Calculation of Strain Energy Density Function Using Ogden Model and Mooney–Rivlin Model Based on Biaxial Elongation Experiments of Silicone Rubber
Abstract
1. Introduction
2. Materials and Methods
2.1. Silicon Rubber
2.2. Biaxial Tensile Tester
2.3. Strain Energy Density Function (W) [46]
2.4. CAE Simulation
3. Results
3.1. Comparison of Stress (σx)–Strain (ε Curves for Equal Biaxial, Uniaxially Constrained Biaxial, and Uniaxial Deformation on the Same Sample and for Different Samples
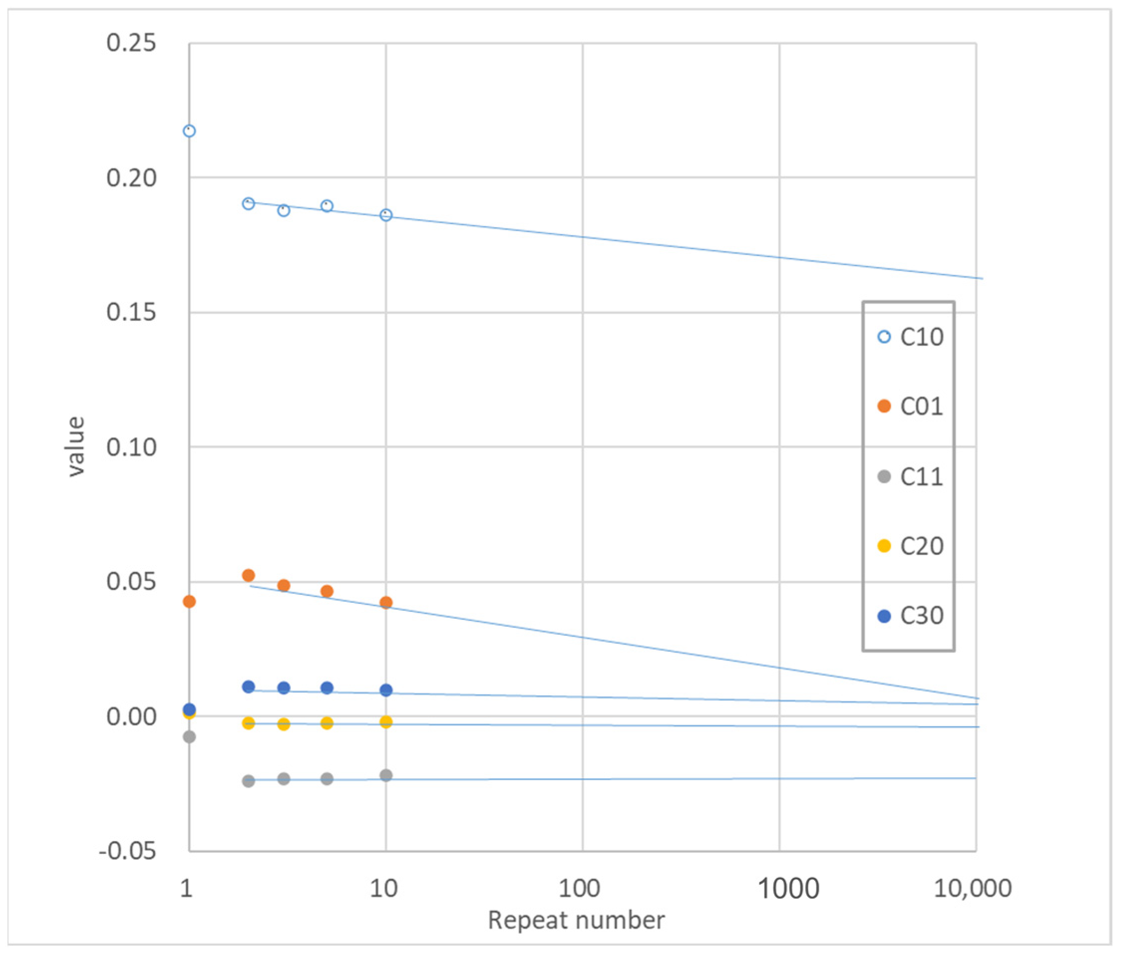
3.2. Change in Ogden and Mooney–Rivlin Coefficients Due to Repeated Deformation in Equal Biaxial, Uniaxial Constrained Biaxial, and Uniaxial Elongation
3.3. Coefficients When Sagging Is Removed after Repeated Elongation and Measurement Is Performed Again
3.4. Variation of the Strain Energy Density Function with Repeated Elongation
4. Discussion
4.1. Effect of Polymer Chain Entanglement on Strain Energy Density Function
4.2. Comparison of Apparent Strain between Chucks and Actual Strain between Rubber Marks in Biaxial Deformation
4.3. Application to the Prediction of Stress Drop in Cyclic Fatigue of Practical Rubber Boots
5. Conclusions
- The rubber material undergoes stress softening with each cyclic elongation, and the stress value settles down to a nearly constant value after about 10 cycles. Since actual rubber materials are constantly subjected to repeated deformation, it is necessary to calculate the strain energy density function under conditions where the stress is constant.
- To calculate the correct strain energy density function of rubber materials, it is suitable to measure uniaxially constrained biaxial and uniaxially elongated stress–strain curves under conditions where the intramolecular entanglement and cohesive state of filled particles are dispersed throughout the rubber by repeated biaxial deformation.
- From the decrease in the strain energy density function due to repeated elongation, the entanglement within the rubber molecular chains and the aggregation of the filled particles accounted for 25% of the total energy of the entire rubber.
- The strain between adjacent chucks gripping the rubber sheet was found to be twice as great as that of the center parts of the rubber, but the measuring device has been devised not to detect the force applied between these chucks.
Author Contributions
Funding
Institutional Review Board Statement
Data Availability Statement
Acknowledgments
Conflicts of Interest
References
- Hardee, E.; Chang, K.-H.; Yoon, S.; Kaneko, M.; Grindeanu, I.; Chen, J.-S. A Structural Nonlinear Analysis Workspace (SNAW) based on meshless methods. Adv. Eng. Softw. 1999, 30, 153–175. [Google Scholar] [CrossRef]
- Schönherr, J.A.; Schneider, P.; Mittelstedt, C. Robust hybrid/mixed finite elements for rubber-like materials under severe compression. Comput. Mech. 2022, 70, 101–122. [Google Scholar] [CrossRef]
- Bucha, J.; Danko, J.; Milesich, T.; Nemec, T.; Magdolen, L. Comparison of FEM Simulations of Rubber-Metal Mount Element. Stroj. Časopis-J. Mech. Eng. 2022, 72, 15–22. [Google Scholar] [CrossRef]
- Chen, D.; Wu, J.; Wang, Y.; Su, B.; Liu, Y. High-speed tribology behaviors of aircraft tire tread rubber in contact with pavement. Wear 2021, 486-487, 204071. [Google Scholar] [CrossRef]
- Jarrah, H.R.; Zolfagharian, A.; Hedayati, R.; Serjouei, A.; Bodaghi, M. Nonlinear Finite Element Modelling of Thermo-Visco-Plastic Styrene and Polyurethane Shape Memory Polymer Foams. Actuators 2021, 10, 46. [Google Scholar] [CrossRef]
- Xia, E.; Chen, Z.; Xue, Z.; Qiu, S.; Xu, C.; He, H.; Li, L. An equivalent NVH model of vehicle door seal strip and its application in door vibration problem. Appl. Acoust. 2021, 179, 108063. [Google Scholar] [CrossRef]
- Gudsoorkar, U.; Bindu, R. Computer simulation of hyper elastic re-treaded tire rubber with ABAQUS. Mater. Today Proc. 2021, 43, 1992–2001. [Google Scholar] [CrossRef]
- Mohamedmeki, Z.M.; Esmail, F.J.; Ajeel, E.A. Fatigue life analysis of laminated elastomeric bearing pad. Mater. Today Proc. 2021, 42, 2361–2368. [Google Scholar] [CrossRef]
- Modhej, A.; Zahrai, S.M. Numerical study of visco-hyperelastic damper with high axial damping rubber subjected to harmonic loading. Structures 2021, 29, 1550–1561. [Google Scholar] [CrossRef]
- Franus, A.; Marek, A. Dynamic and static response of a slightly compressible hyperelastic solid. IOP Conf. Ser. Mater. Sci. Eng. 2021, 1015, 012007. [Google Scholar] [CrossRef]
- Huang, P.; Wang, Y.S.; Li, Y.; Tao, J.Y. Analysis of Low Temperature Compression Characteristics of Rubber Seal Strip of Shelter based on ABAQUS. IOP Conf. Ser. Mater. Sci. Eng. 2021, 1043, 032050. [Google Scholar] [CrossRef]
- Carleo, F.; Plagge, J.; Whear, R.; Busfield, J.; Klüppel, M. Modeling the Full Time-Dependent Phenomenology of Filled Rubber for Use in Anti-Vibration Design. Polymers 2020, 12, 841. [Google Scholar] [CrossRef] [PubMed]
- Valiollahi, A.; Shojaeifard, M.; Baghani, M. Closed form solutions for large deformation of cylinders under combined extension-torsion. Int. J. Mech. Sci. 2019, 157–158, 336–347. [Google Scholar] [CrossRef]
- Huang, L.H.; Yang, X.; Gao, J. Study on Microstructure Effect of Carbon Black Particles in Filled Rubber Composites. Int. J. Polym. Sci. 2018, 2018, 2713291. [Google Scholar] [CrossRef]
- Wang, S.; Chester, S.A. Modeling thermal recovery of the Mullins effect. Mech. Mater. 2018, 126, 88–98. [Google Scholar] [CrossRef]
- Wang, S.; Chester, S.A. Experimental characterization and continuum modeling of inelasticity in filled rubber-like materials. Int. J. Solids Struct. 2017, 136–137, 125–136. [Google Scholar] [CrossRef]
- Mooney, M. A Theory of Large Elastic Deformation. J. Appl. Phys. 1940, 11, 582–592. [Google Scholar] [CrossRef]
- Rivlin, R.S. Large elastic deformations of isotropic materials. IV. Further developments of the general theory. Philos. Trans. R. Soc. Lond. Ser. A Math. Phys. Sci. 1948, 241, 379–397. [Google Scholar]
- Kawabata, S.; Matsuda, M.; Tei, K.; Kawai, H. Experimental survey of the strain energy density function of isoprene rubber vulcanizate. Macromolecules 1981, 14, 154–162. [Google Scholar] [CrossRef]
- Matsuda, M.; Kawabata, S.; Kawai, H. Quantitative analysis of the strain energy density function for cis-1,4-polyisoprene rubber vulcanizate. Macromolecules 1981, 14, 1688–1692. [Google Scholar] [CrossRef]
- Matsuda, M.; Kawabata, S.; Kawai, H. Dependence of strain energy density function on cross-link density and degree of swelling for cis-1,4-polyisoprene rubber vulcanizates. Macromolecules 1982, 15, 160–165. [Google Scholar] [CrossRef]
- Yamashita, Y.; Kawabata, S. Approximated form of the strain energy-density function of carbon-black filled rubbers for industrial applications. Nippon Gomu Kyokaishi 1992, 65, 517–528. [Google Scholar] [CrossRef]
- Ogden, R.W. Mechanics of Solids: The Rodney Hill 60th Anniversary Volume; Hopkins, H.G., Sewell, M.J., Eds.; Pergamon Press: Oxford, UK, 1982; p. 499. [Google Scholar]
- Mai, T.-T.; Morishita, Y.; Urayama, K. Novel features of the Mullins effect in filled elastomers revealed by stretching measurements in various geometries. Soft Matter 2017, 13, 1966–1977. [Google Scholar] [CrossRef] [PubMed]
- Iba, H.; Nishikawa, Y.; Urayama, K. Nonlinear stress-strain behavior of elastomer foams investigated by various types of deformation. Polymer 2016, 83, 190–198. [Google Scholar] [CrossRef]
- Fujikawa, M.; Maeda, N.; Yamabe, J.; Kodama, Y.; Koishi, M. Determining Stress–Strain in Rubber with In-Plane Biaxial Tensile Tester. Exp. Mech. 2014, 54, 1639–1649. [Google Scholar] [CrossRef]
- Shen, S.; Zhong, D.; Qu, S.; Xiao, R. A hyperelastic-damage model based on the strain invariants. Extreme Mech. Lett. 2022, 52, 101641. [Google Scholar] [CrossRef]
- Akbari, R.; Morovati, V.; Dargazany, R. Reverse physically motivated frameworks for investigation of strain energy function in rubber-like elasticity. Int. J. Mech. Sci. 2022, 221, 107110. [Google Scholar] [CrossRef]
- Melly, S.K.; Liu, L.; Liu, Y.; Leng, J. A review on material models for isotropic hyperelasticity. Int. J. Mech. Syst. Dyn. 2021, 1, 71–88. [Google Scholar] [CrossRef]
- Khiêm, V.; Le Cam, J.-B.; Charlès, S.; Itskov, M. Thermodynamics of strain-induced crystallization in filled natural rubber under uni- and biaxial loadings, Part I: Complete energetic characterization and crystallinity evaluation. J. Mech. Phys. Solids 2022, 159, 104701. [Google Scholar] [CrossRef]
- Arunachala, P.K.; Rastak, R.; Linder, C. Energy based fracture initiation criterion for strain-crystallizing rubber-like materials with pre-existing cracks. J. Mech. Phys. Solids 2021, 157, 104617. [Google Scholar] [CrossRef]
- Liao, Z.; Yang, J.; Hossain, M.; Chagnon, G.; Jing, L.; Yao, X. On the stress recovery behaviour of Ecoflex silicone rubbers. Int. J. Mech. Sci. 2021, 206, 106624. [Google Scholar] [CrossRef]
- Anssari-Benam, A.; Bucchi, A. A generalised neo-Hookean strain energy function for application to the finite deformation of elastomers. Int. J. Non-Linear Mech. 2020, 128, 103626. [Google Scholar] [CrossRef]
- Van Arsdale, W.E. A model for rubber elasticity. Rheol. Acta 2020, 59, 905–920. [Google Scholar] [CrossRef]
- Rajesh, A.; Narayana, B.S.; Sreeramulu, K. Characterization of Hyperelastic Material Using Experimental Data and Finite Element Simulation. Mater. Today Proc. 2020, 24, 1660–1669. [Google Scholar] [CrossRef]
- Blaise, B.B.; Bien-Aimé, L.K.M.; Betchewe, G.; Marckman, G.; Beda, T. A phenomenological expression of strain energy in large elastic deformations of isotropic materials. Iran. Polym. J. 2020, 29, 525–533. [Google Scholar] [CrossRef]
- Pourmodheji, R.; Qu, S.; Yu, H. Energy-Based Strength Theory for Soft Elastic Membranes. J. Appl. Mech. 2019, 86, 071008. [Google Scholar] [CrossRef]
- Chen, X.; Meng, L.; Zhang, W.; Ye, K.; Xie, C.; Wang, D.; Chen, W.; Nan, M.; Wang, S.; Li, L. Frustrating Strain-Induced Crystallization of Natural Rubber with Biaxial Stretch. ACS Appl. Mater. Interfaces 2019, 11, 47535–47544. [Google Scholar] [CrossRef]
- López-Campos, J.A.; Segade, A.; Fernández, J.R.; Casarejos, E.; Vilán, J.A. Behavior characterization of visco-hyperelastic models for rubber-like materials using genetic algorithms. Appl. Math. Model. 2018, 66, 241–255. [Google Scholar] [CrossRef]
- Sadeg, L.; Naït-Abdelaziz, M.; Zaïri, F.; Ben Hassine, M.; Ismail, J.; Qu, Z.; Aberkane, M. A large-strain intrinsic default-based fracture criterion for polymers: Assessment in biaxial loading and application to ageing. Fatigue Fract. Eng. Mater. Struct. 2017, 40, 1201–1213. [Google Scholar] [CrossRef]
- Uddin, S.; Ju, J. Multiscale modeling of a natural rubber: Bridging a coarse-grained molecular model to the rubber network theory. Polymer 2016, 101, 34–47. [Google Scholar] [CrossRef]
- Anssari-Benam, A.; Bucchi, A.; Saccomandi, G. On the central role of the invariant I2 in nonlinear elasticity. Int. J. Eng. Sci. 2021, 163, 103486. [Google Scholar] [CrossRef]
- Zheng, D.; Lin, S.; Ni, J.; Zhao, X. Fracture and fatigue of entangled and unentangled polymer networks. Extreme Mech. Lett. 2022, 51, 101608. [Google Scholar] [CrossRef]
- Available online: https://www.shinetsusilicone-global.com/catalog/pdf/lims_e.pdf (accessed on 8 May 2023).
- Available online: https://www.keskato.co.jp/contents/katotech-catalog-bx5450-jp-43.pdf (accessed on 8 May 2023).
- Available online: https://www.mech-da.co.jp/services/programs01.html (accessed on 8 May 2023).
- James, A.G.; Green, A.; Simpson, G.M. Strain energy functions of rubber. I. Characterization of gum vulcanizates. J. Appl. Polym. Sci. 1975, 19, 2033–2058. [Google Scholar] [CrossRef]
- Nagata, T.; Kobayashi, T.; Yamashita, Y. 128 Estimation of Biaxial Extension Curve from Uniaxial measurement of Rubber Materials. Proc. Comput. Mech. Conf. 2001, 14, 55–56. [Google Scholar] [CrossRef]
















| μ1 | μ2 | μ3 | α1 | α2 | α3 | |
| Same sheet | 5.97 × 10−4 | 7.75 × 10−1 | −7.25 × 10−2 | 9.56 × 10−0 | 1.10 × 10−0 | −1.84 × 10−0 |
| Separate sheets | 8.35 × 10−3 | 1.19 × 10−0 | −5.74 × 10−4 | 6.17 × 10−0 | 8.35 × 10−1 | −5.04 × 10−0 |
| C10 | C01 | C11 | C20 | C30 | ||
| Same sheet | 1.71 × 10−1 | 7.69 × 10−2 | −1.47 × 10−2 | 2.98 × 10−3 | 4.51 × 10−3 | |
| Separate sheets | 2.16 × 10−1 | 5.19 × 10−2 | −1.12 × 10−2 | −1.28 × 10−3 | 4.42 × 10−3 | |
| Repeat | μ1 | μ2 | μ3 | α1 | α2 | α3 |
| 1 | 1.57 × 10−0 | 6.27 × 10−2 | −2.95 × 10−4 | 5.08 × 10−1 | 3.79 × 10−0 | −5.48 × 10−0 |
| 2 | 6.68 × 10−1 | 5.49 × 10−2 | −5.82 × 10−5 | 9.89 × 10−1 | 3.98 × 10−0 | −7.37 × 10−0 |
| 3 | 7.53 × 10−3 | 6.88 × 10−1 | −3.88 × 10−5 | 6.49 × 10−0 | 1.17 × 10−0 | −7.52 × 10−0 |
| 5 | 6.04 × 10−1 | 7.89 × 10−5 | −6.54 × 10−5 | 1.46 × 10−0 | 1.34 × 10+1 | −6.84 × 10−0 |
| 10 | −2.81 × 10−2 | 4.22 × 10−1 | −1.50 × 10−4 | 1.78 × 10−0 | 2.12 × 10−0 | −6.51 × 10−0 |
| Repeat | C10 | C01 | C11 | C20 | C30 | |
| 1 | 2.17 × 10−1 | 4.27 × 10−2 | −7.53 × 10−3 | 1.34 × 10−3 | 2.87 × 10−3 | |
| 2 | 1.91 × 10−1 | 5.24 × 10−2 | −2.40 × 10−2 | −2.44 × 10−3 | 1.13 × 10−2 | |
| 3 | 1.88 × 10−1 | 4.85 × 10−2 | −2.30 × 10−2 | −2.88 × 10−3 | 1.09 × 10−2 | |
| 5 | 1.89 × 10−1 | 4.66 × 10−2 | −2.32 × 10−2 | −2.22 × 10−3 | 1.07 × 10−2 | |
| 10 | 1.86 × 10−1 | 4.25 × 10−2 | −2.16 × 10−2 | −2.06 × 10−3 | 1.00 × 10−2 | |
| Repetitions | C10 | C01 | C11 | C20 | C30 |
|---|---|---|---|---|---|
| 100 | 1.82 × 10−1 | 2.83 × 10−2 | −1.88 × 10−2 | −1.06 × 10−3 | 8.12 × 10−3 |
| 10,000 | 1.73 × 10−1 | 1.20 × 10−2 | −1.28 × 10−2 | −1.00 × 10−4 | 6.00 × 10−3 |
| Repeat | μ1 | μ2 | μ3 | α1 | α2 | α3 |
| 11 (10 times equal repeat) | 3.55 × 10−1 | 5.00 × 10−4 | −4.13 × 10−3 | 2.11 × 10−0 | 2.58 × 10−0 | −3.67 × 10−0 |
| 11 (10 times indivisible repeat) | 3.42 × 10−1 | 8.54 × 10−2 | −1.35 × 10−4 | 1.40 × 10−0 | 3.38 × 10−0 | −5.98 × 10−0 |
| Repeat | C10 | C01 | C11 | C20 | C30 | |
| 11 (10 times equal repeat) | 2.03 × 10−1 | 6.99 × 10−3 | −2.10 × 10−3 | −8.68 × 10−3 | 2.89 × 10−3 | |
| 11 (10 times indivisible repeat) | 1.97 × 10−1 | 1.48 × 10−2 | −8.71 × 10−3 | −3.48 × 10−3 | 4.78 × 10−3 | |
| C10 | C01 | Cnm | n | m | |
|---|---|---|---|---|---|
| 1 | 0.22 | 0.03 | 0.001 | 2 | −0.2 |
| 11 (equal) | 0.19 | 0.01 | 0.001 | 2 | −0.2 |
Disclaimer/Publisher’s Note: The statements, opinions and data contained in all publications are solely those of the individual author(s) and contributor(s) and not of MDPI and/or the editor(s). MDPI and/or the editor(s) disclaim responsibility for any injury to people or property resulting from any ideas, methods, instructions or products referred to in the content. |
© 2023 by the authors. Licensee MDPI, Basel, Switzerland. This article is an open access article distributed under the terms and conditions of the Creative Commons Attribution (CC BY) license (https://creativecommons.org/licenses/by/4.0/).
Share and Cite
Yamashita, Y.; Uematsu, H.; Tanoue, S. Calculation of Strain Energy Density Function Using Ogden Model and Mooney–Rivlin Model Based on Biaxial Elongation Experiments of Silicone Rubber. Polymers 2023, 15, 2266. https://doi.org/10.3390/polym15102266
Yamashita Y, Uematsu H, Tanoue S. Calculation of Strain Energy Density Function Using Ogden Model and Mooney–Rivlin Model Based on Biaxial Elongation Experiments of Silicone Rubber. Polymers. 2023; 15(10):2266. https://doi.org/10.3390/polym15102266
Chicago/Turabian StyleYamashita, Yoshihiro, Hideyuki Uematsu, and Shuichi Tanoue. 2023. "Calculation of Strain Energy Density Function Using Ogden Model and Mooney–Rivlin Model Based on Biaxial Elongation Experiments of Silicone Rubber" Polymers 15, no. 10: 2266. https://doi.org/10.3390/polym15102266
APA StyleYamashita, Y., Uematsu, H., & Tanoue, S. (2023). Calculation of Strain Energy Density Function Using Ogden Model and Mooney–Rivlin Model Based on Biaxial Elongation Experiments of Silicone Rubber. Polymers, 15(10), 2266. https://doi.org/10.3390/polym15102266
