Microcanonical Analysis of Helical Homopolymers: Exploring the Density of States and Structural Characteristics
Abstract
1. Introduction
2. Materials and Methods
2.1. Model
2.2. Two-Dimensional Parallel Tempering
2.3. Multiple Histograph Reweighting
2.4. Two-Dimensional Density of States
3. Results
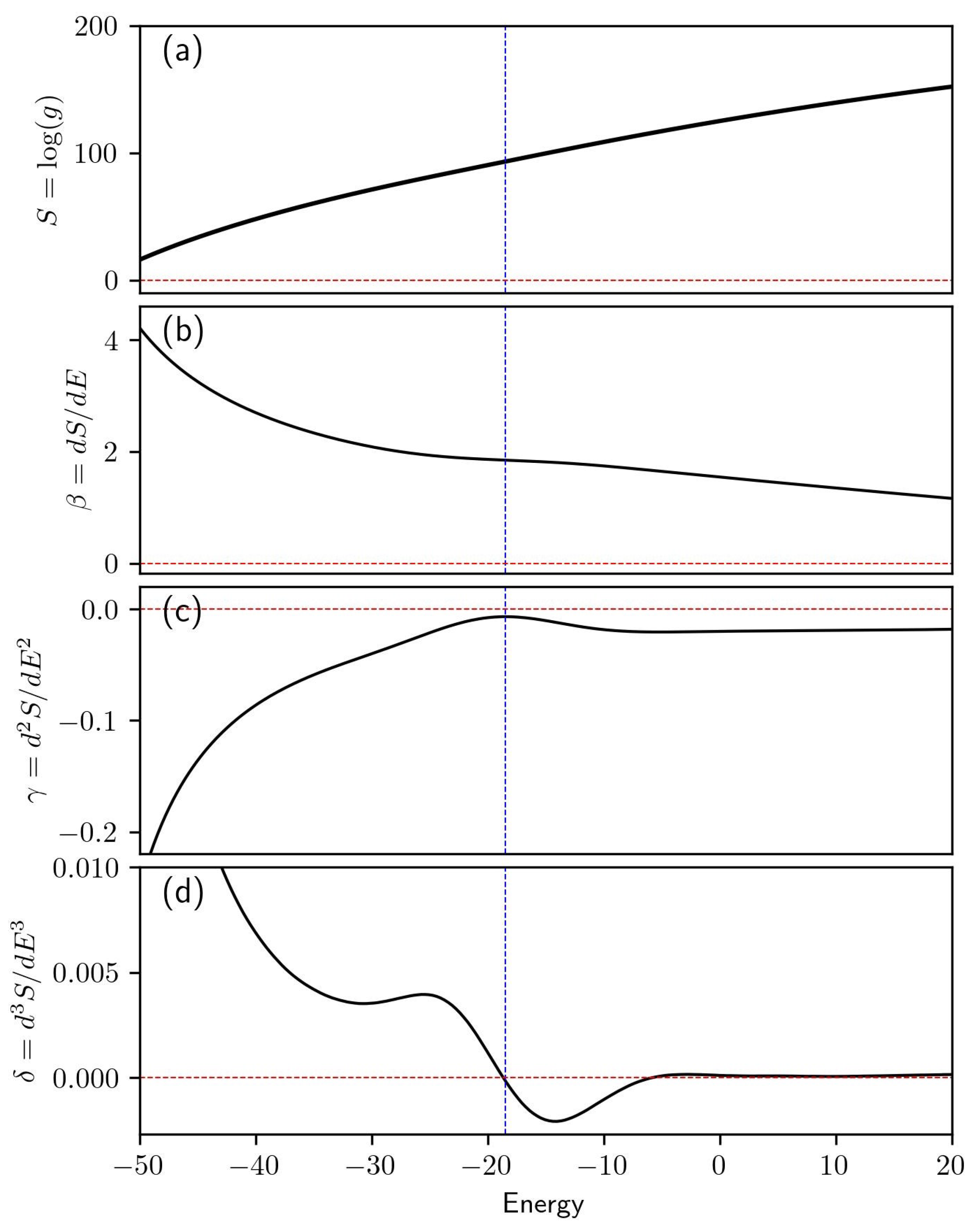
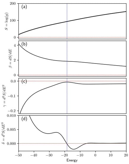
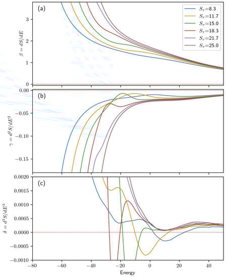
3.1. Microcanonical Results
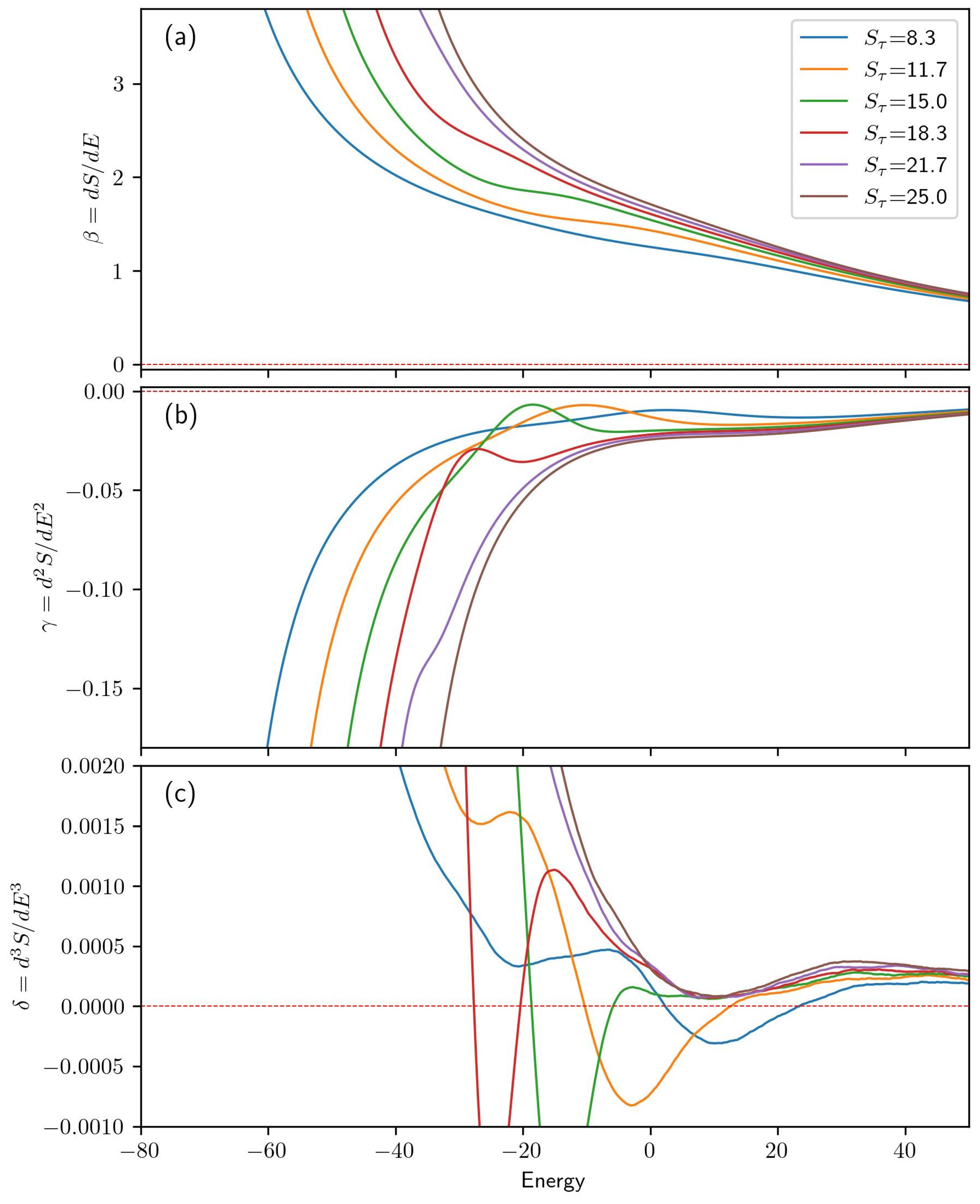
3.1.1. Two-Dimensional Density of States
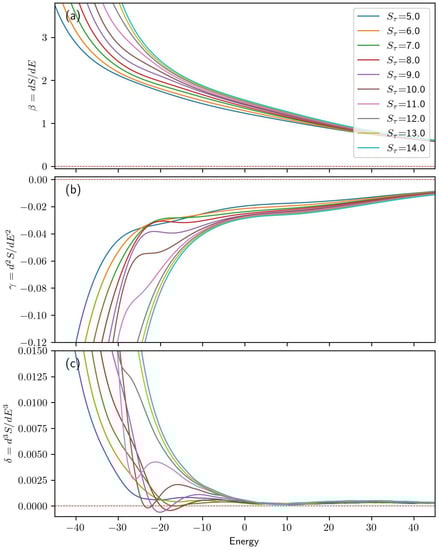
3.2. Alternate System Size
4. Discussion
5. Conclusions
Funding
Data Availability Statement
Conflicts of Interest
References
- Junghans, C.; Bachmann, M.; Janke, W. Microcanonical analyses of peptide aggregation processes. Phys. Rev. Lett. 2006, 97, 218103. [Google Scholar] [CrossRef]
- Schnabel, S.; Seaton, D.T.; Landau, D.P.; Bachmann, M. Microcanonical entropy inflection points: Key to systematic understanding of transitions in finite systems. Phys. Rev. E 2011, 84, 011127. [Google Scholar] [CrossRef] [PubMed]
- Williams, M.J.; Bachmann, M. Significance of bending restraints for the stability of helical polymer conformations. Phys. Rev. E 2016, 93, 062501. [Google Scholar] [CrossRef]
- Sluysmans, D.; Willet, N.; Thevenot, J.; Lecommandoux, S.; Duwez, A. Single-molecule mechanical unfolding experiments reveal a critical length for the formation of alpha-helices in peptides. Nanoscale Horiz. 2020, 5, 671–678. [Google Scholar] [CrossRef]
- Barlow, D.; Thornton, J. Helix geometry in proteins. J. Mol. Biol. 1988, 201, 601–619. [Google Scholar] [CrossRef]
- Hao, B.; Zhou, W.; Theg, S.M. The polar amino acid in the TatA transmembrane helix is not strictly necessary for protein function. J. Biol. Chem. 2023, 229, 102998. [Google Scholar] [CrossRef] [PubMed]
- Song, Z.; Tan, Z.; Zheng, X.; Fu, Z.; Ponnusamy, E.; Cheng, J. Manipulating the helix-coil transition profile of synthetic polypeptides by leveraging side-chain molecular interactions. Polym. Chem. 2020, 11, 1445–1449. [Google Scholar] [CrossRef]
- Phase diagram of flexible polymers with quenched disordered charged monomers. Phys. A: Stat. Mech. Appl. 2022, 604, 127787. [CrossRef]
- Metropolis, N.; Rosenbluth, A.W.; Rosenbluth, M.N.; Teller, A.H.; Teller, E. Equation of State Calculations by Fast Computing Machines. J. Chem. Phys. 2004, 21, 1087–1092. [Google Scholar] [CrossRef]
- Hastings, W.K. Monte Carlo sampling methods using Markov chains and their applications. Biometrika 1970, 57, 97–109. [Google Scholar] [CrossRef]
- Swendsen, R.H.; Wang, J.S. Replica Monte Carlo Simulation of Spin-Glasses. Phys. Rev. Lett. 1986, 57, 2607–2609. [Google Scholar] [CrossRef] [PubMed]
- Katzgraber, H.; Trebst, S.; Huse, D.; Troyer, M. Feedback-optimized parallel tempering Monte Carlo. J. Stat. Mech. Theory Exp. 2006, 2006, P03018. [Google Scholar] [CrossRef]
- Gront, D.; Kolinski, A. Efficient scheme for optimization of parallel tempering Monte Carlo method. J. Phys. Condens. 2007, 19, 036225. [Google Scholar] [CrossRef]
- Aierken, D.; Bachmann, M. Impact of bending stiffness on ground-state conformations for semiflexible polymers. J. Chem. Phys. 2023, 158, 214905. [Google Scholar] [CrossRef] [PubMed]
- Majumder, S.; Marenz, M.; Paul, S.; Janke, W. Knots are Generic Stable Phases in Semiflexible Polymers. Macromolecules 2021, 54, 5321–5334. [Google Scholar] [CrossRef]
- Fukunishi, H.; Watanabe, O.; Takada, S. On the Hamiltonian replica exchange method for efficient sampling of biomolecular systems: Application to protein structure prediction. J. Chem. Phys. 2002, 116, 9058–9067. [Google Scholar] [CrossRef]
- Liao, Q. Enhanced sampling and free energy calculations for protein simulations. In Computational Approaches for Understanding Dynamical Systems: Protein Folding and Assembly; Elsevier: Hoboken, NJ, USA, 2020; Volume 170, pp. 177–213. [Google Scholar]
- Sugita, Y.; Kitao, A.; Okamoto, Y. Multidimensional replica-exchange method for free-energy calculations. J. Chem. Phys. 2000, 113, 6042–6051. [Google Scholar] [CrossRef]
- Williams, M.J.; Bachmann, M. System-Size Dependence of Helix-Bundle Formation for Generic Semiflexible Polymers. Polymers 2016, 8, 245. [Google Scholar] [CrossRef] [PubMed]
- Qi, K.; Bachmann, M. Classification of Phase Transitions by Microcanonical Inflection-Point Analysis. Phys. Rev. Lett. 2018, 120, 180601. [Google Scholar] [CrossRef] [PubMed]
- Qi, K.; Liewehr, B.; Koci, T.; Pattanasiri, B.; Williams, M.J.; Bachmann, M. Influence of bonded interactions on structural phases of flexible polymers. J. Chem. Phys. 2019, 150, 054904. [Google Scholar] [CrossRef]
- Aierken, D.; Bachmann, M. Stable intermediate phase of secondary structures for semiflexible polymers. Phys. Rev. E 2023, 107, L032501. [Google Scholar] [CrossRef]
- Sitarachu, K.; Bachmann, M. Evidence for additional third-order transitions in the two-dimensional Ising model. Phys. Rev. E 2022, 106, 014134. [Google Scholar] [CrossRef]
- Sitarachu, K.; Zia, R.K.P.; Bachmann, M. Exact microcanonical statistical analysis of transition behavior in Ising chains and strips. J. Stat. Mech. Theory Exp. 2020, 2020, 073204. [Google Scholar] [CrossRef]
- Kremer, K.; Grest, G.S. Dynamics of entangled linear polymer melts: A molecular-dynamics simulation. J. Chem. Phys. 1990, 92, 5057–5086. [Google Scholar] [CrossRef]
- Lennard-Jones, J.E. Cohesion. Proc. Phys. Soc. 1931, 43, 461. [Google Scholar] [CrossRef]
- Rapaport, D.C. Molecular dynamics simulation of polymer helix formation using rigid-link methods. Phys. Rev. E 2002, 66, 011906. [Google Scholar] [CrossRef] [PubMed]
- Williams, M.J.; Bachmann, M. Stabilization of Helical Macromolecular Phases by Confined Bending. Phys. Rev. Lett. 2015, 115, 048301. [Google Scholar] [CrossRef] [PubMed]
- Savitzky, A.; Golay, M.J.E. Smoothing and Differentiation of Data by Simplified Least Squares Procedures. Anal. Chem. 1964, 36, 1627–1639. [Google Scholar] [CrossRef]
- Chen, T.; Lin, X.; Liu, Y.; Liang, H. Microcanonical analysis of association of hydrophobic segments in a heteropolymer. Phys. Rev. E 2007, 76, 046110. [Google Scholar] [CrossRef] [PubMed]
- Lauer, C.; Paul, W. Dimerization of Polyglutamine within the PRIME20 Model using Stochastic Approximation Monte Carlo. Macromol. Theory Simul. 2023, 32, 2200075. [Google Scholar] [CrossRef]
- Aierken, D.; Bachmann, M. Comparison of Conformational Phase Behavior for Flexible and Semiflexible Polymers. Polymers 2020, 12, 3013. [Google Scholar] [CrossRef] [PubMed]
- Trugilho, L.F.; Rizzi, L.G. Microcanonical Characterization of First-Order Phase Transitions in a Generalized Model for Aggregation. J. Stat. Phys. 2022, 186, 40. [Google Scholar] [CrossRef]







Disclaimer/Publisher’s Note: The statements, opinions and data contained in all publications are solely those of the individual author(s) and contributor(s) and not of MDPI and/or the editor(s). MDPI and/or the editor(s) disclaim responsibility for any injury to people or property resulting from any ideas, methods, instructions or products referred to in the content. |
© 2023 by the author. Licensee MDPI, Basel, Switzerland. This article is an open access article distributed under the terms and conditions of the Creative Commons Attribution (CC BY) license (https://creativecommons.org/licenses/by/4.0/).
Share and Cite
Williams, M.J. Microcanonical Analysis of Helical Homopolymers: Exploring the Density of States and Structural Characteristics. Polymers 2023, 15, 3870. https://doi.org/10.3390/polym15193870
Williams MJ. Microcanonical Analysis of Helical Homopolymers: Exploring the Density of States and Structural Characteristics. Polymers. 2023; 15(19):3870. https://doi.org/10.3390/polym15193870
Chicago/Turabian StyleWilliams, Matthew J. 2023. "Microcanonical Analysis of Helical Homopolymers: Exploring the Density of States and Structural Characteristics" Polymers 15, no. 19: 3870. https://doi.org/10.3390/polym15193870
APA StyleWilliams, M. J. (2023). Microcanonical Analysis of Helical Homopolymers: Exploring the Density of States and Structural Characteristics. Polymers, 15(19), 3870. https://doi.org/10.3390/polym15193870
