Study on the Thermogravimetric Kinetics of Dehydrated Sewage Sludge Regulated by Cationic Polyacrylamide and Sawdust
Abstract
1. Introduction
2. Materials and Methods
2.1. Materials and Mechanical Dehydration Experiment
2.2. Thermogravimetric Analysis
2.3. Non-Isothermal Kinetic Model of Pyrolysis
3. Results and Discussion
3.1. Effect of CPAM and Sawdust on Sludge-Dewatering Performance
3.2. TG-DTG Pyrolysis Analysis
3.3. Effect of the Heating Rate on Pyrolysis Characteristics
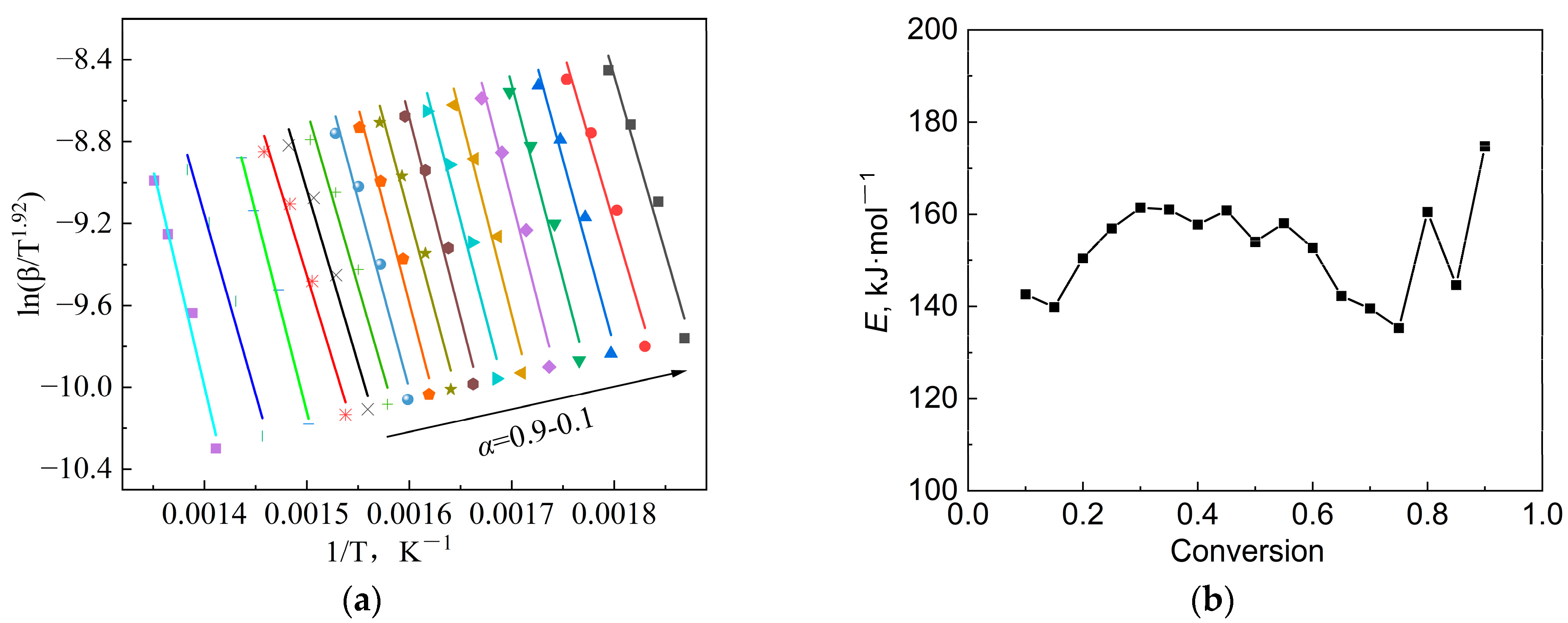
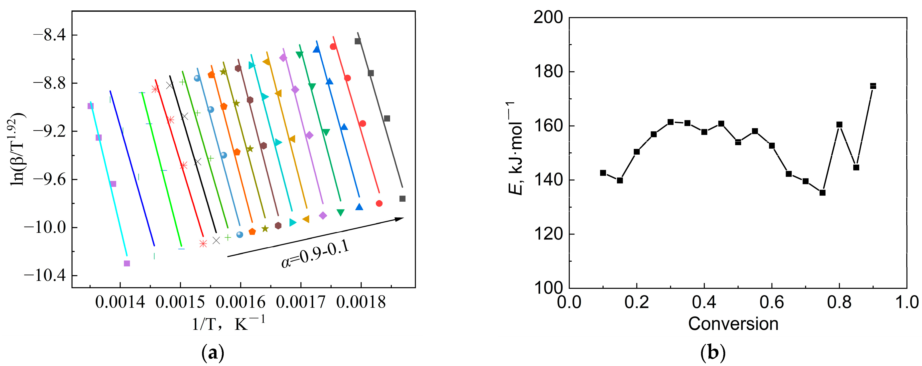
3.4. Thermal Kinetics Analysis
4. Conclusions
Author Contributions
Funding
Institutional Review Board Statement
Data Availability Statement
Conflicts of Interest
References
- Yang, G.; Zhang, G.; Wang, H. Current state of sludge production, management, treatment and disposal in China. Water Res. 2015, 78, 60–73. [Google Scholar] [CrossRef] [PubMed]
- Jin, L.; Zhang, G.; Tian, H. Current state of sewage treatment in China. Water Res. 2014, 66, 85–98. [Google Scholar] [CrossRef]
- Soares, A.; Guieysse, B.; Jefferson, B.; Cartmell, E.; Lester, J.N. Nonylphenol in the environment: A critical review on occurrence, fate, toxicity and treatment in wastewaters. Environ. Int. 2008, 34, 1033–1049. [Google Scholar] [CrossRef]
- Cucina, M.; Zadra, C.; Marcotullio, M.C.; Di Maria, F.; Sordi, S.; Curini, M.; Gigliotti, G. Recovery of energy and plant nutrients from a pharmaceutical organic waste derived from a fermentative biomass: Integration of anaerobic digestion and composting. J. Environ. Chem. Eng. 2017, 5, 3051–3057. [Google Scholar] [CrossRef]
- Samolada, M.C.; Zabaniotou, A.A. Comparative assessment of municipal sewage sludge incineration, gasification and pyrolysis for a sustainable sludgeto-energy management in Greece. Waste Manag. 2014, 34, 411–420. [Google Scholar] [CrossRef] [PubMed]
- Liu, L.; Huang, L.; Huang, R.; Lin, H.; Wang, D. Immobilization of heavy metals in biochar derived from co-pyrolysis of sewage sludge and calcium sulfate. J. Hazard Mater. 2021, 403, 123648. [Google Scholar] [CrossRef]
- Naqvi, S.R.; Tariq, R.; Hameed, Z.; Ali, I.; Naqvi, M.; Chen, W.; Ceylan, S.; Rashid, H.; Ahmad, J.; Taqvi, S.A.; et al. Pyrolysis of high ash sewage sludge: Kinetics and thermodynamic analysis using Coats-Redfern method. Renew. Energy 2019, 131, 854–860. [Google Scholar] [CrossRef]
- Li, J.; Wang, M.; Zhao, X.; Li, Z.; Niu, Y.; Wang, S.; Sun, Q. Efficient Iodine Removal by Porous Biochar-Confined Nano-Cu2O/Cu0: Rapid and Selective Adsorption of Iodide and Iodate Ions. Nanomaterials 2023, 13, 576. [Google Scholar] [CrossRef] [PubMed]
- Chen, J.; Xu, X.; Nie, R.; Feng, L.; Li, X.; Liu, B. Chitosan Modified Cationic Polyacrylamide Initiated by UV-H2O2 for Sludge Flocculation and New Insight on the Floc Characteristics Study. Polymers 2020, 12, 2738. [Google Scholar] [CrossRef]
- Luo, H.; Ning, X.; Liang, X.; Feng, Y.; Liu, J. Effects of sawdust-CPAM on textile dyeing sludge dewaterability and filter cake properties. Bioresour. Technol. 2013, 139, 330–336. [Google Scholar] [CrossRef]
- Yan, J.; Jiao, H.; Li, Z.; Wang, Z.; Ren, S.; Shui, H.; Kang, S.; Yan, H.; Pan, C. Kinetic analysis and modeling of coal pyrolysis with model-free methods. Fuel 2019, 241, 382–391. [Google Scholar] [CrossRef]
- Fang, S.; Yu, Z.; Lin, Y.; Hu, S.; Liao, Y.; Ma, X. Thermogravimetric analysis of the co-pyrolysis of paper sludge and municipal solid waste. Energy Convers. Manag. 2015, 101, 626–631. [Google Scholar] [CrossRef]
- Khiari, B.; Jeguirim, M. Tunisian agro-food wastes recovery by pyrolysis: Thermogravimetric analysis and kinetic study. In Proceedings of the 2019 10th International Renewable Energy Congress (IREC), Sousse, Tunisia, 26–28 March 2019. [Google Scholar]
- Bi, H.; Wang, C.; Jiang, X.; Jiang, C.; Lin, Q. Thermodynamics, kinetics, gas emissions and artificial neural network modeling of co-pyrolysis of sewage sludge and peanut shell. Fuel 2021, 284, 118988. [Google Scholar] [CrossRef]
- Xu, X.; Zhao, B.; Sun, M.; Chen, X.; Zhang, M.; Li, H.; Xu, S. Co-pyrolysis characteristics of municipal sewage sludge and hazelnut shell by TG-DTG-MS and residue analysis. Waste Manag. 2017, 62, 91–100. [Google Scholar] [CrossRef] [PubMed]
- Wang, X.; Deng, S.; Tan, H.; Adeosun, A.; Vujanovic, M.; Yang, F.; Duic, N. Synergetic effect of sewage sludge and biomass co-pyrolysis: A combined study in thermogravimetric analyzer and a fixed bed reactor. Energy Convers. Manag. 2016, 118, 399–405. [Google Scholar] [CrossRef]
- Arenas, C.N.; Navarro, M.V.; Martínez, J.D. Pyrolysis kinetics of biomass wastes using isoconversional methods and the distributed activation energy model. Bioresour. Technol. 2019, 288, 121485. [Google Scholar] [CrossRef]
- Font, R.; Fullana, A.; Conesa, J. Kinetic models for the pyrolysis and combustion of two types of sewage sludge. J. Anal. Appl. Pyrolysis 2005, 74, 429–438. [Google Scholar] [CrossRef]
- Scott, S.A.; Dennis, J.S.; Davidson, J.F.; Hayhurst, A.N. Thermogravimetric measurements of the kinetics of pyrolysis of dried sewage sludge. Fuel 2006, 85, 1248–1253. [Google Scholar] [CrossRef]
- Barneto, A.G.; Carmona, J.A.; Martin, J.E.; Blanco, J.D. Kinetic models based in biomass components for the combustion and pyrolysis of sewage sludge and its compost. J. Anal. Appl. Pyrolysis 2009, 86, 108–114. [Google Scholar] [CrossRef]
- Othman, M.R.; Park, Y.H.; Ngo, T.A.; Kim, S.S.; Kim, J.; Lee, K.S. Thermogravimetric characteristics and pyrolysis kinetics of Giheung Respia sewage sludge. Korean J. Chem. Eng. 2010, 27, 163–167. [Google Scholar] [CrossRef]
- Zhai, Y.; Peng, W.; Zeng, G.; Fu, Z.; Lan, Y.; Chen, H.; Wang, C.; Fan, X. Pyrolysis characteristics and kinetics of sewage sludge for different sizes and heating rates. J. Therm. Anal. Calorim. 2012, 107, 1015–1022. [Google Scholar] [CrossRef]
- Soria-Verdugo, A.; Goos, E.; Morato-Godino, A.; Garcia-Hernando, N.; Riedel, U. Pyrolysis of biofuels of the future: Sewage sludge and microalgae-Thermogravimetric analysis and modelling of the pyrolysis under different temperature conditions. Energy Convers. Manag. 2017, 138, 261–272. [Google Scholar] [CrossRef]
- Vasudev, V.; Ku, X.; Lin, J. Kinetic study and pyrolysis characteristics of algal and lignocellulosic biomasses. Bioresour. Technol. 2019, 288, 121496. [Google Scholar] [CrossRef] [PubMed]
- Vyazovkin, S.; Burnham, A.K.; Criado, J.M.; Pérez-Maqueda, L.A.; Sbirrazzuoli, N. ICTAC kinetics commitee recommendations for performing kinetic computations on thermal analysis data. Thermochim. Acta 2011, 520, 1–19. [Google Scholar] [CrossRef]
- Liu, H.; Xu, G.; Li, G. Pyrolysis characteristic and kinetic analysis of sewage sludge using model-free and master plots methods. Process Saf. Environ. 2021, 149, 48–55. [Google Scholar] [CrossRef]
- Aboulkas, A.; El Harfi, K.; El Bouadili, A. Thermal degradation behaviors of polyethylene and polypropylene. Part I Pyrolysis kinetics and mechanisms. Energy Convers. Manag. 2010, 51, 1363–1369. [Google Scholar] [CrossRef]
- Senum, G.I.; Yang, R.T. Rational approximations of the integral of the Arrhenius function. J. Therm. Anal. 1977, 11, 445–447. [Google Scholar] [CrossRef]
- Mishra, R.K.; Sahoo, A.; Mohanty, K. Pyrolysis kinetics and synergistic effect in co-pyrolysis of Samanea saman seeds and polyethylene terephthalate using thermogravimetric analyser. Bioresour. Technol. 2019, 289, 121608. [Google Scholar] [CrossRef]
- Muravyev, N.V.; Vyazovkin, S. The Status of Pyrolysis Kinetics Studies by Thermal Analysis: Quality Is Not as Good as It Should and Can Readily Be. Thermo 2022, 2, 435–452. [Google Scholar] [CrossRef]
- Starink, M.J. The determination of activation energy from linear heating rate experiments: A comparison of the accuracy of isoconversion methods. Thermochim. Acta 2003, 520, 163–176. [Google Scholar] [CrossRef]
- Bai, F.; Guo, W.; Lü, X.; Liu, Y.; Guo, M.; Li, Q.; Sun, Y. Kinetic study on the pyrolysis behavior of Huadian oil shale via non-isothermal thermogravimetric data. Fuel 2015, 146, 111–118. [Google Scholar] [CrossRef]
- Han, R.; Zhao, C.; Liu, J.; Chen, A.; Wang, H. Thermal characterization and syngas production from the pyrolysis of biophysical dried and traditional thermal dried sewage sludge. Bioresour. Technol. 2015, 198, 276–282. [Google Scholar] [CrossRef] [PubMed]
- Fisher, T.; Hajaligol, M.; Waymack, B.; Kellogg, D. Pyrolysis behavior and kinetics of biomass derived materials. J. Anal. Appl. Pyrolysis 2002, 62, 331–349. [Google Scholar] [CrossRef]
- Peng, H.; Wang, N.; Hu, Z.; Yu, Z.; Liu, Y.; Zhang, J.; Ruan, R. Physicochemical characterization of hemicelluloses from bamboo (Phyllostachys pubescens Mazel) stem. Ind. Crop. Prod. 2012, 37, 41–50. [Google Scholar] [CrossRef]
- Aboyade, A.O.; Görgens, J.F.; Carrier, M.; Meyer, E.L.; Knoetze, J.H. Thermogravimetric study of the pyrolysis characteristics and kinetics of;coal blends with corn and sugarcane residues. Fuel Process. Technol. 2013, 106, 310–320. [Google Scholar] [CrossRef]
- Idris, S.S.; Rahman, N.A.; Ismail, K.; Alias, A.B.; Rashid, Z.A.; Aris, M.J. Investigation on thermochemical behaviour of low rank Malaysian coal, oil palm biomass and their blends during pyrolysis via thermogravimetric analysis (TGA). Bioresour. Technol. 2010, 101, 4584–4592. [Google Scholar] [CrossRef] [PubMed]
- Alhulaybi, Z.; Dubdub, I.; Al-Yaari, M.; Almithn, A.; Al-Naim, A.F.; Aljanubi, H. Pyrolysis Kinetic Study of Polylactic Acid. Polymers 2023, 15, 12. [Google Scholar] [CrossRef] [PubMed]





| Proximate Analysis (As-Received Basis) | ||
|---|---|---|
| Sludge | Sawdust | |
| Moisture, % | 5.21 | 3.05 |
| Volatile Matter, % | 60.38 | 78.62 |
| Fixed Carbon, % | 4.96 | 17.01 |
| Ash, % | 29.45 | 1.32 |
| Ultimate Analysis (Dry Basis) | ||
| C, % | 23.98 | 48.62 |
| H, % | 4.26 | 6.81 |
| N, % | 4.01 | 0.32 |
| S, % | 1.58 | 0.11 |
| O, % (by difference) | 19.08 | 43.35 |
| LHV (kJ/kg) | 12,182 | 18,325 |
| Method | C | B |
|---|---|---|
| KAS | 2 | 1 |
| FWO | 0 | 1.052 |
| Starink | 1.92 | 1.008 |
| Model | f(α) | G(α) | Model | f(α) | G(α) |
|---|---|---|---|---|---|
| A1 | 1 − α | −ln(1 − α) | D1 | 1/2α−1 | α2 |
| A1.5 | 3/2(1 − α)[−ln(1 − α)]1/3 | [−ln(1 − α)]2/3 | D2 | [−ln(1 − α)]−1 | α + (1 − α)ln(1 − α) |
| A2 | 2(1 − α)[−ln(1 − α)]1/2 | [−ln(1 − α)]1/2 | D3 | 3/2(1 − α)2/3[1 − (1 − α)1/3]−1 | [1 − (1 − α)1/3]2 |
| A3 | 3(1 − α)[−ln(1 − α)]2/3 | [−ln(1 − α)]1/3 | D4 | 3/2[(1 − α)−1/3 − 1]−1 | 1 − 2/3α-(1 − α)2/3 |
| AE2 | 1/2(1 − α)[−ln(1 − α)]−1 | [−ln(1 − α)]2 | RO2 | (1 − α)2 | (1 − α)−1 − 1 |
| AE2.5 | 2/5(1 − α)[−ln(1 − α)]−1.5 | [−ln(1 − α)]2.5 | RO3 | (1 − α)3 | −1/2[1 − (1 − α)−2] |
| AE3 | 1/3(1 − α)[−ln(1 − α)]−2 | [−ln(1 − α)]3 | R2 | 2(1 − α)1/2 | 1 − (1 − α)1/2 |
| P2 | α1/2 | 2α1/2 | R3 | 3(1 − α)2/3 | 1 − (1 − α)1/3 |
| P3 | α1/3 | 3α2/3 | E1 | α | ln α |
| P4 | α1/4 | 4α3/4 | E2 | 1/2α | ln α2 |
| Mixing Ratio | 10:0 | 9:1 | 8:2 | 7:3 |
|---|---|---|---|---|
| (dw/dt)max/%·min−1 | 2.1 | 2.6 | 3.2 | 3.4 |
| (dw/dt)mean/%·min−1 | 0.64 | 0.69 | 0.73 | 0.74 |
| Tmax/°C | 313.7 | 358.7 | 359.4 | 360.7 |
| Ti/°C | 220.2 | 226.1 | 230.3 | 232.3 |
| ΔT1/2/°C | 171.7 | 126.5 | 124.7 | 120.2 |
| D/10−7%2·min−2·°C−3 | 1.133 | 1.748 | 2.263 | 2.498 |
Disclaimer/Publisher’s Note: The statements, opinions and data contained in all publications are solely those of the individual author(s) and contributor(s) and not of MDPI and/or the editor(s). MDPI and/or the editor(s) disclaim responsibility for any injury to people or property resulting from any ideas, methods, instructions or products referred to in the content. |
© 2023 by the authors. Licensee MDPI, Basel, Switzerland. This article is an open access article distributed under the terms and conditions of the Creative Commons Attribution (CC BY) license (https://creativecommons.org/licenses/by/4.0/).
Share and Cite
Yang, K.; Sun, J.; Liu, H.; Yang, W.; Dong, L. Study on the Thermogravimetric Kinetics of Dehydrated Sewage Sludge Regulated by Cationic Polyacrylamide and Sawdust. Polymers 2023, 15, 2396. https://doi.org/10.3390/polym15102396
Yang K, Sun J, Liu H, Yang W, Dong L. Study on the Thermogravimetric Kinetics of Dehydrated Sewage Sludge Regulated by Cationic Polyacrylamide and Sawdust. Polymers. 2023; 15(10):2396. https://doi.org/10.3390/polym15102396
Chicago/Turabian StyleYang, Kai, Jianqi Sun, Hongning Liu, Weichao Yang, and Lei Dong. 2023. "Study on the Thermogravimetric Kinetics of Dehydrated Sewage Sludge Regulated by Cationic Polyacrylamide and Sawdust" Polymers 15, no. 10: 2396. https://doi.org/10.3390/polym15102396
APA StyleYang, K., Sun, J., Liu, H., Yang, W., & Dong, L. (2023). Study on the Thermogravimetric Kinetics of Dehydrated Sewage Sludge Regulated by Cationic Polyacrylamide and Sawdust. Polymers, 15(10), 2396. https://doi.org/10.3390/polym15102396
