methods
2.1. Materials
2.2. Sample Preparation
2.3. Characterizations
2.3.1. Dynamic Mechanical Analysis (DMA)
2.3.2. Rheological Measurements
2.3.3. Scanning Electronic Microscopy (SEM)
2.3.4. Differential Scanning Calorimetry (DSC)
2.3.5. Tensile Tests
3. Results and Discussion
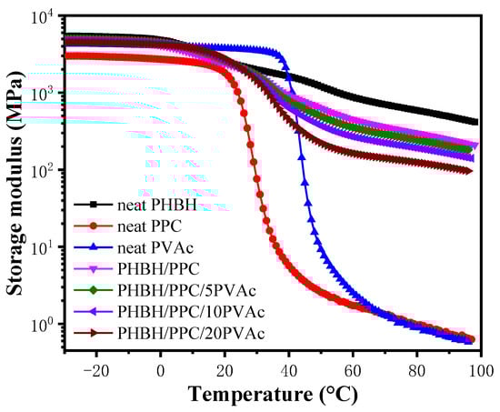
3.1. Dynamic Mechanical Analysis
3.2. Rheological Properties
3.3. Phase Morphology
3.4. Thermal and Crystallization Behaviors
3.5. Isothermal Melt Crystallization Behavior and Kinetics
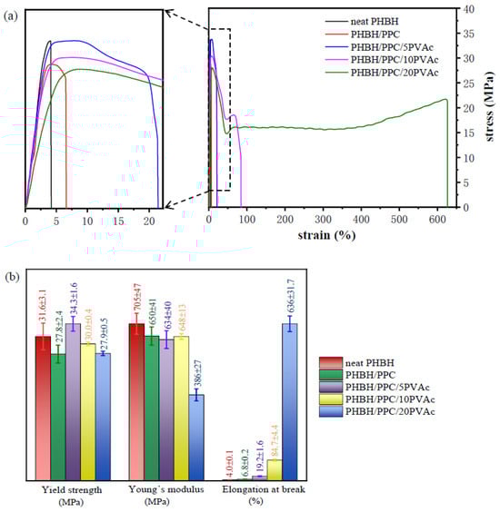
3.6. Tensile Mechanical Properties
4. Conclusions
Author Contributions
Funding
Institutional Review Board Statement
Data Availability Statement
Conflicts of Interest
References
- Tamiya, T.; Hsu, Y.-I.; Asoh, T.-A.; Uyama, H. Improvement of interfacial adhesion between poly(3-hydroxybutyrate-co-3-hydroxyhexanoate) and silica particles. Ind. Eng. Chem. Res. 2020, 59, 13595–13602. [Google Scholar] [CrossRef]
- Frank, C.; Emmerstorfer-Augustin, A.; Rath, T.; Trimmel, G.; Nachtnebel, M.; Stelzer, F. Bio-polyester/rubber compounds: Fabrication, characterization, and biodegradation. Polymers 2023, 15, 2593. [Google Scholar] [CrossRef] [PubMed]
- Che, X.; Ye, H.; Chen, G. Effects of uracil on crystallization and rheological property of poly(R-3-hydroxybutyrate-co-4-hydroxybutyrate). Compos. Part A 2018, 109, 141–150. [Google Scholar] [CrossRef]
- Giubilini, A.; Siqueira, G.; Clemens, F.J.; Sciancalepore, C.; Messori, M.G.; Nyström, G.; Bondioli, F. 3D-printing nanocellulose-poly(3-hydroxybutyrate-co-3- hydroxyhexanoate) biodegradable composites by fused deposition modeling. ACS Sustain. Chem. Eng. 2020, 8, 10292–10302. [Google Scholar] [CrossRef]
- Volova, T.G.; Uspenskaya, M.V.; Kiselev, E.G.; Sukovatyi, A.G.; Zhila, N.O.; Vasiliev, A.D.; Shishatskaya, E.I. Effect of monomers of 3-hydroxyhexanoate on properties of copolymers poly(3-hydroxybutyrate-co 3-hydroxyhexanoate). Polymers 2023, 15, 2890. [Google Scholar] [CrossRef]
- Oyama, T.; Kobayashi, S.; Okura, T.; Sato, S.; Tajima, K.; Isono, T.; Satoh, T. Biodegradable compatibilizers for poly(hydroxyalkanoate)/poly(ε-caprolactone) blends through click reactions with endfunctionalized microbial poly(hydroxyalkanoate)s. ACS Sustain. Chem. Eng. 2019, 7, 7969–7978. [Google Scholar] [CrossRef]
- Lim, J.; Chong, M.S.K.; Teo, E.Y.; Chen, G.; Chan, J.K.Y.; Teoh, S.-H. Biocompatibility studies and characterization of poly(3-hydroxybutyrate-co-3-hydroxyhexanoate)/polycaprolactone blends. J. Biomed. Mater. Res. B 2013, 101, 752–761. [Google Scholar] [CrossRef]
- Zhang, M.; Diao, X.; Jin, Y.; Weng, Y. Preparation and characterization of biodegradable blends of poly(3-hydroxybutyrate-co-3-hydroxyhexanoate) and poly(butylene adipate-co-terephthalate). J. Polym. Eng. 2016, 36, 473–480. [Google Scholar] [CrossRef]
- Yu, F.; Nakayama, T.; Nakamura, N.; Katsumata, K.; Pan, P.; Inoue, Y. Miscibility and physical properties of poly-(3-hydroxybutyrate-co-3-hydroxyhexanoate)/poly(ethylene oxide) binary blends. Macromol. Mater. Eng. 2009, 294, 868–876. [Google Scholar] [CrossRef]
- Luo, L.; Wei, X.; Chen, G. Physical properties and biocompatibility of poly(3-hydroxybutyrate-co-3-hydroxyhexanoate) blended with poly(3-hydroxybutyrate-co-4-hydroxybutyrate). J. Biomater. Sci. Polym. Ed. 2009, 20, 1537–1553. [Google Scholar] [CrossRef]
- Muthuraj, R.; Mekonnen, T. Recent progress in carbon dioxide (CO2) as feedstock for sustainable materials development: Co-polymers and polymer blends. Polymer 2018, 145, 348–373. [Google Scholar] [CrossRef]
- Wang, D.; Yu, J.; Zhang, J.; He, J.; Zhang, J. Transparent bionanocomposites with improved properties from poly(propylene carbonate) (PPC) and cellulose nanowhiskers (CNWs). Compos. Sci. Technol. 2013, 85, 83–89. [Google Scholar] [CrossRef]
- Han, D.; Guo, Z.; Chen, S.; Xiao, M.; Peng, X.; Wang, S.; Meng, Y. Enhanced properties of biodegradable poly(propylene carbonate)/polyvinyl formal blends by melting compounding. Polymers 2018, 10, 771. [Google Scholar] [CrossRef]
- Haneef, I.N.H.M.; Buys, Y.F.; Shaffiar, N.M.; Shaharuddin, S.I.S.; Nor Khairusshima, M.K. Miscibility, mechanical, and thermal properties of polylactic acid/polypropylene carbonate (PLA/PPC) blends prepared by melt-mixing method. Mater. Today 2019, 17, 534–542. [Google Scholar] [CrossRef]
- Wang, Z.; Zhang, M.; Liu, Z.; Zhang, S.; Cao, Z.; Yang, W.; Yang, M. Compatibilization of the poly(lactic acid)/poly(propylene carbonate) blends through in situ formation of poly(lactic acid)-b-poly(propylene carbonate) copolymer. J. Appl. Polym. Sci. 2018, 135, 46009. [Google Scholar] [CrossRef]
- Enriquez, E.; Mohanty, A.K.; Misra, M. Biobased blends of poly(propylene carbonate) and poly(hydroxybutyrate-co-hydroxyvalerate): Fabrication and characterization. J. Appl. Polym. Sci. 2017, 134, 44420. [Google Scholar] [CrossRef]
- El-Hadi, A.M. Improvement of the miscibility by combination of poly(3-hydroxy butyrate) PHB and poly(propylene carbonate) PPC with additives. J. Polym. Environ. 2017, 25, 728–738. [Google Scholar] [CrossRef]
- Han, X.; Jin, Y.; Wang, B.; Tian, H.; Weng, Y. Reinforcing and toughening modification of PPC/PBS blends compatibilized with epoxy terminated hyperbranched polymers. J. Polym. Environ. 2022, 30, 461–471. [Google Scholar] [CrossRef]
- Zhang, L.; Zheng, Z.; Xi, J.; Gao, Y.; Ao, Q.; Gong, Y.; Zhao, N.; Zhang, X. Improved mechanical property and biocompatibility of poly(3-hydroxybutyrate-co-3-hydroxyhexanoate) for blood vessel tissue engineering by blending with poly(propylene carbonate). Eur. Polym. J. 2007, 43, 2975–2986. [Google Scholar] [CrossRef]
- Chun, S.; Han, C. Morphology of model A/B/(Cblock-D) ternary blends and compatibilization of two immiscible homopolymers A and B with a C-block-D copolymer. Macromolecules 2000, 33, 3409–3424. [Google Scholar] [CrossRef]
- Moussaif, N.; Jérôme, R. Compatibilization of immiscible polymer blends (PV/PVDF) by the addition of a third polymer (PMMA): Analysis of phase morphology and mechanical properties. Polymer 1999, 40, 3919–3932. [Google Scholar] [CrossRef]
- Zhang, K.; Mohanty, A.K.; Misra, M. Fully biodegradable and biorenewable ternary blends from polylactide, poly(3-hydroxybutyrate-co-hydroxyvalerate) and poly(butylene succinate) with balanced properties. ACS Appl. Mater. Interfaces 2012, 4, 3091–3101. [Google Scholar] [CrossRef] [PubMed]
- Madbouly, A.A.; Mansour, A.A.; Abdou, N.Y. Crystallization kinetics of PHB/PVAc blends using time resolved dielectric spectroscopy. Eur. Polym. J. 2007, 43, 3933–3942. [Google Scholar] [CrossRef]
- Sivalingam, G.; Karthik, R.; Madras, G. Blends of poly(3-caprolactone) and poly(vinyl acetate): Mechanical properties and thermal degradation. Poly. Degrad. Stabil. 2004, 84, 345–351. [Google Scholar] [CrossRef]
- Gajria, A.M.; Dave, V.; Gross, R.A.; McCarthy, S.P. Miscibility and biodegradability of blends of poly(lactic acid) and poly(vinyl acetate). Polymer 1996, 37, 437–444. [Google Scholar] [CrossRef]
- Gao, J.; Bai, H.; Zhang, Q.; Gao, Y.; Chen, L.; Fu, Q. Effect of homopolymer poly(vinyl acetate) on compatibility and mechanical properties of poly(propylene carbonate)/poly(lactic acid) blends. Express Polym. Lett. 2012, 6, 860–870. [Google Scholar] [CrossRef]
- Lee, J.; Hikima, Y.; Sekiguchi, T.; Ohshima, M. Thermal, rheological, and mechanical properties of cellulose nanofber (CNF) and poly(3-hydroxybutyrate-co-3-hydroxyhexanoate) (PHBH) biopolymer nanocomposites. Cellulose 2022, 29, 3901–3913. [Google Scholar] [CrossRef]
- Qiu, Z.; Yang, W.; Ikehara, T.; Nishi, T. Miscibility and crystallization behavior of biodegradable blends of two aliphatic polyesters. Poly(3-hydroxybutyrate-co-hydroxyvalerate) and poly(3-caprolactone). Polymer 2005, 46, 11814–11819. [Google Scholar] [CrossRef]
- Ching, Y.C.; Ali, M.E.; Abdullah, L.C.; Choo, K.W.; Kuan, Y.C.; Julaihi, S.J.; Chuah, C.H.; Liou, N.-S. Rheological properties of cellulose nanocrystal-embedded polymer composites: A review. Cellulose 2016, 23, 1011–1030. [Google Scholar] [CrossRef]
- Hao, X.; Kaschta, J.; Liu, X.; Pan, Y.; Schubert, D.W. Entanglement network formed in miscible PLA/PMMA blends and its role in rheological and thermo-mechanical properties of the blends. Polymer 2015, 80, 38–45. [Google Scholar] [CrossRef]
- Hemelrijck, E.V.; Puyvelde, P.V.; Macosko, C.W.; Moldenaers, P. The effect of block copolymer architecture on the coalescence and interfacial elasticity in compatibilized polymer blends. J. Rheol. 2005, 49, 783–798. [Google Scholar] [CrossRef]
- Ardakani, F.; Jahani, Y.; Morshedian, J. The impact of viscoelastic behavior and viscosity ratio on the phase behavior and morphology of polypropylene/polybutene-1 blends. J. Vinyl Addit. Technol. 2015, 21, 94–101. [Google Scholar] [CrossRef]
- Rameshwaram, J.K.; Yang, Y.S.; Jeon, H.S. Structure–property relationships of nanocomposite-like polymer blends with ultrahigh viscosity ratios. Polymer 2005, 46, 5569–5579. [Google Scholar] [CrossRef]
- Liebscher, M.; Tzounis, L.; Pötschke, P.; Heinrich, G. Influence of the viscosity ratio in PC/SAN blends filled with MWCNTs on the morphological, electrical, and melt rheological properties. Polymer 2013, 54, 6801–6808. [Google Scholar] [CrossRef]
- Feng, J.; Liu, X.; Bao, R.; Yang, W.; Xie, B.; Yang, M. Suppressing phase coarsening in immiscible polymer blends using nano-silica particles located at the interface. RSC Adv. 2015, 5, 74295. [Google Scholar]
- Salehiyan, R.; Yoo, Y.; Choi, W.J.; Hyun, K. Characterization of morphologies of compatibilized polypropylene/polystyrene blends with nanoparticles via nonlinear rheological properties from FT-rheology. Macromolecules 2014, 47, 4066–4076. [Google Scholar] [CrossRef]
- Slouf, M.; Radonjic, G.; Hlavata, D.; Sikora, A. Compatibilized iPP/aPS blends: The effect of the viscosity ratio of the components on the blends morphology. J. Appl. Polym. Sci. 2006, 101, 2236–2249. [Google Scholar] [CrossRef]
- Lu, X.; Zhao, J.; Yang, X.; Xiao, P. Morphology and properties of biodegradable poly(lactic acid)/poly (butylene adipate-co-terephthalate) blends with different viscosity ratio. Polym. Test. 2017, 60, 58–67. [Google Scholar] [CrossRef]
- Zhou, Y.; Huang, Z.; Diao, X.; Weng, Y.; Wang, Y. Characterization of the effect of REC on the compatibility of PHBH and PLA. Polym. Test. 2015, 42, 17–25. [Google Scholar] [CrossRef]
- Jeepery, I.F.; Sudesh, K.; Abe, H. Miscibility and enzymatic degradability of poly(3-hydroxybutyrate-co-3-hydroxyhexanoate)-based polyester blends by PHB depolymerase and lipase. Polym. Degrad. Stabil. 2021, 192, 109692. [Google Scholar] [CrossRef]
- Li, D.; Fu, J.; Ma, X. Improvement in thermal, mechanical, and barrier properties of biocomposite of poly (3-hydroxybutyrate-co-3-hydroxyhexanoate)/modified nano-SiO2. Polym. Compos. 2020, 41, 381–390. [Google Scholar] [CrossRef]
- Cebe, P.; Hong, S.D. Crystallization behaviour of poly(ether-ether-ketone). Polymer 1986, 27, 1183–1192. [Google Scholar]
- Avrami, M. Kinetics of phase change. II transformation–time relations for random distribution of nuclei. J. Chem. Phys. 1940, 8, 212–224. [Google Scholar]
- Piorkowska, E.; Galeski, A.; Haudin, J.-M. Critical assessment of overall crystallization kinetics theories and predictions. Prog. Polym. Sci. 2006, 31, 549–579. [Google Scholar]
- Tsui, A.; Frank, C.W. Comparison of anhydrous and monohydrated forms of orotic acid as crystal nucleating agents for poly(3-hydroxybutyrate-co-3-hydroxyvalerate). Polymer 2014, 55, 6364–6372. [Google Scholar]
- Li, J.; Qiu, Z. Effect of low loadings of cellulose nanocrystals on the significantly enhanced crystallization of biodegradable poly(butylene succinate-co-butylene adipate). Carbohyd. Polym. 2019, 205, 211–216. [Google Scholar]
- Katsumata, K.; Saito, T.; Yu, F.; Nakamura, N.; Inoue, Y. The toughening effect of a small amount of poly(ε-caprolactone) on the mechanical properties of the poly(3-hydroxybutyrate-co-3-hydroxyhexanoate)/PCL blend. Polym. J. 2011, 43, 484–492. [Google Scholar]













| Samples | Tg,PHBH (°C) | Tg,PPC (°C) | Tg,PVAc (°C) |
|---|---|---|---|
| neat PHBH | 13.9 | - | - |
| neat PPC | - | 33.0 | - |
| neat PVAc | - | - | 47.9 |
| PHBH/PPC | 12.5 | 34.7 | - |
| PHBH/PPC/5PVAc | 16.8 | 35.2 | - |
| PHBH/PPC/10PVAc | 18.9 | 35.3 | - |
| PHBH/PPC/20PVAc | Not detected | 35.8 | - |
| 70PPC/30PVAc | - | 38.9 | - |
| 50PPC/50PVAc | - | 40.6 | - |
| 90PHBH/10PVAc | 25.6 | - | - |
| 80PHBH/20PVAc | 32.9 | - | - |
| 70PHBH/30PVAc | 35.6 | - | - |
| Sample | First Cooling | Second Heating | |||||||
|---|---|---|---|---|---|---|---|---|---|
| Tc (°C) | ΔHc (J/g) | Tg,PHBH (°C) | Tcc (°C) | ΔHcc (J/g) | Tm1 (°C) | Tm2 (°C) | ΔHm (J/g) | Xc (%) | |
| neat PHBH | 62.8 | 49.7 | 2.8 | - | - | 132.5 | 149.3 | 55.9 | 38.3 |
| neat PPC | - | - | 33.3 | - | - | - | - | - | |
| neat PVAc | - | - | 44.7 | - | - | - | - | - | |
| PHBH/PPC | 53.0 | 17.6 | 1.6 | 54.4 | 24.7 | 130.5 | 148.4 | 49.0 | 16.6 |
| PHBH/PPC/5PVAc | - | - | 2.4 | 59.6 | 40.8 | 130.7 | 148.5 | 52.9 | 8.3 |
| PHBH/PPC/10PVAc | - | - | 4.3 | 65.8 | 43.7 | 132.8 | 148.9 | 49.4 | 3.9 |
| PHBH/PPC/20PVAc | - | - | 6.5 | 80.4 | 47.5 | 133.5 | 148.5 | 49.3 | 1.2 |
| Sample | Crystallization Temperature of 80 °C | Crystallization Temperature of 85 °C | ||||||
|---|---|---|---|---|---|---|---|---|
| t1/2 (min) | n | k (min−n) | R2 | t1/2 (min) | n | k (min−n) | R2 | |
| PHBH | 4.8 | 2.8 | 8.23 × 10−3 | 0.9998 | 7.2 | 2.8 | 2.36 × 10−3 | 0.9998 |
| PHBH/PPC | 10.2 | 2.7 | 1.39 × 10−3 | 0.9982 | 15.5 | 2.6 | 5.26 × 10−4 | 0.9986 |
| PHBH/PPC/5PVAc | 20.9 | 2.6 | 3.16 × 10−4 | 0.9940 | 35.3 | 2.4 | 1.20 × 10−4 | 0.9963 |
| PHBH/PPC/10PVAc | 34.1 | 2.4 | 1.63 × 10−4 | 0.9986 | 43.1 | 2.5 | 5.54 × 10−5 | 0.9982 |
| PHBH/PPC/20PVAc | 46.8 | 2.7 | 2.30 × 10−5 | 0.9994 | 56.9 | 2.8 | 8.81 × 10−6 | 0.9992 |
| Sample | Yield Strength (MPa) | Breaking Strength (MPa) | Young’s Modulus (MPa) | Elongation at Break (%) |
|---|---|---|---|---|
| neat PHBH | 31.6 ± 3.1 | 31.6 ± 3.1 | 705 ± 47 | 4.0 ± 0.1 |
| PHBH/PPC | 27.8 ± 2.4 | 27.8 ± 2.4 | 650 ± 41 | 6.8 ± 0.2 |
| PHBH/PPC/5PVAc | 34.3 ± 1.6 | 34.3 ± 1.6 | 634 ± 40 | 19.2 ± 1.6 |
| PHBH/PPC/10PVAc | 30.0 ± 0.4 | 18.5 ± 1.2 | 648 ± 13 | 84.7 ± 4.4 |
| PHBH/PPC/20PVAc | 27.9 ± 0.5 | 20.8 ± 0.5 | 386 ± 27 | 636 ± 31.7 |
Disclaimer/Publisher’s Note: The statements, opinions and data contained in all publications are solely those of the individual author(s) and contributor(s) and not of MDPI and/or the editor(s). MDPI and/or the editor(s) disclaim responsibility for any injury to people or property resulting from any ideas, methods, instructions or products referred to in the content. |
© 2023 by the authors. Licensee MDPI, Basel, Switzerland. This article is an open access article distributed under the terms and conditions of the Creative Commons Attribution (CC BY) license (https://creativecommons.org/licenses/by/4.0/).
Share and Cite
Jin, Y.; Han, C.; Li, Y.; Cheng, H.; Li, D.; Wang, H. Ternary Blends from Biological Poly(3-hydroxybutyrate-co-3-hydroxyhexanoate), Poly(propylene carbonate) and Poly(vinyl acetate) with Balanced Properties. Polymers 2023, 15, 4281. https://doi.org/10.3390/polym15214281
Jin Y, Han C, Li Y, Cheng H, Li D, Wang H. Ternary Blends from Biological Poly(3-hydroxybutyrate-co-3-hydroxyhexanoate), Poly(propylene carbonate) and Poly(vinyl acetate) with Balanced Properties. Polymers. 2023; 15(21):4281. https://doi.org/10.3390/polym15214281
Chicago/Turabian StyleJin, Yujie, Changyu Han, Yi Li, Hongda Cheng, Dongdong Li, and Huan Wang. 2023. "Ternary Blends from Biological Poly(3-hydroxybutyrate-co-3-hydroxyhexanoate), Poly(propylene carbonate) and Poly(vinyl acetate) with Balanced Properties" Polymers 15, no. 21: 4281. https://doi.org/10.3390/polym15214281
APA StyleJin, Y., Han, C., Li, Y., Cheng, H., Li, D., & Wang, H. (2023). Ternary Blends from Biological Poly(3-hydroxybutyrate-co-3-hydroxyhexanoate), Poly(propylene carbonate) and Poly(vinyl acetate) with Balanced Properties. Polymers, 15(21), 4281. https://doi.org/10.3390/polym15214281
