Preparation and Boron Removal Performance of Glycidol Modified PANI Nanorods: An Optimization Study Based on Response Surface Methodology
Abstract
1. Introduction
2. Materials and Methods
2.1. Materials
2.2. Synthesis of the PANI Nanorods
2.3. Synthesis of the PANI Nanorods with Active -NH2
2.4. Preparation of the Glycidol-Functionalized PANI Nanorods (PANI-OH-x)
2.5. Adsorption Experiments
2.6. RSM Experimental Design
2.7. Characterization
3. Results
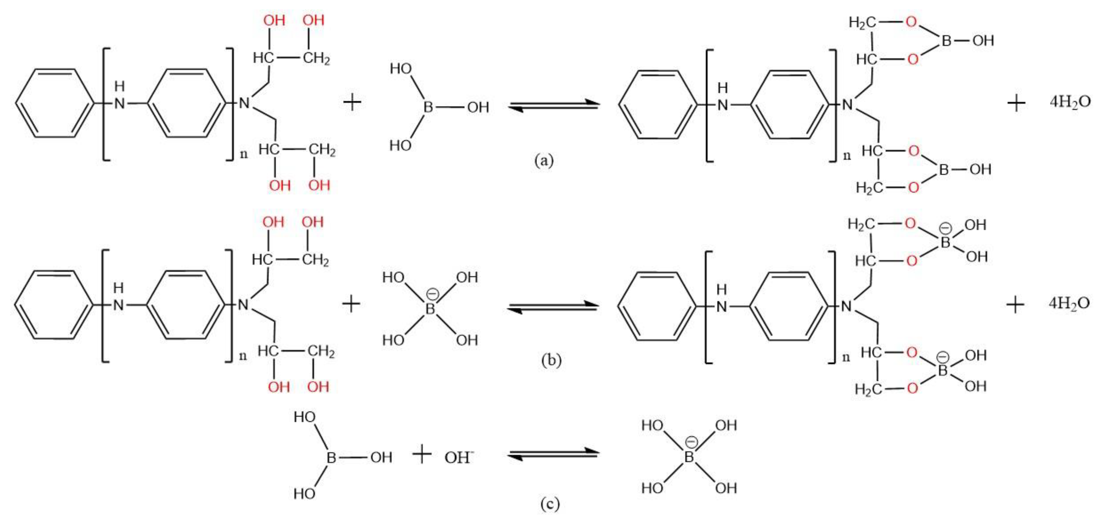
3.1. Synthesis Mechanism
3.2. FTIR and XPS Analysis
3.3. SEM Analysis
3.4. Discussion of the Adsorption Experiments
3.4.1. Optimization of Adsorbents
3.4.2. Single-Factor Experiment
3.4.3. RSM Experimental
3.4.4. The Regeneration of the Synthesized Adsorbent and Their Inherent Properties
3.5. Adsorption Mechanism
4. Conclusions
- (1)
- The species of boron in the aqueous phase is most important and a key limiting factor to the boron adsorption reaction, especially the adsorbents with polyhydric alcohol groups, as a result of the reaction between the PANI-OH-3 adsorbents and [B(OH)4−] that accounts for 90% of the total adsorption reaction;
- (2)
- The dominant isotherm models coincide with the Langmuir model, which predicted the adsorption reaction is a chemical adsorption, and the ratio between the adsorbents (PANI-OH-3) and boric acid is 1:1; the theoretical maximum adsorption capacity can be up to 0.35682 mmoL∙g−1.
Supplementary Materials
Author Contributions
Funding
Institutional Review Board Statement
Informed Consent Statement
Data Availability Statement
Conflicts of Interest
References
- Darwish, N.B.; Kochkodan, V.; Hilal, N. Boron removal from water with fractionized Amberlite IRA743 resin. Desalination 2015, 370, 1–6. [Google Scholar] [CrossRef]
- Wolska, J.; Bryjak, M. Methods for boron removal from aqueous solutions—A review. Desalination 2013, 310, 18–24. [Google Scholar] [CrossRef]
- Wang, Z.; Ma, K.; Zhang, Y.; Zhang, X.; Ngo, H.H.; Meng, J.; Du, L. High internal phase emulsion hierarchical porous polymer grafting polyol compounds for boron removal. J. Water Process Eng. 2021, 41, 102025. [Google Scholar] [CrossRef]
- Tu, K.L.; Nghiem, L.D.; Chivas, A.R. Boron removal by reverse osmosis membranes in seawater desalination applications. Sep. Purif. Technol. 2010, 75, 87–101. [Google Scholar] [CrossRef]
- Oladipo, A.A.; Gazi, M. Hydroxyl-enhanced magnetic chitosan microbeads for boron adsorption: Parameter optimization and selectivity in saline water. React. Funct. Polym. 2016, 109, 23–32. [Google Scholar] [CrossRef]
- Luo, Q.; He, L.; Wang, X.; Huang, H.; Wang, X.; Sang, S.; Huang, X. Cyclodextrin derivatives used for the separation of boron and the removal of organic pollutants. Sci. Total Environ. 2020, 749, 141487. [Google Scholar] [CrossRef]
- Hong, M.; Li, D.; Wang, B.; Zhang, J.; Peng, B.; Xu, X.; Wang, Y.; Bao, C.; Chen, J.; Zhang, Q. Cellulose-derived polyols as high-capacity adsorbents for rapid boron and organic pollutants removal from water. J. Hazard. Mater. 2021, 419, 126503. [Google Scholar] [CrossRef]
- Nasef, M.M.; Nallappan, M.; Ujang, Z. Polymer-based chelating adsorbents for the selective removal of boron from water and wastewater: A review. React. Funct. Polym. 2014, 85, 54–68. [Google Scholar] [CrossRef]
- Guan, Z.; Lv, J.; Bai, P.; Guo, X. Boron removal from aqueous solutions by adsorption—A review. Desalination 2016, 383, 29–37. [Google Scholar] [CrossRef]
- Lin, J.Y.; Mahasti, N.N.N.; Huang, Y.H. Recent advances in adsorption and coagulation for boron removal from wastewater: A comprehensive review. J. Hazard. Mater. 2021, 407, 124401. [Google Scholar] [CrossRef]
- Zhang, R.; Xie, Y.; Song, J.; Xing, L.; Kong, D.; Li, X.-M.; He, T. Extraction of boron from salt lake brine using 2-ethylhexanol. Hydrometallurgy 2016, 160, 129–136. [Google Scholar] [CrossRef]
- García-Soto, M.d.M.d.l.F.; Muñoz Camacho, E. Boron Removal by Processes of Chemosorption. Solvent Extr. Ion Exch. 2007, 23, 741–757. [Google Scholar] [CrossRef]
- Turker, O.C.; Baran, T. Evaluation and application of an innovative method based on various chitosan composites and Lemna gibba for boron removal from drinking water. Carbohydr. Polym. 2017, 166, 209–218. [Google Scholar] [CrossRef]
- Gungormus, E.; Alsoy Altinkaya, S. A high-performance acid-resistant polyaniline based ultrafiltration membrane: Application in the production of aluminium sulfate powder from alumina sol. Chem. Eng. J. 2020, 389, 124393. [Google Scholar] [CrossRef]
- Kluczka, J.; Korolewicz, T.; Zołotajkin, M.; Adamek, J. Boron removal from water and wastewater using new polystyrene-based resin grafted with glycidol. Water Resour. Ind. 2015, 11, 46–57. [Google Scholar] [CrossRef]
- Duran, H.; Yavuz, E.; Sismanoglu, T.; Senkal, B.F. Functionalization of gum arabic including glycoprotein and polysaccharides for the removal of boron. Carbohydr. Polym. 2019, 225, 115139. [Google Scholar] [CrossRef]
- Ramezanzadeh, M.; Tati, A.; Bahlakeh, G.; Ramezanzadeh, B. Construction of an epoxy composite coating with exceptional thermo-mechanical properties using Zr-based NH2-UiO-66 metal-organic framework (MOF): Experimental and DFT-D theoretical explorations. Chem. Eng. J. 2021, 408, 127366. [Google Scholar] [CrossRef]
- Luo, Q.; Zeng, M.; Wang, X.; Huang, H.; Wang, X.; Liu, N.; Huang, X. Glycidol-functionalized macroporous polymer for boron removal from aqueous solution. React. Funct. Polym. 2020, 150, 104543. [Google Scholar] [CrossRef]
- Fryauf, K.; Strehmel, V.; Fedtke, M. Curing of glycidyl ethers with aromatic amines: Model studies on the effects of tertiary amines as accelerators. Polymer 1993, 34, 323–327. [Google Scholar] [CrossRef]
- Zhou, S.-X.; Tao, X.-Y.; Ma, J.; Qu, C.-H.; Zhou, Y.; Guo, L.-T.; Feng, P.-Z.; Zhu, Y.-B.; Wei, X.-Y. Facile synthesis of self-assembled polyaniline nanorods doped with sulphuric acid for high-performance supercapacitors. Vacuum 2017, 143, 63–70. [Google Scholar] [CrossRef]
- Zhang, W.L.; Piao, S.H.; Choi, H.J. Facile and fast synthesis of polyaniline-coated poly(glycidyl methacrylate) core-shell microspheres and their electro-responsive characteristics. J. Colloid Interface Sci. 2013, 402, 100–106. [Google Scholar] [CrossRef] [PubMed]
- Guo, R.; Wang, J.; Wang, H.; Fei, G.; Wang, C.; Sun, L.; Wallace, G.G. Engineering the poly(vinyl alcohol)-polyaniline colloids for high-performance waterborne alkyd anticorrosion coating. Appl. Surf. Sci. 2019, 481, 960–971. [Google Scholar] [CrossRef]
- Silva, V.A.J.; Andrade, P.L.; Silva, M.P.C.; Bustamante, D.A.; De Los Santos Valladares, L.; Albino Aguiar, J. Synthesis and characterization of Fe3O4 nanoparticles coated with fucan polysaccharides. J. Magn. Magn. Mater. 2013, 343, 138–143. [Google Scholar] [CrossRef]
- Narayanasamy, S.; Jayaprakash, J. Carbon cloth/nickel cobaltite (NiCo2O4)/polyaniline (PANI) composite electrodes: Preparation, characterization, and application in microbial fuel cells. Fuel 2021, 301, 121016. [Google Scholar] [CrossRef]
- Xie, L.; Ren, Z.; Zhu, P.; Xu, J.; Luo, D.; Lin, J. A novel CeO2–TiO2/PANI/NiFe2O4 magnetic photocatalyst: Preparation, characterization and photodegradation of tetracycline hydrochloride under visible light. J. Solid State Chem. 2021, 300, 122208. [Google Scholar] [CrossRef]
- Waghmode, B.J.; Patil, S.H.; Jahagirdar, M.M.; Patil, V.S.; Waichal, R.P.; Malkhede, D.D.; Sathaye, S.D.; Patil, K.R. Studies on morphology of polyaniline films formed at liquid–liquid and solid–liquid interfaces at 25 and 50 °C, respectively, and effect of doping. Colloid Polym. Sci. 2014, 292, 1079–1089. [Google Scholar] [CrossRef]
- Gao, J.; Wu, Z.; Chen, L.; Xu, Z.; Gao, W.; Jia, G.; Yao, Y. Synergistic effects of iron ion and PANI in biochar material for the efficient removal of Cr(VI). Mater. Lett. 2019, 240, 147–149. [Google Scholar] [CrossRef]
- Qu, J.; Li, Q.; Luo, C.; Cheng, J.; Hou, X. Characterization of Flake Boron Nitride Prepared from the Low Temperature Combustion Synthesized Precursor and Its Application for Dye Adsorption. Coatings 2018, 8, 214. [Google Scholar] [CrossRef]
- Zafar, Z.A.; Abbas, G.; Silhavik, M.; Knizek, K.; Kaman, O.; Sonia, F.J.; Kumar, P.; Jiricek, P.; Houdková, J.; Frank, O.; et al. Reversible anion intercalation into graphite from aluminum perchlorate “water-in-salt” electrolyte. Electrochim. Acta 2022, 404, 139754. [Google Scholar] [CrossRef]
- Lin, Y.C.; Chen, Y.Y.; Yu, B.Y.; Lin, W.C.; Kuo, C.H.; Shyue, J.J. Sputter-induced chemical transformation in oxoanions by combination of C60+ and Ar+ ion beams analyzed with X-ray photoelectron spectrometry. Analyst 2009, 134, 945–951. [Google Scholar] [CrossRef]
- Shcherban, N.; Filonenko, S.; Yaremov, P.; Dyadyun, V.; Bezverkhyy, I.; Ilyin, V. Boron-doped nanoporous carbons as promising materials for supercapacitors and hydrogen storage. J. Mater. Sci. 2016, 52, 1523–1533. [Google Scholar] [CrossRef]
- Afolabi, H.K.; Nasef, M.M.; Nordin, N.A.H.M.; Ting, T.M.; Harun, N.Y.; Saeed, A.A.H. Isotherms, kinetics, and thermodynamics of boron adsorption on fibrous polymeric chelator containing glycidol moiety optimized with response surface method. Arabian J. Chem. 2021, 14, 103453. [Google Scholar] [CrossRef]
- Meng, F.; Ma, W.; Wu, L.; Hao, H.; Xin, L.; Chen, Z.; Wang, M. Selective and efficient adsorption of boron (III) from water by 3D porous CQDs/LDHs with oxygen-rich functional groups. J. Taiwan Inst. Chem. Eng. 2018, 83, 192–203. [Google Scholar] [CrossRef]
- Morisada, S.; Rin, T.; Ogata, T.; Kim, Y.H.; Nakano, Y. Adsorption removal of boron in aqueous solutions by amine-modified tannin gel. Water Res. 2011, 45, 4028–4034. [Google Scholar] [CrossRef]
- Jeppu, G.P.; Clement, T.P. A modified Langmuir-Freundlich isotherm model for simulating pH-dependent adsorption effects. J. Contam. Hydrol. 2012, 129–130, 46–53. [Google Scholar] [CrossRef]
- Rajahmundry, G.K.; Garlapati, C.; Kumar, P.S.; Alwi, R.S.; Vo, D.N. Statistical analysis of adsorption isotherm models and its appropriate selection. Chemosphere 2021, 276, 130176. [Google Scholar] [CrossRef]








| Source | SS | df | MS | F-Value | p-Value | |
|---|---|---|---|---|---|---|
| Modle | 0.0024 | 9 | 0.0003 | 6799.12 | <0.0001 | significant |
| A-time | 0.0017 | 1 | 0.0017 | 43,074.49 | <0.0001 | |
| B-C | 0.0000 | 1 | 0.0000 | 490.77 | <0.0001 | |
| C-pH | 0.0000 | 1 | 0.0000 | 936.66 | <0.0001 | |
| AB | 1.690 × 10−6 | 1 | 1.690 × 10−6 | 42.40 | 0.0003 | |
| AC | 2.560 × 10−6 | 1 | 2.560 × 10−6 | 64.22 | <0.0001 | |
| BC | 8.930 × 10−7 | 1 | 8.930 × 10−7 | 22.40 | 0.0021 | |
| A2 | 0.0000 | 1 | 0.0000 | 1123.46 | <0.0001 | |
| B2 | 0.0002 | 1 | 0.0002 | 6244.57 | <0.0001 | |
| C2 | 0.0003 | 1 | 0.0003 | 7701.58 | <0.0001 | |
| Residual | 2.790 × 10−7 | 7 | 3.986 × 10−8 | |||
| Lack of Fit | 1.790 × 10−7 | 3 | 5.967 × 10−8 | 2.39 | 0.2098 | not significant |
| Pure Error | 1.000 × 10−7 | 4 | 2.500 × 10−8 | |||
| Cor Total | 0.0024 | 16 | ||||
| C.V.% = 9.63% | R2 = 99.99% | Adjust R2 = 99.97% | Predicted R2 = 99.88% |
| Adsorbent | T (°C) | C0 (mg/L) | pH | qmax (mmol/g) | References |
|---|---|---|---|---|---|
| PE/PP-g-PVAm-G | 78.9 | 171.6 | 7 | 0.415 | [32] |
| CQDs/LDHs | 45 | 143 | 8.5 | 0.315 | [33] |
| ATG | 30 | 915 | 8.8 | 0.11 | [34] |
| Amberlite IRA743 | 25 | 28.6 | 8 | 0.087 | [1] |
| PANI-OH | 25 | 1307 | 9.82 | 0.2281 | This works |
| Models and Parameters | Langmuir | Freundlich | ||||
|---|---|---|---|---|---|---|
| KL | Qm | R2 | KF | n | R2 | |
| value | 0.00118 | 0.35682 | 0.99376 | 0.00415 | 1.80849 | 0.98924 |
Disclaimer/Publisher’s Note: The statements, opinions and data contained in all publications are solely those of the individual author(s) and contributor(s) and not of MDPI and/or the editor(s). MDPI and/or the editor(s) disclaim responsibility for any injury to people or property resulting from any ideas, methods, instructions or products referred to in the content. |
© 2023 by the authors. Licensee MDPI, Basel, Switzerland. This article is an open access article distributed under the terms and conditions of the Creative Commons Attribution (CC BY) license (https://creativecommons.org/licenses/by/4.0/).
Share and Cite
Le, Y.; Guan, Y.; Ma, X.; Zhang, W. Preparation and Boron Removal Performance of Glycidol Modified PANI Nanorods: An Optimization Study Based on Response Surface Methodology. Polymers 2023, 15, 459. https://doi.org/10.3390/polym15020459
Le Y, Guan Y, Ma X, Zhang W. Preparation and Boron Removal Performance of Glycidol Modified PANI Nanorods: An Optimization Study Based on Response Surface Methodology. Polymers. 2023; 15(2):459. https://doi.org/10.3390/polym15020459
Chicago/Turabian StyleLe, Yunlong, Yunshan Guan, Xiaoying Ma, and Weidong Zhang. 2023. "Preparation and Boron Removal Performance of Glycidol Modified PANI Nanorods: An Optimization Study Based on Response Surface Methodology" Polymers 15, no. 2: 459. https://doi.org/10.3390/polym15020459
APA StyleLe, Y., Guan, Y., Ma, X., & Zhang, W. (2023). Preparation and Boron Removal Performance of Glycidol Modified PANI Nanorods: An Optimization Study Based on Response Surface Methodology. Polymers, 15(2), 459. https://doi.org/10.3390/polym15020459

