Catalytic Pyrolysis of Polystyrene Waste in Hydrocarbon Medium
Abstract
1. Introduction
2. Materials and Methods
2.1. Materials Characterization
2.2. Polymer Dissolution
2.3. Activity Tests
3. Results and Discussion
3.1. Conversion of Pure LCO and HCO over Y Zeolite
3.2. The Depolymerization of PS in LCO and HCO Medium over Y Zeolite
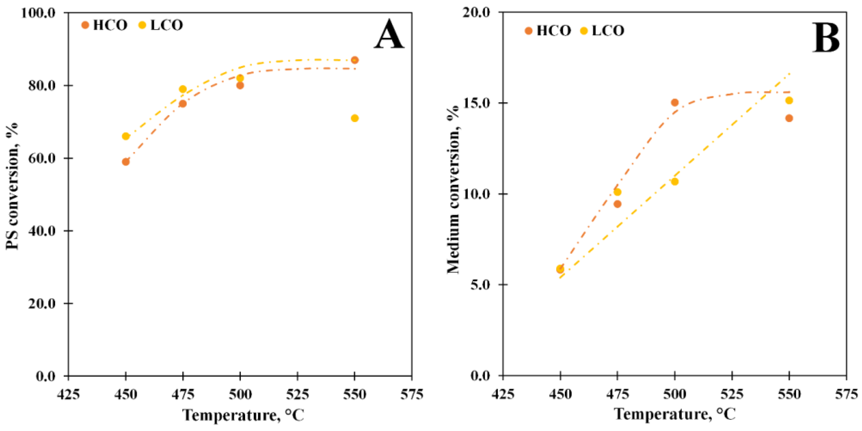
3.3. Effect of Temperature
3.4. Effect of the Vapor Residence Time
3.5. Effect of the PS Concentration
3.6. Proposed Mechanism of Catalyzed Depolymerization
3.7. The Comparing of Zeolite Topology Influence
4. Conclusions
Author Contributions
Funding
Institutional Review Board Statement
Informed Consent Statement
Data Availability Statement
Acknowledgments
Conflicts of Interest
References
- Statista. Annual Production of Plastics Worldwide from 1950 to 2021. Available online: https://www.statista.com/statistics/282732/global-production-of-plastics-since-1950/ (accessed on 23 December 2022).
- Letcher, T.M. Plastic Waste and Recycling: Environmental Impact, Societal Issues, Prevention, and Solutions; Elsevier Science: London, UK, 2020; p. 686. [Google Scholar]
- Novikova, I.V.; Hamse, L. Organization and management in sectors of national economy. Econ. Manag. 2021, 1, 103–116. [Google Scholar]
- Solis, M.; Silveira, S. Technologies for chemical recycling of household plastics—A technical review and TRL assessment. Waste Manag. 2020, 105, 128–138. [Google Scholar] [CrossRef] [PubMed]
- Wagner, S.; Schlummer, M. Legacy additives in a circular economy of plastics: Current dilemma, policy analysis, and emerging countermeasures. Resour. Conserv. Recycl. 2020, 158, 104800. [Google Scholar] [CrossRef]
- Khaertdinova, A.; Sultanova, D.; Iskhakova, D.; Karimov, A. Recycling of Polymers-An Opportunity or a Threat to the Economy? E3S Web Conf. 2020, 161, 01058. [Google Scholar] [CrossRef]
- Kuzhiyil, N.; Kong, S.-C. Energy Recovery from Waste Plastics by Using Blends of Biodiesel and Polystyrene in Diesel Engines. Energy Fuels 2009, 23, 3246–3253. [Google Scholar] [CrossRef]
- Qureshi, M.S.; Oasmaa, A.; Pihkola, H.; Deviatkin, I.; Tenhunen, A.; Mannila, J.; Minkkinen, H.; Pohjakallio, M.; Laine-Ylijoki, J. Pyrolysis of plastic waste: Opportunities and challenges. J. Anal. Appl. Pyrolysis 2020, 152, 104804. [Google Scholar] [CrossRef]
- Nkwachukwu, O.I.; Chima, C.H.; Ikenna, A.O.; Albert, L. Focus on potential environmental issues on plastic world towards a sustainable plastic recycling in developing countries. Int. J. Ind. Chem. 2013, 4, 34. [Google Scholar] [CrossRef]
- Huang, D.-Y.; Zhou, S.; Hong, W.-L.; Feng, W.; Tao, L. Pollution characteristics of volatile organic compounds, polycyclic aromatic hydrocarbons and phthalate esters emitted from plastic wastes recycling granulation plants in Xingtan Town, South China. Atmos. Environ. 2013, 71, 327–334. [Google Scholar] [CrossRef]
- Almeida, D.; de Fátima Marques, M. Thermal and Catalytic Pyrolysis of Polyethylene Plastic Waste. Polímeros 2015, 26, 44–51. [Google Scholar] [CrossRef]
- Miskolczi, N.; Bartha, L.; Deák, G. Thermal degradation of polyethylene and polystyrene from the packaging industry over different catalysts into fuel-like feed stocks. Polym. Degrad. Stab. 2006, 91, 517–526. [Google Scholar] [CrossRef]
- Artetxe, M.; Lopez, G.; Amutio, M.; Barbarias, I.; Arregi, A.; Aguado, R.; Bilbao, J.; Olazar, M. Styrene recovery from polystyrene by flash pyrolysis in a conical spouted bed reactor. Waste Manag. 2015, 45, 126–133. [Google Scholar] [CrossRef] [PubMed]
- Kasar, P.; Sharma, D.K.; Ahmaruzzaman, M. Thermal and catalytic decomposition of waste plastics and its co-processing with petroleum residue through pyrolysis process. J. Clean. Prod. 2020, 265, 121639. [Google Scholar] [CrossRef]
- Undri, A.; Frediani, M.; Luca, R.; Frediani, P. Reverse polymerization of waste polystyrene through microwave assisted pyrolysis. J. Anal. Appl. Pyrolysis 2014, 105, 35–42. [Google Scholar] [CrossRef]
- Bartoli, M.; Rosi, L.; Frediani, M.; Undri, A.; Frediani, P. Depolymerization of polystyrene at reduced pressure through a microwave assisted pyrolysis. J. Anal. Appl. Pyrolysis 2015, 113, 281–287. [Google Scholar] [CrossRef]
- Zhang, L.; Bao, Z.; Xia, S.; Lu, Q.; Walters, K.B. Catalytic Pyrolysis of Biomass and Polymer Wastes. Catalysts 2018, 8, 659. [Google Scholar] [CrossRef]
- Budsaereechai, S.; Hunt, A.J.; Ngernyen, Y. Catalytic pyrolysis of plastic waste for the production of liquid fuels for engines. RSC Adv. 2019, 9, 5844–5857. [Google Scholar] [CrossRef] [PubMed]
- Kassargy, C.; Awad, S.; Burnens, G.; Kahine, K.; Tazerout, M. Experimental study of catalytic pyrolysis of polyethylene and polypropylene over USY zeolite and separation to gasoline and diesel-like fuels. J. Anal. Appl. Pyrolysis 2017, 127, 31–37. [Google Scholar] [CrossRef]
- Ragaert, K.; Delva, L.; Van Geem, K. Mechanical and chemical recycling of solid plastic waste. Waste Manag. 2017, 69, 24–58. [Google Scholar] [CrossRef]
- Lee, T.; Jung, S.; Park, Y.-K.; Kim, T.; Wang, H.; Moon, D.H.; Kwon, E.E. Catalytic Pyrolysis of Polystyrene over Steel Slag under CO2 Environment. J. Hazard. Mater. 2020, 395, 122576. [Google Scholar] [CrossRef]
- Maafa, I.M. Pyrolysis of Polystyrene Waste: A Review. Polymers 2021, 13, 225. [Google Scholar] [CrossRef]
- Moqadam, S.I.; Mirdrikvand, M.; Roozbehani, B.; Kharaghani, A.; Shishehsaz, M.R. Polystyrene pyrolysis using silica-alumina catalyst in fluidized bed reactor. Clean Technol. Environ. Policy 2015, 17, 1847–1860. [Google Scholar] [CrossRef]
- Rehan, M.; Miandad, R.; Barakat, M.; Ismail, I.M.I.; Almeelbi, T.; Gardy, J.; Hassanpour, A.; Khan, M.Z.; Demirbaş, A.; Nizami, A.S. Effect of zeolite catalysts on pyrolysis liquid oil. Int. Biodeterior. Biodegrad. 2017, 119, 162–175. [Google Scholar] [CrossRef]
- Ahmad, N.; Ahmad, N.; Maafa, I.M.; Ahmed, U.; Akhter, P.; Shehzad, N.; Amjad, U.-e.-S.; Hussain, M. Thermal conversion of polystyrene plastic waste to liquid fuel via ethanolysis. Fuel 2020, 279, 118498. [Google Scholar] [CrossRef]
- Juwono, H.; Trisunaryanti, W.; Efiyanti, L.; Bahri, S.I.; Amri, K.; Assari, A.; Suprapto, S.; Nimah, Y.L. Conversion of polystyrene plastic waste and used palm oil co-reactant into liquid fuel using AL-MCM-41/ceramics catalyst. Rasayan J. Chem. 2021, 14, 1049–1056. [Google Scholar] [CrossRef]
- Adnan; Shah, J.; Jan, M.R. Effect of polyethylene terephthalate on the catalytic pyrolysis of polystyrene: Investigation of the liquid products. J. Taiwan Inst. Chem. Eng. 2015, 51, 96–102. [Google Scholar] [CrossRef]
- Ma, C.; Yu, J.; Wang, B.; Song, Z.; Xiang, J.; Hu, S.; Su, S.; Sun, L. Catalytic pyrolysis of flame retarded high impact polystyrene over various solid acid catalysts. Fuel Process. Technol. 2017, 155, 32–41. [Google Scholar] [CrossRef]
- Aljabri, N.M.; Lai, Z.; Hadjichristidis, N.; Huang, K.-W. Renewable aromatics from the degradation of polystyrene under mild conditions. J. Saudi Chem. Soc. 2017, 21, 983–989. [Google Scholar] [CrossRef]
- Sun, K.; Huang, Q.; Chi, Y.; Yan, J. Effect of ZnCl2-activated biochar on catalytic pyrolysis of mixed waste plastics for producing aromatic-enriched oil. Waste Manag. 2018, 81, 128–137. [Google Scholar] [CrossRef]
- Sebestyén, Z.; Barta-Rajnai, E.; Bozi, J.; Blazsó, M.; Jakab, E.; Miskolczi, N.; Sója, J.; Czégény, Z. Thermo-catalytic pyrolysis of biomass and plastic mixtures using HZSM-5. Appl. Energy 2017, 207, 114–122. [Google Scholar] [CrossRef]
- Al-Salem, S.M.; Antelava, A.; Constantinou, A.; Manos, G.; Dutta, A. A review on thermal and catalytic pyrolysis of plastic solid waste (PSW). J. Environ. Manag. 2017, 197, 177–198. [Google Scholar] [CrossRef]
- Silva, A.O.S.; Souza, M.J.B.; Pedrosa, A.M.G.; Coriolano, A.C.F.; Fernandes, V.J., Jr.; Araujo, A.S. Development of HZSM-12 zeolite for catalytic degradation of high-density polyethylene. Microporous Mesoporous Mater. 2017, 244, 1–6. [Google Scholar] [CrossRef]
- Zeaiter, J. A process study on the pyrolysis of waste polyethylene. Fuel 2014, 133, 276–282. [Google Scholar] [CrossRef]
- Passamonti, F.J.; Sedran, U. Recycling of waste plastics into fuels. LDPE conversion in FCC. Appl. Catal. B Environ. 2012, 125, 499–506. [Google Scholar] [CrossRef]
- Fuentes-Ordóñez, E.G.; Salbidegoitia, J.A.; González-Marcos, M.P.; González-Velasco, J.R. Mechanism and kinetics in catalytic hydrocracking of polystyrene in solution. Polym. Degrad. Stab. 2016, 124, 51–59. [Google Scholar] [CrossRef]
- Oh, D.; Lee, H.W.; Kim, Y.-M.; Park, Y.-K. Catalytic pyrolysis of polystyrene and polyethylene terephthalate over Al-MSU-F. Energy Procedia 2018, 144, 111–117. [Google Scholar] [CrossRef]
- Ma, C.; Yu, J.; Yan, Q.; Song, Z.; Wang, K.; Wang, B.; Sun, L. Pyrolysis-catalytic upgrading of brominated high impact polystyrene over Fe and Ni modified catalysts: Influence of HZSM-5 and MCM-41 catalysts. Polym. Degrad. Stab. 2017, 146, 1–12. [Google Scholar] [CrossRef]
- Ali, G.; Nisar, J.; Iqbal, M.; Shah, A.; Abbas, M.; Shah, M.R.; Rashid, U.; Bhatti, I.A.; Khan, R.A.; Shah, F. Thermo-catalytic decomposition of polystyrene waste: Comparative analysis using different kinetic models. Waste Manag. Res. 2019, 38, 202–212. [Google Scholar] [CrossRef]
- Ukei, H.; Hirose, T.; Horikawa, S.; Takai, Y.; Taka, M.; Azuma, N.; Ueno, A. Catalytic degradation of polystyrene into styrene and a design of recyclable polystyrene with dispersed catalysts. Catal. Today 2000, 62, 67–75. [Google Scholar] [CrossRef]
- Dement’ev, K.I.; Palankoev, T.A.; Alekseeva, O.A.; Babkin, I.A.; Maksimov, A.L. Thermal depolymerization of polystyrene in highly aromatic hydrocarbon medium. J. Anal. Appl. Pyrolysis 2019, 142, 104612. [Google Scholar] [CrossRef]
- International Zeolite Association. Database of Zeolite Structures. Available online: https://europe.iza-structure.org/IZA-SC/ftc_table.php (accessed on 28 November 2022).
- Smit, B.; Maesen, T.L.M. Towards a molecular understanding of shape selectivity. Nature 2008, 451, 671–678. [Google Scholar] [CrossRef]
- Bedenko, S.P.; Kozhevnikov, A.A.; Dement’ev, K.I.; Tret’yakov, V.F.; Maksimov, A.L. The Prins condensation between i-butene and formaldehyde over modified BEA and MFI zeolites in liquid phase. Catal. Commun. 2020, 138, 105965. [Google Scholar] [CrossRef]
- Bedenko, S.P.; Dement’ev, K.I.; Tret’yakov, V.F. Deactivation of zeolite catalysts in the prins reaction between propene and formaldehyde in the liquid phase. Catalysts 2021, 11, 1181. [Google Scholar] [CrossRef]
- Dement’ev, K.I.; Palankoev, T.A.; Kuznetsov, P.S.; Abramova, D.S.; Romazanova, D.A.; Makhin, D.Y.; Maksimov, A.L. Effect of Size Factor on the Activity of Zeolites in the Liquid-Phase Cracking of Hydrocarbons. Pet. Chem. 2020, 60, 30–38. [Google Scholar] [CrossRef]
- Kianfar, E. Zeolites: Properties, Applications, Modification and Selectivity. In The Kianfar Reade; Annet, M., Ed.; Nova Science Publishers: New York, NY, USA, 2020; p. 243. [Google Scholar]











| Value | |
|---|---|
| Density, kg/m3 | 1048 |
| Melting point, °C | 180–260 |
| Molecular weight, kg/mol | 278 |
| Dispersity | 2.3 |
| LCO | HCO | |
|---|---|---|
| Density, kg/m3 | 905 | 1006 |
| Molecular weight, g/mol | 178 | 249 |
| Fractional composition, % wt. | ||
| Initial boiling point, °C | 133.9 | 154.2 |
| 10, °C | 217.1 | 297.9 |
| 30, °C | 238.8 | 337.7 |
| 50, °C | 256.6 | 366.8 |
| 70, °C | 280.4 | 398.6 |
| 90, °C | 305.5 | 448.8 |
| 95, °C | 319.4 | 472.1 |
| Final boiling point, °C | 345.7 | 514.9 |
| Group composition, % wt. | ||
| Saturates | 20.6 | 14.1 |
| Monoaromatics | 16.5 | 2.2 |
| Diaromatics | 47.5 | 10.3 |
| Polycyclic aromatics | 11.0 | 65.0 |
| Resins | 4.4 | 5.1 |
| Asphaltenes | 0.0 | 3.3 |
| Hildebrand solubility parameter [41], MPa1/2 | 19.1 | 20.1 |
| Commercial Name | Si/Al | S, cm2/g | |
|---|---|---|---|
| Y | CP814E* | 12.5 | 680 |
| β | CBV712 | 6 | 730 |
| ZSM-5 | CBV3024E | 15 | 405 |
| Component | LCO, % | HCO, % |
|---|---|---|
| H2 | - | 0.1 |
| C1 | 0.4 | 0.5 |
| ΣC2 | 0.5 | 0.6 |
| ΣC3 | 1.0 | 1.4 |
| ΣC4 | 1.9 | 2.3 |
| Benzene | 0.1 | 0.3 |
| Toluene | 1.4 | 1.1 |
| Ethylbenzene | 1.2 | 0.3 |
| Σxylenes | 2.9 | 1.7 |
| Component | Retention Time, min |
|---|---|
| Benzene | 0.93 |
| Toluene | 1.70 |
| Ethylbenzene | 3.40 |
| Xylenes | 3.60–4.00 |
| Styrene | 4.31 |
| α-methylstyrene | 7.48 |
| Naphthalene | 11.04 |
| Methylnaphtalenes | 12.50–13.00 |
| Ethylnaphtalenes | 14.00–15.00 |
| C3-naphtalenes | 15.50–16.50 |
| Methylbiphenyls | 16.55–17.00 |
| Ethylbiphenyls | 17.50–18.00 |
| Phenanthrene | 18.64 |
| Styrene dimer | 18.81 |
| Methylphenanthrenes and methylanthracenes | 19.80–20.10 |
| Ethylphenanthrenes and ethylanthracenes | 20.90–21.30 |
| C3-phenanthrenes and C3-anthracenes | 22.20–22.50 |
| Styrene trimer | 24.40 |
| Component | LCO, % | HCO, % |
|---|---|---|
| Benzene | 21.4 | 15.2 |
| Toluene | 10.6 | 9.3 |
| Ethylbenzene | 54.6 | 72.5 |
| Styrene | traces | - |
| Styrene dimers | traces | - |
| Hydrocarbon | Ethylbenzene | Styrene | ||
|---|---|---|---|---|
| Catalyst | - | Y | - | Y |
| Benzene | 0.1 | 10.8 | 0.1 | 11.4 |
| Toluene | 0.2 | 1.9 | 0.1 | 6.4 |
| Ethylbenzene | 93.2 | 84.8 | 0.1 | 72.1 |
| Styrene | - | - | 95.7 | 6.7 |
| Product | Zeolite | ||
|---|---|---|---|
| Y | β | ZSM-5 | |
| Benzene | 11.2 | 31.2 | 53.3 |
| Toluene | 9.8 | 27.2 | 23.4 |
| Ethylbenzene | 77.8 | 19.7 | 2.7 |
| ΣXylenes | 1.1 | 20.9 | 9.8 |
| ΣC9+ hydrocarbons | 0.1 | 1.0 | 10.8 |
Disclaimer/Publisher’s Note: The statements, opinions and data contained in all publications are solely those of the individual author(s) and contributor(s) and not of MDPI and/or the editor(s). MDPI and/or the editor(s) disclaim responsibility for any injury to people or property resulting from any ideas, methods, instructions or products referred to in the content. |
© 2023 by the authors. Licensee MDPI, Basel, Switzerland. This article is an open access article distributed under the terms and conditions of the Creative Commons Attribution (CC BY) license (https://creativecommons.org/licenses/by/4.0/).
Share and Cite
Dement’ev, K.I.; Bedenko, S.P.; Minina, Y.D.; Mukusheva, A.A.; Alekseeva, O.A.; Palankoev, T.A. Catalytic Pyrolysis of Polystyrene Waste in Hydrocarbon Medium. Polymers 2023, 15, 290. https://doi.org/10.3390/polym15020290
Dement’ev KI, Bedenko SP, Minina YD, Mukusheva AA, Alekseeva OA, Palankoev TA. Catalytic Pyrolysis of Polystyrene Waste in Hydrocarbon Medium. Polymers. 2023; 15(2):290. https://doi.org/10.3390/polym15020290
Chicago/Turabian StyleDement’ev, Konstantin I., Stanislav P. Bedenko, Yulia D. Minina, Aniya A. Mukusheva, Olga A. Alekseeva, and Timur A. Palankoev. 2023. "Catalytic Pyrolysis of Polystyrene Waste in Hydrocarbon Medium" Polymers 15, no. 2: 290. https://doi.org/10.3390/polym15020290
APA StyleDement’ev, K. I., Bedenko, S. P., Minina, Y. D., Mukusheva, A. A., Alekseeva, O. A., & Palankoev, T. A. (2023). Catalytic Pyrolysis of Polystyrene Waste in Hydrocarbon Medium. Polymers, 15(2), 290. https://doi.org/10.3390/polym15020290

