Use of Raw Peach Gum as a Sustainable Additive for the Development of Water-Sensitive and Biodegradable Thermoplastic Starch Films
Abstract
1. Introduction
2. Materials and Methods
2.1. Materials
2.2. Methods
2.2.1. TPS–Peach Gum Blends
2.2.2. Raw Peach Gum Characterization
2.2.3. Color Characterization
2.2.4. Mechanical Characterization
2.2.5. Microstructural Characterization
2.2.6. Water Contact Angle (WCA) Measurement
2.2.7. Water Sensitivity
2.2.8. Chemical Characterization
2.2.9. Disintegration under Composting Conditions
3. Results and Discussion
3.1. Peach Gum Characterization
3.2. Color Characterization
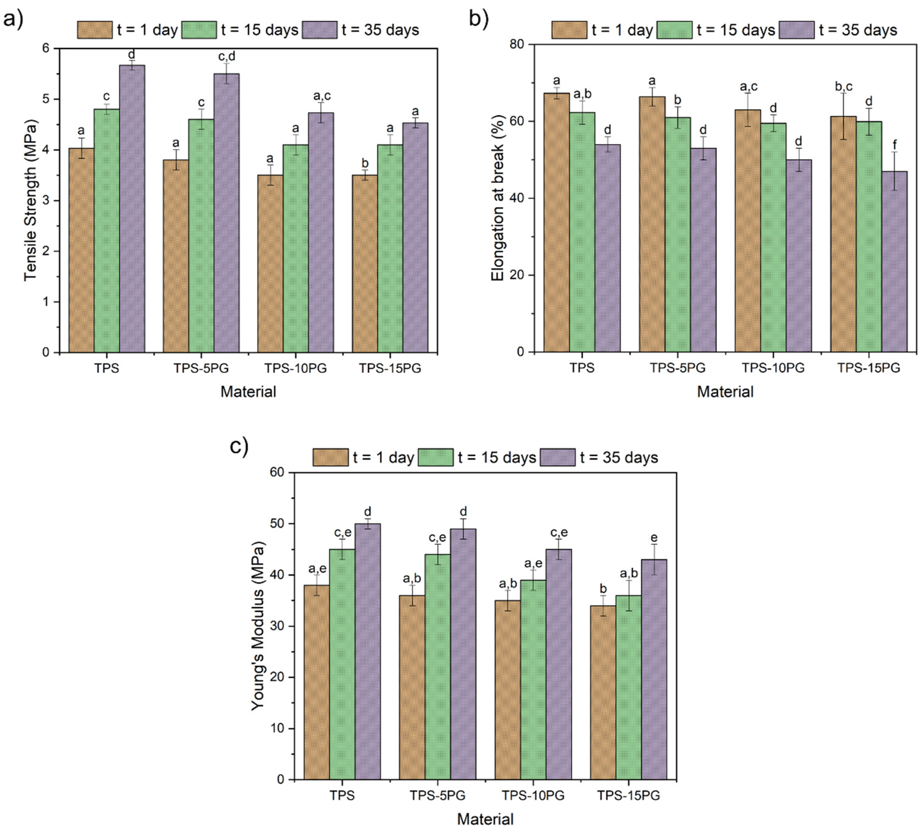
3.3. Mechanical Characterization
3.4. Microstructural Characterization
3.5. Water Contact Angle (WCA) Measurement
3.6. Water Sensitivity
3.7. Chemical Characterization
3.8. Disintegration under Composting Conditions
4. Conclusions
Author Contributions
Funding
Institutional Review Board Statement
Informed Consent Statement
Data Availability Statement
Acknowledgments
Conflicts of Interest
References
- Ciardelli, F.; Bertoldo, M.; Bronco, S.; Passaglia, E. The Obtainment of Bioplastics. In Polymers from Fossil and Renewable Resources; Springer International Publishing: Cham, Switzerland, 2019; pp. 107–132. [Google Scholar]
- European Bioplastics Bioplastics Market Development. Available online: http://www.european-bioplastics.org/news/publications/ (accessed on 2 February 2022).
- Zhang, X.; Ma, H.; Qin, W.; Guo, B.; Li, P. Antimicrobial and Improved Performance of Biodegradable Thermoplastic Starch by Using Natural Rosin to Replace Part of Glycerol. Ind. Crops Prod. 2022, 178, 114613. [Google Scholar] [CrossRef]
- Ismail, S.; Mansor, N.; Man, Z. A Study on Thermal Behaviour of Thermoplastic Starch Plasticized by [Emim] Ac and by [Emim] Cl. Procedia Eng. 2017, 184, 567–572. [Google Scholar] [CrossRef]
- Xie, F.; Luckman, P.; Milne, J.; McDonald, L.; Young, C.; Tu, C.Y.; Di Pasquale, T.; Faveere, R.; Halley, P.J. Thermoplastic Starch: Current Development and Future Trends. J. Renew. Mater. 2014, 2, 95–106. [Google Scholar] [CrossRef]
- Zhang, Y.; Rempel, C.; McLaren, D. Thermoplastic Starch. In Innovations in Food Packaging; Academic Press: Cambridge, MA, USA, 2014; pp. 391–412. ISBN 9780123946010. [Google Scholar]
- Leon-Bejarano, M.; Durmus, Y.; Ovando-Martínez, M.; Simsek, S. Physical, Barrier, Mechanical, and Biodegradability Properties of Modified Starch Films with Nut by-Products Extracts. Foods 2020, 9, 226. [Google Scholar] [CrossRef] [PubMed]
- Pavon, C.; Aldas, M.; López-Martínez, J.; Hernández-Fernández, J.; Patricia Arrieta, M. Films Based on Thermoplastic Starch Blended with Pine Resin Derivatives for Food Packaging. Foods 2021, 10, 1171. [Google Scholar] [CrossRef] [PubMed]
- Abd Karim, S.F.; Idris, J.; Jai, J.; Musa, M.; Ku Hamid, K.H. Production of Thermoplastic Starch-Aloe Vera Gel Film with High Tensile Strength and Improved Water Solubility. Polymers 2022, 14, 4213. [Google Scholar] [CrossRef] [PubMed]
- Aldas, M.; Ferri, J.M.; Lopez-Martinez, J.; Samper, M.D.; Arrieta, M.P. Effect of Pine Resin Derivatives on the Structural, Thermal, and Mechanical Properties of Mater-Bi Type Bioplastic. J. Appl. Polym. Sci. 2020, 137, 48236. [Google Scholar] [CrossRef]
- Aldas, M.; Pavon, C.; López-Martínez, J.; Arrieta, M.P.P. Pine Resin Derivatives as Sustainable Additives to Improve the Mechanical and Thermal Properties of Injected Moulded Thermoplastic Starch. Appl. Sci. 2020, 10, 2561. [Google Scholar] [CrossRef]
- Fekete, E.; Bella, É.; Csiszár, E.; Móczó, J. Improving Physical Properties and Retrogradation of Thermoplastic Starch by Incorporating Agar. Int. J. Biol. Macromol. 2019, 136, 1026–1033. [Google Scholar] [CrossRef]
- Balla, B.; Bartos, A.; Kun, D.; Csiszár, E.; Móczó, J.; Fekete, E. Improving Mechanical and Water Sorption Properties of Thermoplastic Starch by Incorporating Chitosan Filler. Polym. Test. 2021, 101, 107278. [Google Scholar] [CrossRef]
- Steven, S.; Octiano, I.; Mardiyati, Y. Cladophora Algae Cellulose and Starch Based Bio-Composite as an Alternative for Environmentally Friendly Packaging Material. AIP Conf. Proc. 2020, 2262, 040006. [Google Scholar] [CrossRef]
- González, K.; Iturriaga, L.; González, A.; Eceiza, A.; Gabilondo, N. Improving Mechanical and Barrier Properties of Thermoplastic Starch and Polysaccharide Nanocrystals Nanocomposites. Eur. Polym. J. 2020, 123, 109415. [Google Scholar] [CrossRef]
- Wei, C.; Zhang, Y.; Zhang, H.; Li, J.; Tao, W.; Linhardt, R.J.; Chen, S.; Ye, X. Physicochemical Properties and Conformations of Water-Soluble Peach Gums via Different Preparation Methods. Food Hydrocoll. 2019, 95, 571–579. [Google Scholar] [CrossRef]
- Zeng, S.; Long, J.; Sun, J.; Wang, G.; Zhou, L. A Review on Peach Gum Polysaccharide: Hydrolysis, Structure, Properties and Applications. Carbohydr. Polym. 2022, 279, 119015. [Google Scholar] [CrossRef] [PubMed]
- Zhang, R.; Wang, L.; Ettoumi, F.E.; Javed, M.; Li, L.; Lin, X.; Xu, Y.; Lu, Y.; Shao, X.; Luo, Z. Ultrasonic-Assisted Green Extraction of Peach Gum Polysaccharide for Blue-Emitting Carbon Dots Synthesis. Sustain. Chem. Pharm. 2021, 24, 100555. [Google Scholar] [CrossRef]
- Zhang, L.; Kou, X.; Huang, X.; Li, G.; Liu, J.; Ye, J. Peach-Gum: A Promising Alternative for Retarding the Ripening and Senescence in Postharvest Peach Fruit. Postharvest Biol. Technol. 2020, 161, 111088. [Google Scholar] [CrossRef]
- Saeidy, S.; Petera, B.; Pierre, G.; Fenoradosoa, T.A.; Djomdi, D.; Michaud, P.; Delattre, C. Plants Arabinogalactans: From Structures to Physico-Chemical and Biological Properties. Biotechnol. Adv. 2021, 53, 107771. [Google Scholar] [CrossRef]
- Wee, M.S.M.; Sims, I.M.; Goh, K.K.T.; Matia-Merino, L. Molecular, Rheological and Physicochemical Characterisation of Puka Gum, an Arabinogalactan-Protein Extracted from the Meryta sinclairii Tree. Carbohydr. Polym. 2019, 220, 247–255. [Google Scholar] [CrossRef]
- Bonaduce, I.; Brecoulaki, H.; Colombini, M.P.; Lluveras, A.; Restivo, V.; Ribechini, E. Gas Chromatographic–Mass Spectrometric Characterisation of Plant Gums in Samples from Painted Works of Art. J. Chromatogr. A 2007, 1175, 275–282. [Google Scholar] [CrossRef]
- Kriegel, C.; Kit, K.M.; McClements, D.J.; Weiss, J. Influence of Surfactant Type and Concentration on Electrospinning of Chitosan-Poly(Ethylene Oxide) Blend Nanofibers. Food Biophys. 2009, 4, 213–228. [Google Scholar] [CrossRef]
- Zhou, L.; Huang, J.; He, B.; Zhang, F.; Li, H. Peach Gum for Efficient Removal of Methylene Blue and Methyl Violet Dyes from Aqueous Solution. Carbohydr. Polym. 2014, 101, 574–581. [Google Scholar] [CrossRef] [PubMed]
- Li, C.; Tao, J.; Zhang, H. Peach Gum Polysaccharides-Based Edible Coatings Extend Shelf Life of Cherry Tomatoes. 3 Biotech 2017, 7, 1–5. [Google Scholar] [CrossRef] [PubMed]
- Lin, L.; Mahdi, A.A.; Li, C.; Al-Ansi, W.; Al-Maqtari, Q.A.; Hashim, S.B.H.; Cui, H. Enhancing the Properties of Litsea Cubeba Essential Oil/Peach Gum/Polyethylene Oxide Nanofibers Packaging by Ultrasonication. Food Packag. Shelf Life 2022, 34, 100951. [Google Scholar] [CrossRef]
- Ali, A.; Chen, Y.; Liu, H.; Yu, L.; Baloch, Z.; Khalid, S.; Zhu, J.; Chen, L. Starch-Based Antimicrobial Films Functionalized by Pomegranate Peel. Int. J. Biol. Macromol. 2019, 129, 1120–1126. [Google Scholar] [CrossRef] [PubMed]
- Atodiresei, G.-V.; Sandu, G.; Tulbure, E.-A.; Vasilache, V.; Butnaru, R. Chromatic Characterization in Cielab System for Natural Dyed Materials, Prior Activation in Atmospheric Plasma Type DBD. Rev. Chim. 2013, 64, 165–169. [Google Scholar]
- International Standards Organization ISO 527-2; Plastics—Determination of Tensile Properties—Part 2: Test Conditions for Moulding and Extrusion Plastics. International Standards Organization: Geneva, Switzerland, 2012.
- Kumari, M.; Mahajan, H.; Joshi, R.; Gupta, M. Development and Structural Characterization of Edible Films for Improving Fruit Quality. Food Packag. Shelf Life 2017, 12, 42–50. [Google Scholar] [CrossRef]
- International Standards Organization ISO 20200; Plastics—Determination of the Degree of Disintegration of Plastic Materials under Simulated Composting Conditions in a Laboratory-Scale Test. International Standards Organization: Geneva, Switzerland, 2016.
- Arrieta, M.P.; López, J.; Rayón, E.; Jiménez, A. Disintegrability under Composting Conditions of Plasticized PLA–PHB Blends. Polym. Degrad. Stab. 2014, 108, 307–318. [Google Scholar] [CrossRef]
- Ghobashy, M.M.; Mousa, S.A.S.; Siddiq, A.; Nasr, H.M.D.; Nady, N.; Atalla, A.A. Optimal the Mechanical Properties of Bioplastic Blend Based Algae-(Lactic Acid-Starch) Using Gamma Irradiation and Their Possibility to Use as Compostable and Soil Conditioner. Mater Today Commun. 2023, 34, 5472. [Google Scholar] [CrossRef]
- Perez-Magario, S.; Gonzalez-SanJose, M.L. Prediction of Red and Rosé Wine CIELab Parameters from Simple Absorbance Measurements. J. Sci. Food Agric. 2002, 82, 1319–1324. [Google Scholar] [CrossRef]
- Arrieta, M.P.; Peltzer, M.A.; López, J.; Garrigós, M.d.C.; Valente, A.J.M.; Jiménez, A. Functional Properties of Sodium and Calcium Caseinate Antimicrobial Active Films Containing Carvacrol. J. Food Eng. 2014, 121, 94–101. [Google Scholar] [CrossRef]
- Zhang, Y.; Han, J.H. Plasticization of Pea Starch Films with Monosaccharides and Polyols. J. Food Sci. 2006, 71, E253–E261. [Google Scholar] [CrossRef]
- Xuan, J.; Zhou, W.; Song, Y.; Yewondwossen, M.; Meng, J.; Sheng Lai, D.; Arzuria Adnan, S.; Fazlina Osman, A.; Ibrahim, I.; Haq, H. Mechanical Properties of Thermoplastic Starch Biocomposite Films with Hybrid Fillers. J. Phys. Conf. Ser. 2021, 2080, 12011. [Google Scholar] [CrossRef]
- Hoover, R. Composition, Molecular Structure, and Physicochemical Properties of Tuber and Root Starches: A Review. Carbohydr. Polym. 2001, 45, 253–267. [Google Scholar] [CrossRef]
- Paridah, M.; Moradbak, A.; Mohamed, A.Z.; Owolabi, F.; Abdulwahab, T.; Asniza, M.; Abdul Khalid, S.H.P. Thermoplastic Starch. In Thermoplastic Elastomers; Elsevier: Amsterdam, The Netherlands, 2016. [Google Scholar]
- Sessini, V.; Arrieta, M.P.; Kenny, J.M.; Peponi, L. Processing of Edible Films Based on Nanoreinforced Gelatinized Starch. Polym. Degrad. Stab. 2016, 132, 157–168. [Google Scholar] [CrossRef]
- De La Rosa-Ramírez, H.; Aldas, M.; Ferri, J.M.; López-Martínez, J.; Samper, M.D. Modification of Poly (Lactic Acid) through the Incorporation of Gum Rosin and Gum Rosin Derivative: Mechanical Performance and Hydrophobicity. J. Appl. Polym. Sci. 2020, 137, 49346. [Google Scholar] [CrossRef]
- Pavon, C.; Aldas, M.; López-Martínez, J.; Ferrándiz, S. New Materials for 3D-Printing Based on Polycaprolactone with Gum Rosin and Beeswax as Additives. Polymers 2020, 12, 334. [Google Scholar] [CrossRef]
- Vogler, E.A. Structure and Reactivity of Water at Biomaterial Surfaces. Adv. Colloid Interface Sci. 1998, 74, 69–117. [Google Scholar] [CrossRef]
- Pavon, C.; Aldas, M.; De La Rosa-Ramírez, H.; Samper, M.D.; Arrieta, M.P.; López-Martínez, J. Bilayer Films of Poly(ε-Caprolactone) Electrosprayed with Gum Rosin Microspheres: Processing and Characterization. Polym. Adv. Technol. 2021, 32, 3770–3781. [Google Scholar] [CrossRef]
- Janssen, L.P.B.M.; Mocicki, L. Thermoplastic Starch as Packaging Material. Acta Sci. Pol. Tech. Agrar. 2006, 5, 19–25. [Google Scholar] [CrossRef]
- Estevez-Areco, S.; Macchi, C.; Guz, L.; Goyanes, S.; Somoza, A. Evolution of the Free Volume during Water Desorption in Thermoplastic Starch/Citric Acid Films: In Situ Positron Annihilation Studies. Carbohydr Polym. 2023, 310, 120739. [Google Scholar] [CrossRef]
- Kalita, P.; Ahmed, A.B.; Sen, S.; Pachuau, L.; Phukan, M. Synthesis and Characterization of Citrate Soft Rice Starch: A New Strategy of Producing Disintegrating Agent for Design Drug and Resistant Starch. Int. J. Biol. Macromol. 2023, 240, 124475. [Google Scholar] [CrossRef] [PubMed]
- Kizil, R.; Irudayaraj, J.; Seetharaman, K. Characterization of Irradiated Starches by Using FT-Raman and FTIR Spectroscopy. J. Agric. Food Chem. 2002, 50, 3912–3918. [Google Scholar] [CrossRef] [PubMed]
- Musa, M.; Yoo, M.; Kang, T.; Kolawole, E.; Ishiaku, U.; Yakubu, M.; Whang, D. Characterization and Thermomechanical Properties of Thermoplastis Potato Starch. Res. Rev. J. Eng. Technol. 2013, 2, 9–16. [Google Scholar]
- Yao, X.C.; Cao, Y.; Pan, S.K.; Wu, S.J. Preparation of Peach Gum Polysaccharides Using Hydrogen Peroxide. Carbohydr. Polym. 2013, 94, 88–90. [Google Scholar] [CrossRef]
- Ghanbari, A.; Tabarsa, T.; Ashori, A.; Shakeri, A.; Mashkour, M. Preparation and Characterization of Thermoplastic Starch and Cellulose Nanofibers as Green Nanocomposites: Extrusion Processing. Int. J. Biol. Macromol. 2018, 112, 442–447. [Google Scholar] [CrossRef]
- Toro-Márquez, L.A.; Merino, D.; Gutiérrez, T.J. Bionanocomposite Films Prepared from Corn Starch with and without Nanopackaged Jamaica (Hibiscus sabdariffa) Flower Extract. Food Bioprocess Technol. 2018, 11, 1955–1973. [Google Scholar] [CrossRef]
- Angellier, H.; Molina-Boisseau, S.; Dole, P.; Dufresne, A. Thermoplastic Starch-Waxy Maize Starch Nanocrystals Nanocomposites. Biomacromolecules 2006, 7, 531–539. [Google Scholar] [CrossRef]
- Müller, C.M.O.; Laurindo, J.B.; Yamashita, F. Effect of Nanoclay Incorporation Method on Mechanical and Water Vapor Barrier Properties of Starch-Based Films. Ind. Crops Prod. 2011, 33, 605–610. [Google Scholar] [CrossRef]
- Sessini, V.; Arrieta, M.P.; Raquez, J.M.; Dubois, P.; Kenny, J.M.; Peponi, L. Thermal and Composting Degradation of EVA/Thermoplastic Starch Blends and Their Nanocomposites. Polym. Degrad. Stab. 2019, 159, 184–198. [Google Scholar] [CrossRef]
- Sangwan, P.; Petinakis, E.; Dean, K. Effects of Formulation, Structure, and Processing on Biodegradation of Starches. Starch Polym. Genet. Eng. Green Appl. 2014, 357–378. [Google Scholar] [CrossRef]
- Shogren, R.L.; Doane, W.M.; Garlotta, D.; Lawton, J.W.; Willett, J.L. Biodegradation of Starch/Polylactic Acid/Poly(Hydroxyester-Ether) Composite Bars in Soil. Polym. Degrad. Stab. 2003, 79, 405–411. [Google Scholar] [CrossRef]











| Resin Content (phr) | ||||
|---|---|---|---|---|
| Matrix | Resin | 5 | 10 | 15 |
| TPS | Peach gum | TPS–5PG | TPS–10PG | TPS–15PG |
| Title 1 | L* | a* | b* | YI E313 | ΔE* |
|---|---|---|---|---|---|
| TPS | 38.91 ± 0.26 a | −1.54 ± 0.05 a | 5.05 ± 0.05 a | 17.53 ± 0.08 a | 0 a |
| TPS–5PG | 42.96 ± 0.20 b | 0.08 ± 0.28 b | 8.18 ± 0.71 b | 29.03 ± 2.38 b | 5.37 b |
| TPS–10PG | 51.80 ± 1.34 c | 1.77 ± 0.39 c | 11.87 ± 1.32 c | 37.35 ± 3.33 c | 14.95 c |
| TPS–15PG | 43.56 ± 1.04 b | −0.03 ± 0.07 b | 7.90 ± 0.25 b | 27.70 ± 0.83 b | 5.66 b |
| Formulation | Water Sensitivity (%) |
|---|---|
| PG | 29.8 ± 1.2 a |
| TPS | 28.9 ± 1.0 a |
| TPS–5PG | 31.7 ± 0.8 b |
| TPS–10PG | 36.3 ± 1.2 c |
| TPS–15PG | 36.8 ± 0.8 c |
Disclaimer/Publisher’s Note: The statements, opinions and data contained in all publications are solely those of the individual author(s) and contributor(s) and not of MDPI and/or the editor(s). MDPI and/or the editor(s) disclaim responsibility for any injury to people or property resulting from any ideas, methods, instructions or products referred to in the content. |
© 2023 by the authors. Licensee MDPI, Basel, Switzerland. This article is an open access article distributed under the terms and conditions of the Creative Commons Attribution (CC BY) license (https://creativecommons.org/licenses/by/4.0/).
Share and Cite
Juan-Polo, A.; Pavon, C.; de la Rosa-Ramírez, H.; López-Martínez, J. Use of Raw Peach Gum as a Sustainable Additive for the Development of Water-Sensitive and Biodegradable Thermoplastic Starch Films. Polymers 2023, 15, 3359. https://doi.org/10.3390/polym15163359
Juan-Polo A, Pavon C, de la Rosa-Ramírez H, López-Martínez J. Use of Raw Peach Gum as a Sustainable Additive for the Development of Water-Sensitive and Biodegradable Thermoplastic Starch Films. Polymers. 2023; 15(16):3359. https://doi.org/10.3390/polym15163359
Chicago/Turabian StyleJuan-Polo, Andrea, Cristina Pavon, Harrison de la Rosa-Ramírez, and Juan López-Martínez. 2023. "Use of Raw Peach Gum as a Sustainable Additive for the Development of Water-Sensitive and Biodegradable Thermoplastic Starch Films" Polymers 15, no. 16: 3359. https://doi.org/10.3390/polym15163359
APA StyleJuan-Polo, A., Pavon, C., de la Rosa-Ramírez, H., & López-Martínez, J. (2023). Use of Raw Peach Gum as a Sustainable Additive for the Development of Water-Sensitive and Biodegradable Thermoplastic Starch Films. Polymers, 15(16), 3359. https://doi.org/10.3390/polym15163359

