Bisphenol A Diglycidyl Ether-Primary Amine Cooligomer-poly(ε-caprolactone) Networks: Synthesis and Characterization
Abstract
1. Introduction
2. Experimental Procedure
2.1. Materials
2.2. Syntheses of PU-EPs
2.3. Characterization
3. Results and Discussion
3.1. Oligomerization of the DGEBA Resin with Amines
3.2. Synthesis and Characterization of Polyurethane-Epoxy (PU-EP) Copolymers
3.3. Infrared Spectroscopy
3.4. Swelling Experiments
3.5. Morphology of PU-EPs Using SEM
3.6. Mechanical Properties of PU-EPs
3.7. Mathematical Modeling of Stress–Strain Curves
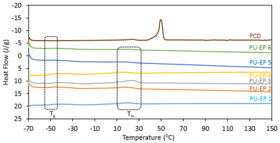
3.8. Thermal and Thermomechanical Behavior
4. Conclusions
Supplementary Materials
Author Contributions
Funding
Institutional Review Board Statement
Data Availability Statement
Conflicts of Interest
References
- Nikita, A.B.; Vjacheslav, V.Z. The study of the curing mechanism, kinetic and mechanical performance of polyurethane/epoxy composites using aliphatic and aromatic amines as curing agents. Thermochim. Acta 2020, 687, 178598. [Google Scholar]
- Saba, N.; Jawaid, M.; Alothman, O.Y.; Paridah, M.T.; Hassan, H. Recent advances in epoxy resin, natural fiber-reinforced epoxy composites and their applications. J. Reinforced Plast. Comp. 2015, 35, 447–470. [Google Scholar] [CrossRef]
- Roşu, D.; Caşcaval, C.N.; Mustaƫǎ, F.; Ciobanu, C. Cure kinetics of epoxy resins studied by non-isothermal DSC data. Thermochim. Acta 2002, 383, 119–127. [Google Scholar] [CrossRef]
- Su, X.; Zhou, Z.; Liu, J.; Luo, J.; Liu, R. A recyclable vanillin-based epoxy resin with high-performance that can compete with DGEBA. Eur. Polym. J. 2020, 140, 110053. [Google Scholar] [CrossRef]
- Lee, H.; Neville, K. Handbook of Epoxy Resins; McGraw-Hill: New York, NY, USA, 1967. [Google Scholar]
- Hodgkin, J.H.; Simon, G.P.; Varley, R.J. Thermoplastic Toughening of Epoxy Resins: A Critical Review. Polym. Adv. Technol. 1996, 9, 3–10. [Google Scholar] [CrossRef]
- Sonnenschein, M.F. Polyurethanes-Science, Technology, Markets and Trends; John Wiley & Sons, Inc.: Hoboken, NJ, USA, 2015. [Google Scholar]
- Bonab, V.S.; Manas-Zloczower, I. Revisiting Thermoplastic Polyurethane, from Composition to Morphology and Properties. J. Polym. Sci. Polym. Phys. 2017, 55, 1553–1564. [Google Scholar] [CrossRef]
- Guelcher, S.A. Biodegradable Polyurethanes: Synthesis and Applications in Regenerative Medicine. Tissue Eng. Part B 2008, 14, 1–17. [Google Scholar] [CrossRef]
- Zhang, J.L.; Wu, D.M.; Yang, D.Y.; Qiu, F.X. Environmentally Friendly Polyurethane Composites: Preparation, Characterization and Mechanical Properties. J. Polym. Environ. 2010, 18, 128–134. [Google Scholar] [CrossRef]
- Rahmatabadi, D.; Aberoumand, M.; Soltanmohammadi, K.; Soleyman, E.; Ghasemi, I.; Baniassadi, M.; Abrinia, K.; Bodaghi, M.; Baghani, M. Toughening PVC with Biocompatible PCL Softeners for Supreme Mechanical Properties, Morphology, Shape Memory Effects, and FFF Printability. Macromol. Mater. Eng. 2023, 2300114. [Google Scholar] [CrossRef]
- Mina Hernandez, J.H. Effect of the Incorporation of Polycaprolactone (PCL) on the Retrogradation of Binary Blends with Cassava Thermoplastic Starch (TPS). Polymers 2021, 13, 38. [Google Scholar] [CrossRef]
- Lendlein, A.; Schmidt, M.A.; Langer, R. AB-polymer networks based on oligo(-caprolactone) segments showing shape-memory properties. Proc. Natl. Acad. Sci. USA 2001, 98, 842–847. [Google Scholar]
- Li, Y.; Mao, S. Study on the properties and application of epoxy resin/polyurethane semi-interpenetrating polymer networks. J. Appl. Polym. Sci. 1996, 61, 2059–2063. [Google Scholar] [CrossRef]
- Kostrzewa, M.; Hausnerova, B.; Bakar, M.; Siwek, E. Effects of various polyurethanes on the mechanical and structural properties of an epoxy resin. J. Appl. Polym. Sci. 2011, 119, 2925–2932. [Google Scholar] [CrossRef]
- Hao, Y.; Zhou, C.; Zheng, G.; Sund, Y.; Lie, J.; Fu, T. Preparation of Polyurethane-Modified Epoxy. Adv. Mat. Res. 2012, 550–553, 818–821. [Google Scholar] [CrossRef]
- Frisch, H.L.; Frisch, K.C.; Klempner, D. Glass transitions of topologically interpenetrating polymer networks. Polym. Eng. Sci. 1974, 14, 646–650. [Google Scholar] [CrossRef]
- Wang, H.-H.; Jung-Chieh Chen, J.-C. Modification and compatibility of epoxy resin with hydroxyl-terminated or amine-terminated polyurethanes. Polym. Eng. Sci. 1995, 35, 1468–1475. [Google Scholar] [CrossRef]
- Ehlers, J.-E.; Rondan, N.G.; Huynh, K.L.; Pham, H.; Marks, M.; Truong, N.T. Theoretical Study on Mechanisms of the Epoxy-Amine Curing Reaction. Macromolecules 2007, 40, 4370–4377. [Google Scholar] [CrossRef]
- Shechter, L.; Wynstra, J. Glycidyl Ether Reactions with Is, Phenols, Carboxylic Acids, and acid Anhydrides. Ind. Eng. Chem. 1956, 48, 86–93. [Google Scholar] [CrossRef]
- Bedenyapina, N.S.; Kuznetsova, V.P.; Ivanov, V.V.; Zelenetskii, A.N.; Rakova, G.V.; Plokhotskaya, L.A.; Shevchenko, V.G.; Enikolopyan, N.S. Study of the interaction of the epoxide ring with the N-H bond, based on the model reaction of phenyl glycidyl ether with aniline. Izv. Akad. Nauk. SSSR Seriya Khimicheskaya 1976, 9, 1956–1962. [Google Scholar] [CrossRef]
- Plazek, D.J.; Frund, Z.N. Epoxy Resins (DGEBA): The Curing and Physical Aging Process. J. Polym. Sci. Part B Polym. Phys. 1990, 28, 431–448. [Google Scholar] [CrossRef]
- Dušek, K. Cross-linking of Epoxy Resins. In Advances in Chemistry; American Chemical Society: Washington, DC, USA, 1984; pp. 1–13. [Google Scholar]
- Xia, Y.; He, Y.; Zhang, F.; Liu, Y.; Leng, J. A Review of Shape Memory Polymers and Composites: Mechanisms, Materials, and Applications. Adv. Mater. 2021, 33, 2000713. [Google Scholar] [CrossRef] [PubMed]
- Chung, T.; Romo-Uribe, A.; Mather, P.T. Two-Way Reversible Shape Memory in a Semicrystalline Network. Macromolecules 2008, 41, 184–192. [Google Scholar] [CrossRef]
- Jiang, Y.; Hadjichristidis, N. Diels-Alder Polymer Networks with Temperature-Reversible Cross-Linking-Induced Emission. Angew. Chem. Int. Ed. 2021, 60, 331–337. [Google Scholar] [CrossRef] [PubMed]
- Czifrák, K.; Karger-Kocsis, J.; Daróczi, L.; Zsuga, M.; Kéki, S. Poly(ε-caprolactone) and Pluronic Diol-Containing Segmented Polyurethanes for Shape Memory Performance. Macromol. Chem. Phys. 2014, 215, 1896–1907. [Google Scholar] [CrossRef]
- Kelch, S.; Steuer, S.; Schmidt, M.A.; Lendlein, A. Shape-Memory Polymer Networks from Oligo[(ε-hydroxycaproate)-co-glycolate]dimethacrylates and Butyl Acrylate with Adjustable Hydrolytic Degradation Rate. Biomacromolecules 2007, 8, 1018–1027. [Google Scholar] [CrossRef]
- Sekkar, V.; Gopalakrishnan, S.; Devi, A.K. Studies on allophanate–urethane networks based on hydroxyl terminated polybutadiene: Effect of isocyanate type on the network characteristics. Eur. Polym. J. 2003, 39, 1281–1290. [Google Scholar] [CrossRef]
- Castro, M.; Lu, J.; Bruzaud, S.; Kumar, B.; Feller, J.-F. Carbon nanotubes/poly(ε-caprolactone) composite vapour sensors. Carbon 2009, 47, 1930–1942. [Google Scholar] [CrossRef]
- Jiang, S.; Ji, X.; An, L.; Jiang, B. Crystallization behavior of PCL in hybrid confined environment. Polymer 2001, 42, 3901–3907. [Google Scholar] [CrossRef]
- McCreath, S.; Boinard, P.; Boinard, E.; Gritter, P.; Liggat, J.J. High clarity poly(caprolactone diol)-based polyurethane adhesives for polycarbonate lamination: Effect of isocyanate and chain-extender. Int. J. Adh. Adh. 2018, 86, 84–97. [Google Scholar] [CrossRef]
- Mora, A.-S.; Tayouo, R.; Boutevin, B.; David, G.; Caillol, S. A perspective approach on the amine reactivity and the hydrogen bonds effect on epoxy-amine systems. Eur. Polym. J. 2020, 123, 109460. [Google Scholar] [CrossRef]
- Nagy, L.; Nagy, M.; Vadkerti, B.; Daróczi, L.; Deák, G.; Zsuga, M.; Kéki, S. Designed Polyurethanes for Potential Biomedical and Pharmaceutical Applications: Novel Synthetic Strategy for Preparing Sucrose Containing Biocompatible and Bio-degradable Polyurethane Networks. Polymers 2019, 11, 825. [Google Scholar] [CrossRef]
- Karger-Kocsis, J.; Kéki, S. Review of Progress in Shape Memory Epoxies and Their Composites. Polymers 2018, 10, 34. [Google Scholar] [CrossRef]
- Czifrák, K.; Lakatos, C.; Karger-Kocsis, J.; Daróczi, L.; Zsuga, M.; Kéki, S. One-Pot Synthesis and Characterization of Novel Shape-Memory Poly(ε-Caprolactone) Based Polyurethane-Epoxy Co-networks with Diels-Alder Couplings. Polymers 2018, 10, 504. [Google Scholar] [CrossRef]
- Lakatos, C.; Kordován, M.A.; Czifrák, K.; Nagy, L.; Vadkerti, B.; Daróczi, L.; Zsuga, M.; Kéki, S. Synthesis of Sucrose-HDI Cooligomers: New Polyols for Novel Polyurethane Networks. Int. J. Mol. Sci. 2022, 23, 1444. [Google Scholar] [CrossRef]
- Yoneguchi, Y.; Kikuchi, H.; Nakagawa, S.; Marubayashi, H.; Ishizone, T.; Nojima, S.; Yamaguchi, K. Combined effects of confinement size and chain-end tethering on the crystallization of poly(ε-caprolactone) chains in nanolamellae. Polymer 2019, 160, 73–81. [Google Scholar] [CrossRef]
- Verho, T.; Paajanen, A.; Vaari, J.; Laukkanen, A. Crystal Growth in Polyethylene by Molecular Dynamics: The Crystal Edge and Lamellar Thickness. Macromolecules 2019, 51, 4865–4873. [Google Scholar] [CrossRef]










| Sample | Composition in the Feed/Molar Ratio/ | Density (g/cm3) |
|---|---|---|
| PU-EP 1 | PCD(2)-HDI-DGEBA-EA/1:2:1:0.1 | 1.17 |
| PU-EP 2 | PCD(2)-HDI-DGEBA-EA/1:2:1:0.2 | 1.08 |
| PU-EP 3 | PCD(2)-HDI-DGEBA-EA/1:2:1:0.3 | 1.07 |
| PU-EP 4 | PCD(2)-HDI-DGEBA-FA/1:2:1:0.1 | 1.18 |
| PU-EP 5 | PCD(2)-HDI-DGEBA-FA/1:2:1:0.2 | 1.20 |
| PU-EP 6 | PCD(2)-HDI-DGEBA-FA/1:2:1:0.3 | 1.07 |
| DGEBA-Amine Cooligomer Composition | Mn by MALDI-TOF MS (g/mol) * |
|---|---|
| DGEBA-EA/1:0.1 | 750 |
| DGEBA-EA/1:0.2 | 800 |
| DGEBA-EA/1:0.3 | 830 |
| DGEBA-FA/1:0.1 | 800 |
| DGEBA-FA/1:0.2 | 820 |
| DGEBA-FA/1:0.3 | 850 |
| Sample | Q | G (%) | νe (mol/cm3) |
|---|---|---|---|
| PU-EP 1 | 1.9 | 88.7 | 1.5 × 10−3 |
| PU-EP 2 | 2.8 | 83.6 | 7.4 × 10−4 |
| PU-EP 3 | 3.7 | 71.7 | 1.1 × 10−4 |
| PU-EP 4 | 1.9 | 84.9 | 1.9 × 10−3 |
| PU-EP 5 | 2.2 | 82.4 | 1.1 × 10−3 |
| PU-EP 6 | 3.0 | 67.8 | 7.6 × 10−4 |
| Sample | E (MPa) | εR (%) | σR (MPa) |
|---|---|---|---|
| PU-EP 1 | 5.6 ± 0.3 | 1155 ± 13 | 32.2 ± 1.2 |
| PU-EP 2 | 3.6 ± 0.3 | 1145 ± 138 | 21 ± 4.1 |
| PU-EP 3 | 2.2 ± 0.1 | 1232 ± 26 | 14.8 ± 0.9 |
| PU-EP 4 | 4.0 ± 1.1 | 1119 ± 80 | 23.5 ± 2.5 |
| PU-EP 5 | 5.1 ± 1.8 | 1164 ± 86 | 16.2 ± 1.3 |
| PU-EP 6 | 26.8 ± 3.5 | 648.1 ± 65 | 6.8 ± 0.6 |
| Sample | Tg (°C) | Tm (°C) | ∆Hm (J/g) | DCr (%) |
|---|---|---|---|---|
| PCD (2) | - | 47 | 85.3 | 60 |
| PU-EP 1 | −50.6 | 19 | 15.4 | 15 |
| PU-EP 2 | −46.7 | 19 | 11.3 | 11 |
| PU-EP 3 | −51.1 | 23 | 21.3 | 20 |
| PU-EP 4 | −46.8 | 19 | 12.9 | 12 |
| PU-EP 5 | −48.5 | 18 | 5.4 | 5 |
| PU-EP 6 | −48.2 | 22 | 8.1 | 8 |
| Sample | νd (mol/cm3) |
|---|---|
| PU-EP 1 | 2.6 × 10−3 |
| PU-EP 2 | 2.2 × 10−3 |
| PU-EP 4 | 3.6 × 10−3 |
| PU-EP 5 | 2.7 × 10−3 |
Disclaimer/Publisher’s Note: The statements, opinions and data contained in all publications are solely those of the individual author(s) and contributor(s) and not of MDPI and/or the editor(s). MDPI and/or the editor(s) disclaim responsibility for any injury to people or property resulting from any ideas, methods, instructions or products referred to in the content. |
© 2023 by the authors. Licensee MDPI, Basel, Switzerland. This article is an open access article distributed under the terms and conditions of the Creative Commons Attribution (CC BY) license (https://creativecommons.org/licenses/by/4.0/).
Share and Cite
Czifrák, K.; Lakatos, C.; Szabó, G.; Vadkerti, B.; Daróczi, L.; Zsuga, M.; Kéki, S. Bisphenol A Diglycidyl Ether-Primary Amine Cooligomer-poly(ε-caprolactone) Networks: Synthesis and Characterization. Polymers 2023, 15, 2937. https://doi.org/10.3390/polym15132937
Czifrák K, Lakatos C, Szabó G, Vadkerti B, Daróczi L, Zsuga M, Kéki S. Bisphenol A Diglycidyl Ether-Primary Amine Cooligomer-poly(ε-caprolactone) Networks: Synthesis and Characterization. Polymers. 2023; 15(13):2937. https://doi.org/10.3390/polym15132937
Chicago/Turabian StyleCzifrák, Katalin, Csilla Lakatos, Gabriella Szabó, Bence Vadkerti, Lajos Daróczi, Miklós Zsuga, and Sándor Kéki. 2023. "Bisphenol A Diglycidyl Ether-Primary Amine Cooligomer-poly(ε-caprolactone) Networks: Synthesis and Characterization" Polymers 15, no. 13: 2937. https://doi.org/10.3390/polym15132937
APA StyleCzifrák, K., Lakatos, C., Szabó, G., Vadkerti, B., Daróczi, L., Zsuga, M., & Kéki, S. (2023). Bisphenol A Diglycidyl Ether-Primary Amine Cooligomer-poly(ε-caprolactone) Networks: Synthesis and Characterization. Polymers, 15(13), 2937. https://doi.org/10.3390/polym15132937

