Synthesis of Multifunctional Oligomethylsilsesquioxanes by Catalyst-Free Hydrolytic Polycondensation of Methyltrimethoxysilane under Microwave Radiation
Abstract
1. Introduction
2. Materials and Methods
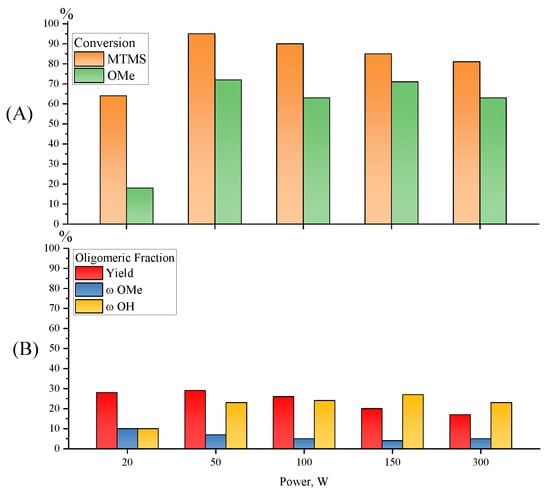
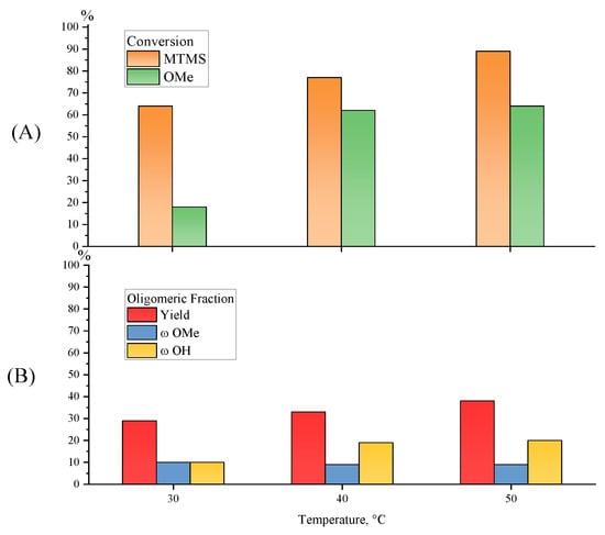
3. Results and Discussion
4. Conclusions
Author Contributions
Funding
Data Availability Statement
Conflicts of Interest
References
- Khananashvili, L.M.; Andrianov, K.A. Tekhnologiya Elementorganicheskikh Monomerov i Polimerov (Technology of Organometallic Monomers and Polymers); Khimiya: Moscow, Russia, 1983. [Google Scholar]
- Baney, R.H.; Iton, M.; Sakakabara, A.; Suzuki, T. Silsesquioxanes. Chem. Rev. 1995, 95, 1409–1430. [Google Scholar] [CrossRef]
- Egorova, E.V.; Vasilenko, N.G.; Demchenko, N.V.; Tatarinova, E.A.; Muzafarov, A.M. Polycondensation in an active medium—universal method for producing polyorganosiloxanes. Dokl. Chem. (Engl. Transl.) 2009, 424, 15–19. [Google Scholar] [CrossRef]
- Meshkov, I.B.; Kalinina, A.A.; Kazakova, V.V.; Demchenko, A.I. Densely Cross-Linked Polysilixant Nanogeis. INEOS OPEN 2020, 3, 118–132. [Google Scholar] [CrossRef]
- Grotex Ltd. Polymethylsiloxane Adsorbent Polyhydrate and Method for Its Production. RU Patent 2761627 C1, 1 December 2020. [Google Scholar]
- Muzafarov, A.M. Efficient Methods for Preparing Silicon Compounds; Roesky, H.W., Ed.; Academic Press: London, UK, 2016; pp. 179–181. [Google Scholar]
- Kumar, V.; Alam, M.N.; Manikkavel, A.; Song, M.; Lee, D.J.; Park, S.S. Silicone Rubber Composites Reinforced by Carbon Nanofillers and Their Hybrids for Various Applications: A Review. Polymers 2021, 13, 2322. [Google Scholar] [CrossRef] [PubMed]
- Kanamori, K.; Nakanishi, K. Controlled pore formation in organotrialkoxysilane-derived hybrids: From aerogels to hierarchically porous monoliths. Chem. Soc. Rev. 2011, 40, 754–770. [Google Scholar] [CrossRef]
- Laird, M.; Gaveau, P.; Trens, P.; Carcel, C.; Unno, M.; Bartlett, J.R.; Man, M.W.C. Post-synthesis modification of functionalised polyhedral oligomeric silsesquioxanes with encapsulated fluoride—enhancing reactivity of T 8 -F POSS for materials synthesis. New J. Chem. 2021, 45, 4227–4235. [Google Scholar] [CrossRef]
- Tanaka, K.; Chujo, Y. Advanced functional materials based on polyhedral oligomeric silsesquioxane (POSS). J. Mater. Chem. 2012, 22, 1733–1746. [Google Scholar] [CrossRef]
- Liu, S.; Li, C.; Yang, G.; Wang, F.; Nie, J.; Ma, C.; Gao, M. POSS hybrid hydrogels: A brief review of synthesis, properties and applications. Eur. Polym. J. 2021, 143, 110–180. [Google Scholar] [CrossRef]
- Pielichowski, K.; Njuguna, J.; Janowski, D.; Pielichowski, J. Polyhedral Oligomeric Silsesquioxanes (POSS)—Containing Nanohybrid Polymers. Adv. Polym. Sci. 2006, 201, 225–296. [Google Scholar] [CrossRef]
- Liu, H.; Zhu, G.; Zhang, C. Promoted ablation resistance of polydimethylsiloxane via crosslinking with multi-ethoxy POSS. Eng. Mater. Sci. Compos. Part B-Eng. 2020, 190, 107901. [Google Scholar] [CrossRef]
- Obrezkova, M.A.; Kalinina, A.A.; Pavlichenko, I.V.; Vasilenko, N.G.; Mironova, M.V.; Semakov, A.V.; Kulichikhin, V.G.; Buzin, M.I.; Muzafarov, A.M. Comb-Like Polymethylsiloxanes. Synthesis, Structure and Properties. Silicon 2015, 7, 177–189. [Google Scholar] [CrossRef]
- Vysochinskaya, Y.S.; Gorodov, V.V.; Anisimov, A.A.; Boldyrev, K.L.; Buzin, M.I.; Naumkin, A.V.; Maslakov, K.I.; Peregudov, A.S.; Shchegolikhina, O.I.; Muzafarov, A.M. New star-like polydimethylsiloxanes: Synthesis, properties, and application. Russ. Chem. Bull 2017, 66, 10941–11098. [Google Scholar] [CrossRef]
- Migulin, D.; Tatarinova, E.; Meshkov, I.; Cherkaev, G.; Vasilenko, N.; Buzin, M.; Muzafarov, A. Synthesis of the first hyperbranched polyorganoethoxysilsesquioxanes and their chemical transformations to functional core–shell nanogel systems. Polym. Int. 2016, 65, 72–83. [Google Scholar] [CrossRef]
- Shchegolikhina, O.I.; Anisimov, A.A.; Shchemelinina, M.V.; Zhemchugov, P.V.; Goloveshkin, A.S.; Korlukov, A.A.; Kononova, E.G.; Pigaleva, M.A.; Elmanovich, I.V.; Gallimov, M.O.; et al. Synthesis of Macrocyclic Siloxane Polyol in Carbonic Acid. Macroheterocycles 2015, 58, 193–198. [Google Scholar] [CrossRef]
- Anisimov, A.A.; Polshchikova, N.V.; Vysochinskaya, Y.S.; Zader, P.A.; Nikiforova, G.G.; Peregudov, A.S.; Buzin, M.I.; Shchegolikhina, O.I.; Muzafarov, A.M. Condensation of all-cis-tetraphenylcyclotetrasiloxanetetraol in ammonia: New method for preparation of ladder-like polyphenylsilsesquioxanes. Mendeleev. Commun. 2019, 29, 421–423. [Google Scholar] [CrossRef]
- Temnikov, M.N.; Zimovets, S.N.; Vasil’ev, V.G.; Buzin, M.I. Polyphenylsesquioxane Nanogels as Regulators of the Mechanical Properties of Vulcanizates on PDMS. INEOS OPEN 2020, 3, 112–117. [Google Scholar] [CrossRef]
- Brown, J.F., Jr.; Vogt, L.H., Jr.; Katchman, A.; Eustance, J.W.; Kiser, K.M.; Krantz, K.W. Double chain polymers of phenylsilsesquioxane. J. Am. Chem. Soc. 1960, 82, 6194–6195. [Google Scholar] [CrossRef]
- Harreld, J.H.; Su, K.; Katsoulis, D.E.; Suto, M.; Stucky, G.D. Surfactant and pH-Mediated Control over the Molecular Structure of Poly(phenylsilsesquioxane) Resins. Chem. Mater. 2002, 14, 1174–1182. [Google Scholar] [CrossRef]
- Chernyshev, E.A.; Talanov, V.N. Himiya Elementoorganicheskih Monomerov i Polimerov (Chemistry of Organoelement Monomers and Polymers); KolosS: Moscow, Russia, 2011. [Google Scholar]
- Ivanov, P.V.; Mazhorova, N.G. Comparative analysis of phase diagrams of organochlorosilane/organoalkoxysilane—Solvent—Water systems. Russ. Chem. Bull 2020, 69, 1061–1071. [Google Scholar] [CrossRef]
- Ivanov, A.G.; Kopylov, V.M.; Kireev, V.V.; Borisov, R.S.; Fedotova, T.I.; Bilichenko, Y.V. A MALDI mass spectrometry investigation of the compositions of the products of the partial acidolysis of MeSi (OMe)3. Polym. Sci. Ser. 2014, 56, 49–54. [Google Scholar] [CrossRef]
- Issa, A.A.; Luyt, A.S. Kinetics of Alkoxysilanes and Organoalkoxysilanes Polymerization: A Review. Polymers 2019, 11, 537–578. [Google Scholar] [CrossRef] [PubMed]
- Okhapkin, I.M.; Makhaeva, E.E.; Khokhlov, A.R. Water Solutions of Amphiphilic Polymers: Nanostructure Formation and Possibilities for Catalysis. Adv. Polym. Sci. 2006, 195, 177–210. [Google Scholar] [CrossRef]
- Kalinina, A.A.; Kholodkov, D.N.; Meshkov, I.B.; Pigaleva, M.A.; Elmanovich, I.V.; Molodtsova, Y.A.; Gallyamov, M.O.; Muzafarov, A.M. Hydrolytic polycondensation of methyltrialkoxysilanes under pressure. Russ. Chem. Bull 2016, 65, 1104–1109. [Google Scholar] [CrossRef]
- Kalinina, A.A.; Zhiltsov, A.S.; Pigaleva, M.A.; Elmanovich, I.V.; Molodtsova, Y.A.; Kotov, V.M.; Muzafarov, A.M. Non-catalytic hydrolytic polycondensation of dialkoxydiorganosilanes under elevated pressure. Russ. Chem. Bull. 2017, 66, 355–361. [Google Scholar] [CrossRef]
- Kalinina, A.A.; Elmanovich, I.V.; Temnikov, M.N.; Pigaleva, M.A.; Zhiltsov, A.S.; Gallyamov, M.O.; Muzafarov, A.M. Hydrolytic polycondensation of diethoxydimethylsilane in carbonic acid. RSC Adv. 2014, 5, 5664–5666. [Google Scholar] [CrossRef]
- Kalinina, A.A.; Pryakhina, T.A.; Talalaeva, E.V.; Vasilenko, N.G.; Pigaleva, M.A.; Elmanovich, I.V.; Muzafarov, A.M. Hydrolytic polycondensation of diethoxymethylsilane under pressure. Russ. Chem. Bull. 2022, 71, 1648–1655. [Google Scholar] [CrossRef]
- Yakhontov, N.G.; Gorbatsevich, O.B.; Kalinina, A.A.; Demchenko, N.V.; Kazakova, V.V.; Muzafarov, A.M. Hydrolytic polycondensation of trimethoxymethylsilane under ultrasonic irradiation. Mendeleev Commun. 2020, 30, 336–338. [Google Scholar] [CrossRef]
- Ogawa, T.; Watanabe, J.; Oshima, Y. Catalyst-free synthesis of polyorganosiloxanes by high temperature and pressure water. II. Understanding of the reaction process. J. Polym. Sci. Part A Polym. Chem. 2009, 47, 2656–2663. [Google Scholar] [CrossRef]
- A.N. Nesmeyanov Institute of Organoelement Compounds of the Russian Academy of Sciences. Method for Obtaining Soluble Polymethylsilsesquioxanes. RU Patent 2615507 C1, 11 December 2015. [Google Scholar]
- Stojanovic, A.; Comesaña, S.P.; Rentsch, D.; Koebel, M.M.; Malfait, W.J. Ambient pressure drying of silica aerogels after hydrophobization with mono-, di-and tri-functional silanes and mixtures thereof. Microporous Mesoporous Mater. 2019, 284, 289–295. [Google Scholar] [CrossRef]
- Irfan, M.H. Silicones in the construction industry. In Chemistry and Technology of Thermosetting Polymers in Construction Applications; Springer: Dordrecht, The Netherlands, 1998; pp. 170–202. [Google Scholar]
- Lee, L.H.; Chen, W.C.; Liu, W.C. Structural control of oligomeric methyl silsesquioxane precursors and their thin-film properties. J. Polym. Sci. Part A Polym. Chem. 2002, 40, 1560–1571. [Google Scholar] [CrossRef]
- Iwamura, T.; Adachi, K.; Chujo, Y. Simple and Rapid Eco-friendly Synthesis of Cubic Octamethylsilsesquioxane Using Microwave Irradiation. Chem. Lett. 2010, 39, 354–355. [Google Scholar] [CrossRef]
- Lovingood, D.D.; Owens, J.R.; Seeber, M.; Kornev, K.G.; Luzinovm, I. Preparation of Silica Nanoparticles Through Microwave-assisted Acid-catalysis. J. Vis. Exp. 2013, 82, e51022. [Google Scholar] [CrossRef] [PubMed]
- De Conto, J.F.; Oliveira, M.R.; Oliveira, M.M.; Brandão, T.G.; Campos, K.V.; Santana, C.C.; Egues, S.M. One-pot synthesis and modification of silica nanoparticles with 3-chloropropyltrimethoxysilane assisted by microwave irradiation. Chem. Eng. Commun. 2018, 205, 533–537. [Google Scholar] [CrossRef]
- Lee, A.W.H.; Gates, D.B. Rapid Covalent Modification of Silicon Oxide Surfaces through Microwave-Assisted Reactions with Alcohols. Langmuir 2016, 32, 7284–7293. [Google Scholar] [CrossRef]
- Armaredo, L.F.; Perkin, D.D. Purification of Laboratory Chemicals, 4th ed.; Butterworth Heinemann: Oxford, UK, 1999. [Google Scholar]














| Sample | Reaction Conditions | Product Characteristics | |||||||||
|---|---|---|---|---|---|---|---|---|---|---|---|
| Reagent Ratio MTMS/H2O, mol/mol | T, °C | Power, W | t, min | MTMS Conversion, % | OMe-Group Conversion, % | Oligomeric Fraction | |||||
| Yield, % | Mp (GPC) | [MeSiO1.5]/[OMe]/[OH] (1H NMR Data) | Content of Groups (wt.%) | ||||||||
| OMe | OH | ||||||||||
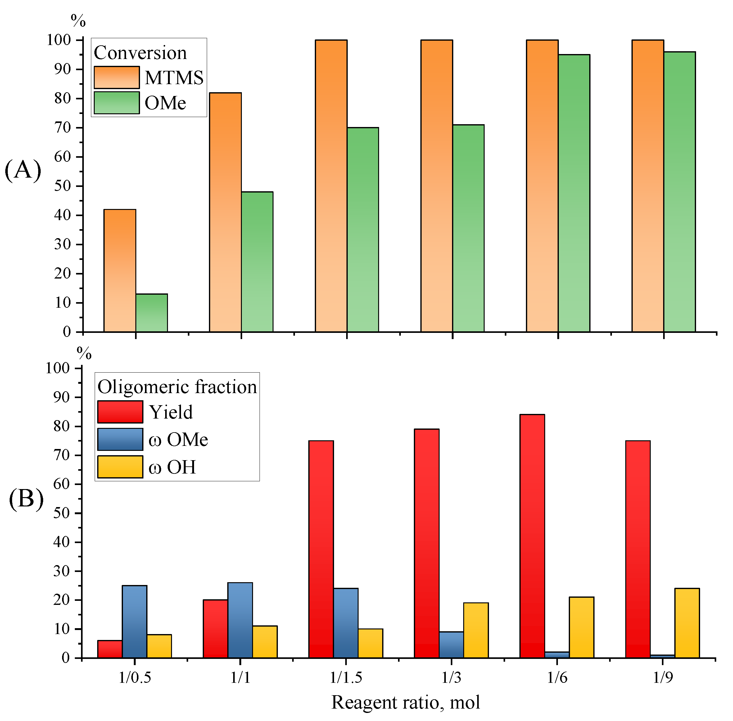
| 1 | 1/0.5 | 30 | 20 | 90 | 42 | 13 | 6 | 400 | 1/0.69/0.44 | 25 | 8 |
| 2 | 1/1 | 30 | 20 | 90 | 82 | 48 | 20 | 600 | 1/0.77/0.60 | 26 | 11 |
| 3 | 1/1.5 | 30 | 20 | 90 | 100 | 70 | 75 | 850 | 1/0.68/0.52 | 24 | 10 |
| 4 | 1/3 | 30 | 20 | 90 | 100 | 81 | 79 | 900 | 1/0.23/1.00 | 9 | 19 |
| 5 | 1/6 | 30 | 20 | 90 | 100 | 95 | 84 | 950 | 1/0.06/1.06 | 2 | 21 |
| 6 | 1/9 | 30 | 20 | 90 | 100 | 96 | 75 | 1015 | 1/0.03/1.24 | 1 | 24 |
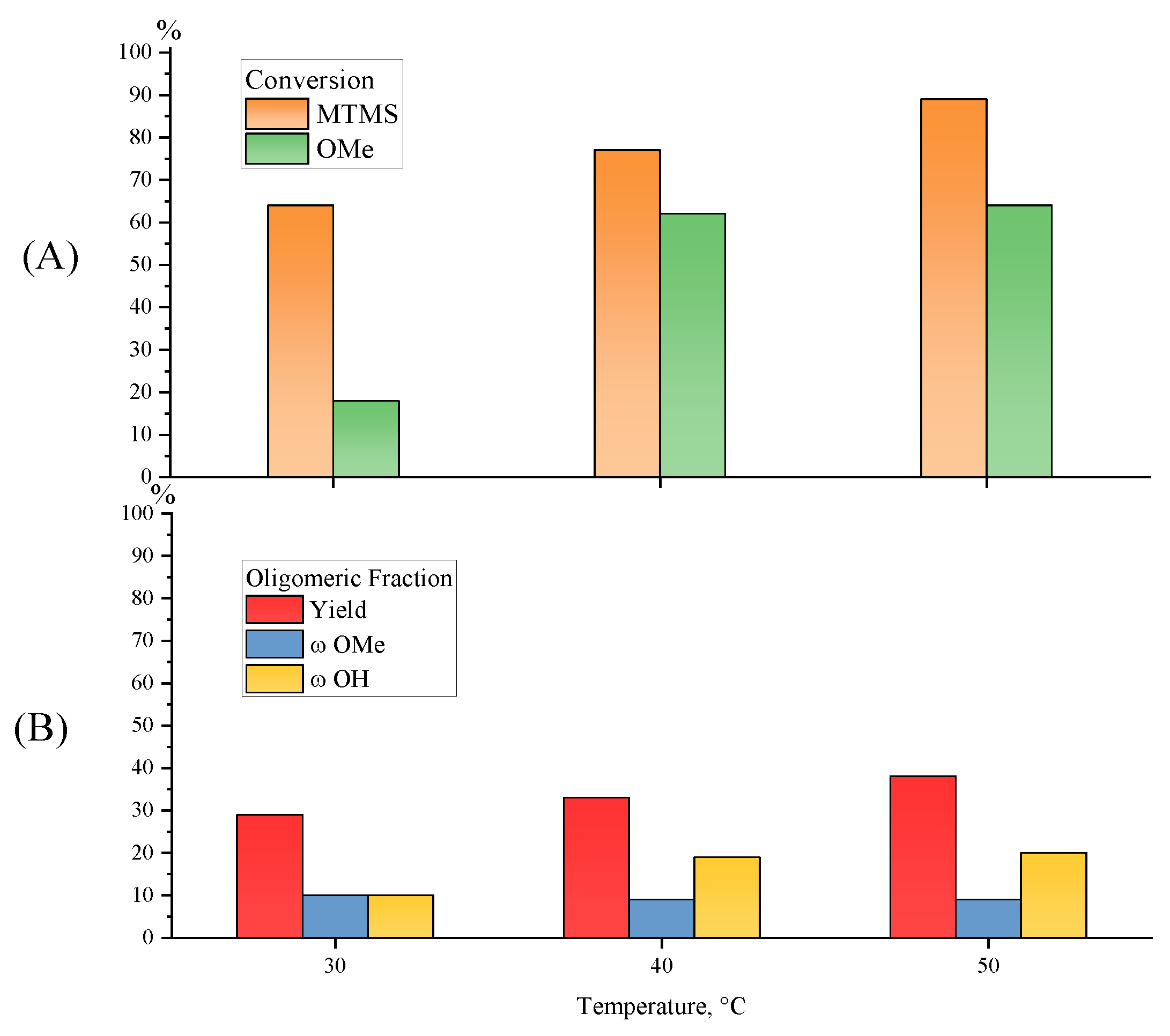
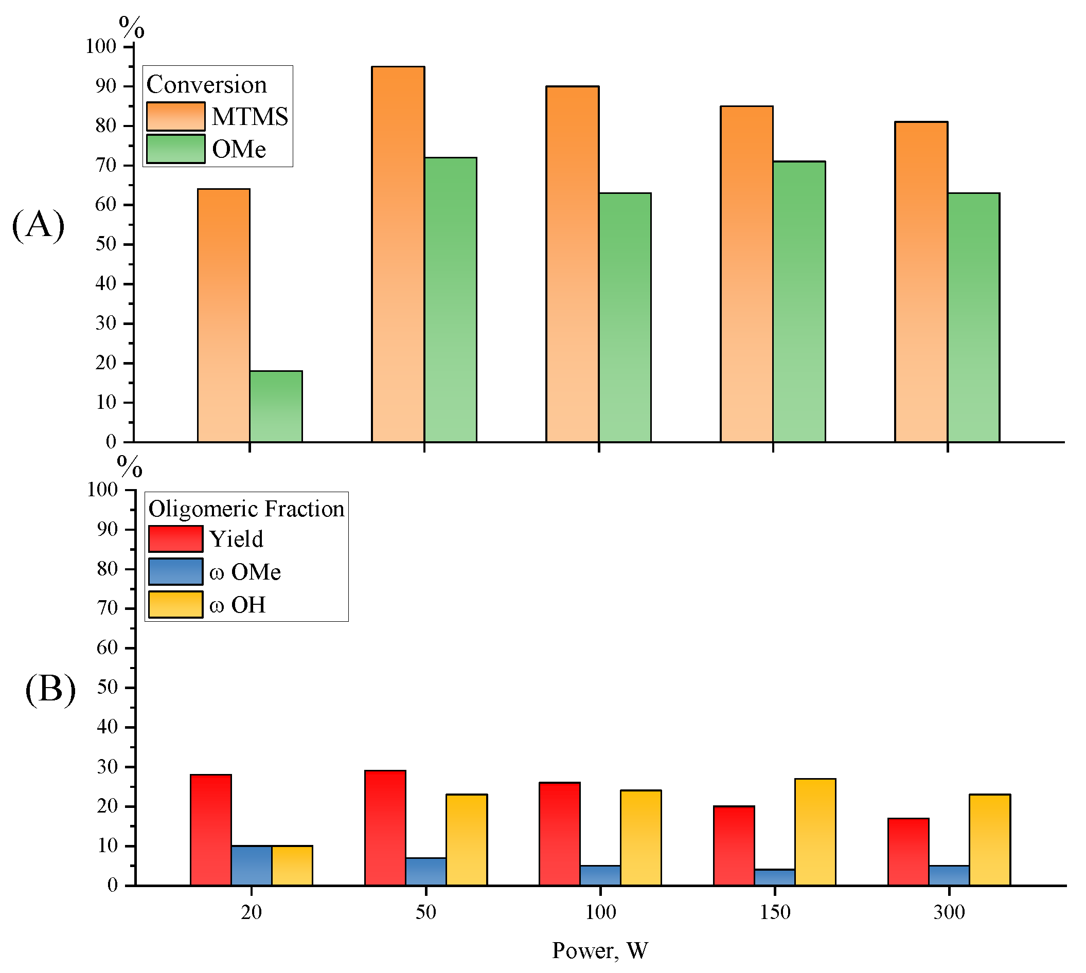
| 7 | 1/1.5 | 30 | 20 | 5 | 64 | 18 | 29 | 600 | 1/0.25/0.47 | 10 | 10 |
| 8 | 1/1.5 | 30 | 20 | 15 | 80 | 54 | 27 | 600 | 1/0,17/1,38 | 6 | 25 |
| 9 | 1/1.5 | 30 | 20 | 30 | 93 | 52 | 30 | 700 | 1/0.29/1.08 | 11 | 20 |
| 10 | 1/1.5 | 30 | 20 | 60 | 98 | 69 | 67 | 800 | 1/0.74/0.65 | 26 | 12 |
| 11 | 1/3 | 30 | 20 | 2.5 | 44 | 10 | 32 | 900 | 1/0.94/0.83 | 30 | 14 |
| 12 | 1/3 | 30 | 20 | 5 | 96 | 76 | 48 | 940 | 1/0.13/1.21 | 5 | 23 |
| 13 | 1/3 | 30 | 20 | 15 | 97 | 78 | 68 | 915 | 1/0.16/1.09 | 6 | 21 |
| 14 | 1/3 | 30 | 20 | 30 | 98 | 75 | 74 | 930 | 1/0.23/1.40 | 8 | 25 |
| 15 | 1/3 | 30 | 20 | 60 | 100 | 81 | 77 | 920 | 1/0.24/1.27 | 9 | 23 |
| 16 | 1/1.5 | 40 | 20 | 5 | 77 | 62 | 23 | 915 | 1/0.24/1.07 | 9 | 20 |
| 17 | 1/1.5 | 50 | 20 | 5 | 89 | 64 | 38 | 860 | 1/0.23/1.00 | 9 | 19 |
| 18 | 1/1.5 | 30 | 50 | 5 | 95 | 72 | 29 | 870 | 1/0.18/1.25 | 7 | 23 |
| 19 | 1/1.5 | 30 | 100 | 5 | 90 | 63 | 26 | 890 | 1/0.14/1.33 | 5 | 24 |
| 20 | 1/1.5 | 30 | 150 | 5 | 85 | 71 | 21 | 900 | 1/0.10/1.54 | 4 | 27 |
| 21 | 1/1.5 | 30 | 300 | 5 | 81 | 63 | 17 | 975 | 1/0.13/1.21 | 5 | 23 |
Disclaimer/Publisher’s Note: The statements, opinions and data contained in all publications are solely those of the individual author(s) and contributor(s) and not of MDPI and/or the editor(s). MDPI and/or the editor(s) disclaim responsibility for any injury to people or property resulting from any ideas, methods, instructions or products referred to in the content. |
© 2023 by the authors. Licensee MDPI, Basel, Switzerland. This article is an open access article distributed under the terms and conditions of the Creative Commons Attribution (CC BY) license (https://creativecommons.org/licenses/by/4.0/).
Share and Cite
Kalinina, A.A.; Gorbatsevich, O.B.; Yakhontov, N.G.; Demchenko, N.V.; Vasilenko, N.G.; Kazakova, V.V.; Muzafarov, A.M. Synthesis of Multifunctional Oligomethylsilsesquioxanes by Catalyst-Free Hydrolytic Polycondensation of Methyltrimethoxysilane under Microwave Radiation. Polymers 2023, 15, 291. https://doi.org/10.3390/polym15020291
Kalinina AA, Gorbatsevich OB, Yakhontov NG, Demchenko NV, Vasilenko NG, Kazakova VV, Muzafarov AM. Synthesis of Multifunctional Oligomethylsilsesquioxanes by Catalyst-Free Hydrolytic Polycondensation of Methyltrimethoxysilane under Microwave Radiation. Polymers. 2023; 15(2):291. https://doi.org/10.3390/polym15020291
Chicago/Turabian StyleKalinina, Alexandra A., Olga B. Gorbatsevich, Nikita G. Yakhontov, Nina V. Demchenko, Nataliya G. Vasilenko, Valentina V. Kazakova, and Aziz M. Muzafarov. 2023. "Synthesis of Multifunctional Oligomethylsilsesquioxanes by Catalyst-Free Hydrolytic Polycondensation of Methyltrimethoxysilane under Microwave Radiation" Polymers 15, no. 2: 291. https://doi.org/10.3390/polym15020291
APA StyleKalinina, A. A., Gorbatsevich, O. B., Yakhontov, N. G., Demchenko, N. V., Vasilenko, N. G., Kazakova, V. V., & Muzafarov, A. M. (2023). Synthesis of Multifunctional Oligomethylsilsesquioxanes by Catalyst-Free Hydrolytic Polycondensation of Methyltrimethoxysilane under Microwave Radiation. Polymers, 15(2), 291. https://doi.org/10.3390/polym15020291

