Next Article in Journal
Hemostasis Evaluation of Antibacterial and Highly Absorbent Composite Wound Dressings in Animal Hemostasis Models
Next Article in Special Issue
Reusable Macroporous Oil Sorbent Films from Plastic Wastes
Previous Article in Journal
Influence of Non-Rubber Components on the Properties of Unvulcanized Natural Rubber from Different Clones
Previous Article in Special Issue
In-Situ Synthesis of TiO2@GO Nanosheets for Polymers Degradation in a Natural Environment
 
 
Font Type:
Arial Georgia Verdana
Font Size:
Aa Aa Aa
Line Spacing:
Column Width:
Background:
Article

Methanolysis of Poly(lactic Acid) Using Catalyst Mixtures and the Kinetics of Methyl Lactate Production

1
School of Chemical Engineering, University of Birmingham, Edgbaston, Birmingham B15 2TT, UK
2
Division of Chemical and Energy Engineering, London South Bank University, 103 Borough Road, London SE1 0AA, UK
3
School of Chemistry, University of Birmingham, Edgbaston, Birmingham B15 2TT, UK
*
Author to whom correspondence should be addressed.
Polymers 2022, 14(9), 1763; https://doi.org/10.3390/polym14091763
Submission received: 6 April 2022 / Revised: 19 April 2022 / Accepted: 21 April 2022 / Published: 26 April 2022
(This article belongs to the Special Issue Chemical Recycling of Polymers)

Abstract

:
Polylactic acid (PLA) is a leading bioplastic of which the market share is predicted to increase in the future; its growing production capacity means its end-of-life treatment is becoming increasingly important. One beneficial disposal route for PLA is its chemical recycling via alcoholysis. The alcoholysis of PLA leads to the generation of value-added products alkyl lactates; this route also has potential for a circular economy. In this work, PLA was chemically recycled via methanolysis to generate methyl lactate (MeLa). Four commercially available catalysts were investigated: zinc acetate dihydrate (Zn(OAc)2), magnesium acetate tetrahydrate (Mg(OAc)2), 4-(dimethylamino)pyridine (DMAP), and triazabicyclodecene (TBD). Dual catalyst experiments displayed an increase in reactivity when Zn(OAc)2 was paired with TBD or DMAP, or when Mg(OAc)2 was paired with TBD. Zn(OAc)2 coupled with TBD displayed the greatest reactivity. Out of the single catalyst reactions, Zn(OAc)2 exhibited the highest activity: a higher mol% was found to increase reaction rate but plateaued at 4 mol%, and a higher equivalent of methanol was found to increase the reaction rate, but plateaued at 17 equivalents. PLA methanolysis was modelled as a two-step reversible reaction; the activation energies were estimated at: Ea1 = 25.23 kJ∙mol−1, Ea2 = 34.16 kJ∙mol−1 and Ea-2 = 47.93 kJ∙mol−1.

Graphical Abstract

1. Introduction

Polylactic acid (PLA) makes up a growing 18.9% of the bioplastic market. PLA is defined as a bioplastic, as it is biodegradable and its feedstock is a renewable resource [1]. Although PLA has comparable tensile strength and tensile modulus to fossil-based plastics, it is limited by its low ultimate strain, its high gas permeation, and its relatively expensive production cost [2,3,4]. Despite these limitations, PLA is still a promising polymer with the potential to replace poly(styrene) (6% of the total plastic production) as a more environmentally friendly material [5]. By using blowing agents such as CO2, it is possible to manufacture low-density expanded PLA as a sustainable alternative to expanded poly(styrene) [6].
In practice, the rate of biodegradation of PLA in the environment is relatively slow; after one year in the ocean, PLA only biodegrades with a mass loss of approximately 8% [7]. However, in a controlled composting environment with high temperature and humidity, PLA fully degrades in less than 90 days [8]. The main disadvantage of biodegrading PLA is that the imbedded energy of the polymer’s molecular structure is lost. Disposal routes that retain the polymer’s molecular structure include mechanical and chemical recycling methods. Comparing the life cycle assessment of these disposal routes, mechanical recycling shows the lowest environmental impact, followed by chemical recycling and composting [9]. On the other hand, mechanically recycling PLA causes the degradation of its mechanical properties, reducing the polymer’s chain length and limiting the number of times that PLA can be mechanically recycled [10]. Low-grade PLA that can no longer be mechanically recycled could be chemically recycled instead of composted. Chemical recycling allows for the generation of value-added products, or to recover monomers that can subsequently be used for the synthesis of virgin polymer [11,12].
Chemical recycling is a term used to describe a variety of chemical processes, which convert plastic waste into monomers or directly into other value-added products. Depending on the polymer type, each chemical recycling method will have advantages and disadvantages. The more common chemical depolymerisation methods for PLA include pyrolysis, hydrolysis, and alcoholysis. Pyrolysis is generally not favored, as it has a relatively high activation energy (Ea) = 119 kJ∙mol−1 [13]. Recycling PLA via hydrolysis generates the monomer lactic acid (LA) as the product; this route avoids the relatively expensive purification costs required to produce LA from glucose fermentation [14,15]. Furthermore, LA production from the hydrolysis of PLA has a lower carbon footprint; the energy required to generate LA from the fermentation of corn glucose has been estimated as 55 MJ∙kg−1 of LA produced, versus only 14 MJ∙kg−1 of LA produced via hydrolysis [16].
Arguably, a more attractive chemical recycling route is alcoholysis, which generates the value-added product alkyl lactate (AL). ALs are versatile green solvents that are biodegradable and have low toxicity. ALs have the potential to replace many fossil-based chemicals in applications, such as pharmaceuticals, agriculture, food, coating, cosmetic industries, plasticizers, and solvents [3,17,18]. Depending on the alcohol nucleophile used, different ALs are formed, methanol (MeOH) produces methyl lactate (MeLa); ethanol produces ethyl lactate, propanol produces propyl lactate, etc. Alcoholysis adds value to the PLA supply chain; the market price for ethyl lactate is almost double that of PLA [19,20]. It is also possible to convert ALs to lactide, which allows for a circular PLA production after chemical recycling via alcoholysis [21,22]. Life cycle assessments have shown the alcoholysis of PLA to have clear environmental benefits when compared to hydrolysis or incineration [23].
Several catalysed processes for the alcoholysis of PLA have been reported. For example, DuPont depolymerised PLA into various ALs using H2SO4 as the catalyst, while Whitelaw et al. reported the mild methanolysis of PLA using Zr(IV)/Hf(IV)-Salalen complexes [24,25]. The alcoholysis of PLA at 50–130 °C using Zn Schiff-based complexes has also been reported in MeOH, ethanol, propanol, and butanol [26,27]. Thus, showing the versatility of alcoholysis to produce various ALs. Several studies have used ionic liquids as catalysts for the alcoholysis of PLA. These catalysts have been reported to have a high activity towards alcoholysis as well other desirable features, such as strong solvent power for organic and inorganic compounds, non-volatility, good thermal stability, and a high level of reusability [28,29,30]. It is also well reported in the literature that the metal acetates zinc acetate dihydrate (Zn(OAc)2), and magnesium acetate tetrahydrate (Mg(OAc)2), as well as the organocatalysts 4-(dimethylamino)pyridine (DMAP), and triazabicyclodecene (TBD), which are all effective catalysts for transesterification [31,32,33,34,35,36,37]. Furthermore, the recent literature investigated it using dual catalysts (Lewis acid-base pairs) for polyester recycling and found that they outperformed single catalysis [38,39,40]. A synergistic effect has been reported for Zn(OAc)2 coupled with DMAP, resulting in an increased polyester depolymerization rate [39,40]. These Lewis acid-base pairs were prepared by simple physical interactions, allowing for dual catalyst systems to be a scalable process relevant to the industry [38].
The aim of this work was to further investigate the effect of different commercially available catalysts and reaction conditions including catalyst loading, MeOH concentration, stirring speed, and temperature on the overall rate of methanolysis. Reaction kinetic modeling was carried out by fitting a series reaction model with a reversible second step to the concentration profiles, Arrhenius plots were derived from the variable temperature experiments. Four commercial catalysts were investigated: Zn(OAc)2, Mg(OAc)2, TBD, and DMAP. These catalysts were studied individually and in mixtures; the increased reactivity displayed with Lewis acid-base pairs could be significant for the scaling up of the process for industrial application.

2. Materials and Methods

2.1. Materials and Apparatus

PLA pellets supplied by NatureWorks (Ingeo™ 6202D, per specification weight average molecular weight 44350 g∙mol−1) were used without pre-treatment. Previous work concluded that the rate of degradation of PLA is independent of molecular weight, thus only one molecular weight was used for the experiments [26]. All reactants were HPLC grade; methanol (MeOH) ≥ 99.8%, and tetrahydrofuran (THF) ≥ 99.8% were purchased from Fisher Scientific, Loughborough UK. Zn(OAc)2, Mg(OAc)2, TBD, and DMAP were purchased from Sigma-Aldrich, Gillingham UK. All chemicals were used as received. Helium CP grade (≥99.999% purity), nitrogen (oxygen-free, ≥99.998%) and argon (≥99.998%) were purchased from BOC, Woking, UK.
PLA methanolysis was carried out in a 300 mL stirred autoclave with oil filled heating jacket (Parr model 4566, SciMed, Stockport, UK). The reactor temperature was controlled by a refrigerated and heating circulator (IKA CBC5-Control, Oxford, UK), connecting an oil bath to the reactor’s jacket.

2.2. Procedure for Experiments Reported in Section 3.1

The procedure for the process optimization of PLA methanolysis using Zn(OAc)2 experiments was as follows: 2 g of PLA, 2 mol% of Zn(OAc)2 (relative to mol of PLA), and THF were added to the autoclave, which was then sealed and degassed with N2 for 5 min. The amount of THF depended on the amount of MeOH; enough THF was added so that each reaction volume was 50 mL total. Afterward, the temperature was brought to 130 °C for a further 10 min to ensure that all the PLA pellets had dissolved. Several stirring speeds were tested (0 rpm, 300 rpm, 600 rpm). Various amounts of MeOH (5.6 mL ≈ 5 equivalents, 10 mL ≈ 9 equivalents, 15 mL ≈ 13 equivalents or 19 mL ≈ 17 equivalents) in different runs were then fed into the reactor via an HPLC pump at a rate of 10 mL∙min−1. Reaction samples were taken periodically and tested via Agilent 6890N gas chromatograph (GC, Agilent Cheadle, UK).

2.3. Procedure for Experiments Reported in Section 3.2

The procedure for PLA methanolysis using mixed catalysts was as follows: 2 g PLA, various ratios of catalysts (Zn(OAc)2, Mg(OAc)2, TBD and DMAP) always totaling 2 mol% (relative to mol of PLA), and either 40 mL or 31 mL of THF (depending on MeOH amount) to make up the reaction volume to 50 mL, was added to the autoclave, which was then sealed and degassed with N2 for 5 min. Afterwards, the temperature was brought to 130 °C for a further 10 min to ensure that all the PLA pellets had dissolved. Two stirring speeds were tested: 300 rpm or 600 rpm. Two MeOH amounts were tested; 10 mL ≈ 9 equivalents and 19 mL ≈ 17 equivalents, which were fed into the reactor via an HPLC pump at a rate of 10 mL∙min−1. Reaction samples were taken periodically and tested via gas chromatograph (GC).

2.4. Procedure for Experiments Reported in Section 3.3

The procedure for PLA methanolysis using Zn(OAc)2 described was as follows: 2 g of PLA, 2 mol% of Zn(OAc)2, and 31 mL of THF were added to the autoclave, which was then sealed and degassed with N2 for 5 min. A stirring speed of 600 rpm was used. A range of temperatures were investigated 90–130 °C. Once the reactor had reached the desired temperature, 19 mL ≈ 17 equivalents of MeOH were fed into the reactor via an HPLC pump at a rate of 10 mL∙min−1. Reaction samples were taken periodically and tested by 1H NMR spectroscopic analysis.

2.5. GC and NMR Spectroscopy

Methyl lactate (MeLa) concentration was assessed by a GC coupled with a Flame-Ionization Detector (FID) (Agilent Technologies, 6890N, Cheadle, UK). Samples were injected by an autosampler (Agilent Technologies, 7683B. Cheadle, UK), to a 30 m × 0.32 mm ID, 0.25 µm film thickness HP-5 Agilent capillary column using helium as a carrier and make-up gas with the following conditions: inlet temperature of 150 °C, 1 µL injection volume, 1:400 split ratio, 250 °C detector temperature, with an initial oven temperature of 65 °C (held for 4 min), then 100 °C∙min−1 ramp to 195 °C (held for 1 min), followed by 100 °C∙min−1 ramp to 230 °C (held for 5 min). The initial flow rate was 0.8 mL∙min−1 (held for 5 min), then 100 mL∙min−1 ramp to 3 mL∙min−1 (held for 5 min). A multiple-point external standard calibration curve was prepared using standard solutions covering the range of MeLa concentrations. A linear response of the detector was determined for MeLa (R2 = 0.998).
1H NMR spectra were measured using a 400 MHz Bruker Avance II spectrometer(Bruker Coventry UK). Samples were dissolved in CDCl3 and chemical shifts were referenced against tetramethylsilane (TMS). The experiments were monitored by determining the relative concentrations of methine functional groups calculated from NMR spectra. The methine protons were in one of three different environments: internal methine (Int) (δ = 5.09–5.21 ppm), chain-end methine (CE) (δ = 4.30−4.39 ppm/5.09−5.21 ppm), or MeLa methine (δ = 4.23−4.29 ppm). Selectivity and yield of MeLa as functions of temperature are presented, as well as the estimated kinetic parameters of the reaction.

2.6. Kinetic Modelling

The 1H NMR spectroscopic data were modeled using the reaction mechanism shown in Equation (1), previously discussed in Reference [26]. The alcohol nucleophile was in excess so was not included in the model. In Equation (1), the internal methine protons along the PLA chains are represented by (Int), the chain-end methine protons of the oligomer fragments are represented by (CE), and the methyl lactate methine protons of the product are represented by (MeLa). The differential Equations (2)–(4) were solved in MATLAB. PLA was depolymerized through a two-step reaction, with the second step being reversible. The coefficient k1 represents the random attack of an ester linkage by a MeOH nucleophile; each cleavage results in the generation of two CE oligomers. The coefficient k2 represents the forward equilibrium step, which is the formation of the product MeLa from CE oligomers; this step occurs when MeOH attacks an ester linkage of an oligomer adjacent to its CE. The reverse equilibrium step represented by coefficient k-2, occurs when the alcohol group of MeLa attacks an ester linkage of the CE oligomer, and itself becomes a larger oligomer.
I n t   k 1   C E   k 2 k 2     M e L a
d I n t d t = k 1 I n t
d C E d t = k 1 I n t k 2 C E + k 2 M e L a  
d M e L a d t = k 2 C E k 2 M e L a

3. Results and Discussion

3.1. PLA Methanolysis Using Zn(OAc)2

These experiments were carried out to optimize PLA methanolysis in the Parr reactor; parameters such as catalyst loading, stirring speed and MeOH molar equivalents were explored. It was decided to use Zn(OAc)2 for these optimization experiments, as the literature often reports Zn(OAc)2 as having the best performance among metal acetates [41]. First, the effect of catalyst loading on the MeLa concentration was investigated as shown in Figure 1. Methanolysis was carried out at 300 rpm. A higher mol% of Zn(OAc)2 resulted in shorter reaction times in order to reach a MeLa concentration of >0.05 g∙mL−1. Increasing the catalyst loading from 1 mol% to 2 mol% resulted in the largest increase of MeLa production rate. Increasing the catalyst loading from 2 mol% to 3 mol% also increased the MeLa production rate but less so, while changing the loading from 3 mol% to 4 mol% increased the MeLa production rate the least. A higher mol% of Zn(OAc)2 resulted in a smaller standard error between the repeats (2–4 repeats) for each experiment, probably due to human error, as weighing out smaller amounts of catalyst has more inaccuracy. For the mixed catalyst experiments, it was therefore decided to use 2 mol% of the catalyst, as it was assumed that the other catalysts would behave similarly in terms of catalyst loading and their effect on reactivity. Moreover, 2 mol% loading of Zn(OAc)2 was a balance between using the least amount of catalyst, while still obtaining the higher MeLa production rate from higher loadings.
In order to further optimize the methanolysis of PLA using Zn(OAc)2, the effect of stirring speed on the rate of MeLa production was studied (The range of stirring speeds tested are shown in Figure S1). A higher stirring speed of 600 rpm resulted in a MeLa concentration of >0.05 g∙ml−1 in the shortest times, likely owing to better dispersion of catalyst throughout the vessel, improved rates of mixing, and mass transfer. A higher stirring speed also resulted in a smaller standard error between the repeats (2–4 repeats) for each experiment. Even without stirring (at 0 rpm), the reaction reached completion at 4 h. It was assumed that the other catalysts would behave similarly in terms of stirring speed and its effect on reactivity, so it was decided to use 600 rpm for the mixed catalyst experiments.
The final parameter investigated to optimize the reaction was the molar equivalent of MeOH, Figure 2. A higher equivalent of MeOH resulted in shorter reaction times in order to reach a MeLa concentration of >0.05 g∙mL−1. Increasing the molar equivalents of MeOH from 5 to 9 resulted in the largest increase in MeLa production rate. Increasing the equivalents from 9 to 13 also increased the MeLa production rate but by a smaller amount, while increasing the equivalents from 13 to 15 increased the MeLa production rate the least. The classic Lewis acid mechanism for transesterification using Zn(OAc)2, involves the polarization of an ester carbonyl group to the Zn2+ center, which helps facilitate the nucleophilic attack [35]. Another study reported that Zn(OAc)2 initiates transesterification through a mechanism that involves the initial coordination of the alcohol nucleophile to the metal center, followed by a carboxylate shift and coordination to the ester group [42]. This mechanism could explain the results that a higher equivalent of MeOH results in greater reactivity. Since Zn(OAc)2 coordinates the alcohol nucleophile, it could be reasoned that a higher equivalent of MeOH means Zn(OAc)2 will have more MeOH molecules in closer proximity, thus increasing the probability of coordination and overall reactivity. This reasoning could also be used to explain why increasing the equivalents of MeOH up to 17 causes the increase in MeLa concentration to plateau. At 17 equivalents, Zn(OAc)2 is fully saturated with MeOH molecules in close proximity; increasing the number of MeOH molecules beyond this limit does not increase the probability of coordination.

3.2. PLA Methanolysis Using Mixed Catalysts

It was decided to test four commercial catalysts for the methanolysis of PLA using the optimized parameters. Mg(OAc)2 was selected as it would allow for a good comparison with Zn(OAc)2. DMAP and TBD were also chosen as both organocatalysts have been reported to be effective for transesterification. Table 1 shows the results for the Methanolysis of PLA using the selected catalysts. Each catalyst was tested at both 9 and 17 equivalents of MeOH and stirring speeds of 300 and 600 rpm. Comparing the catalysts at 9 equivalents of MeOH: Zn(OAc)2 and TBD displayed the highest average initial rate of MeLa production (both 5.37 × 10−4 g∙mL−1∙min−1), followed by Mg(OAc)2 (5.39 × 10−5 g∙mL−1∙min−1), and then DMAP (3.09 × 10−5 g∙mL−1∙min−1). Comparing the catalysts at 17 equivalents of MeOH and 300 rpm: Zn(OAc)2 again displayed the highest average initial rate of MeLa production (1.42 × 10−3 g∙mL−1∙min−1), followed by TBD (5.27 × 10−4 g∙mL−1∙min−1), Mg(OAc)2 (9.09 × 10−5 g∙mL−1∙min−1), and DMAP (4.65 × 10−5 g∙mL−1∙min−1). TBD is the only catalyst that did not display an increase in rate of MeLa production when the equivalent of MeOH was increased. Of the four catalysts Zn(OAc)2 exhibited the largest increase in rate of MeLa production when the equivalent of MeOH was increased. When increasing the stirring speed from 300 to 600 rpm at 17 equivalents of MeOH both Zn(OAc)2 and DMAP displayed a decrease in rate of MeLa production, whereas Mg(OAc)2 and TBD showed an increase in rate of MeLa production. However, at these conditions Zn(OAc)2 again displayed the highest rate of MeLa production (1.19 × 10−3 g∙mL−1∙min−1), closely followed by Mg(OAc)2 (1.09 × 10−3 g∙mL−1∙min−1), then TBD (6.43 × 10−4 g∙mL−1∙min−1), and DMAP significantly slower (2.03 × 10−5 g∙mL−1∙min−1).
It was decided to investigate the effect of catalyst mixtures on the rate of methanolysis. The motivation for this was to find catalyst pairs that have enhanced reactivity in comparison to either catalyst alone. This would unlock the potential to exploit the enhanced reactivity from dual-catalyst systems for industrial chemical recycling, as a greater rate of MeLa production makes PLA alcoholysis more economically feasible. Table 2 shows the results for Methanolysis of PLA using multiple catalysts. In each reaction only 2 mol% total of catalyst was used, all catalysts were dissolved homogenously in the solvent. The initial rate of MeLa production for the dual catalyst Zn(OAc)2/TBD experiment (1.34 × 10−3 g∙mL−1∙min−1) was greater than the rate of MeLa production for the Zn(OAc)2 experiment (1.19 × 10−3 g∙mL−1∙min−1) in Table 1 at the same conditions. The higher rate could be explained by a Lewis acid-base interaction between the two catalysts, this interaction increases the activation of PLA ester carbonyls which helps facilitate the nucleophilic attack needed for depolymerisation [39]. A faster rate is also seen for the dual catalyst Zn(OAc)2/DMAP experiment which had a higher MeLa production rate (1.29 × 10−3 g∙mL−1∙min−1) than Zn(OAc)2 alone (1.19 × 10−3 g∙mL−1∙min−1), the faster rate for the dual experiment could again be explained by a Lewis acid-base interaction that aids the reaction.
The Lewis acid-base interaction is not present for the dual Zn(OAc)2/Mg(OAc)2 experiment which had a slower MeLa production rate (6.87 × 10−4 g∙mL−1∙min−1) than Zn(OAc)2 alone (1.19 × 10−3 g∙mL−1∙min−1), or Mg(OAc)2 alone (1.09 × 10−3 g∙mL−1∙min−1). Likewise, the beneficial Lewis acid-base interaction is not present for the dual TBD/DMAP experiment; its MeLa production rate (2.84 × 10−4 g∙mL−1∙min−1) was slower than the MeLa production rate for TBD alone (6.43 × 10−4 g∙mL−1∙min−1). If the pKa difference between the two catalysts is great enough then proton transfer occurs, forming a stable acid-base complexion capable of enhancing the reaction [38]. As Zn(OAc)2 and Mg(OAc)2 have a similar pKa (4.54 and 8 respectively) no stable complexion forms, which explains why the dual Zn(OAc)2/Mg(OAc)2 experiment displayed a slower MeLa production rate than Zn(OAc)2 alone. Likewise, TBD and DMAP have a similar pKa (15.2 and 9.6 respectively) so no stable acid-base complexion forms, thus the dual TBD/DMAP experiment had a slower MeLa production rate than TBD alone.
The dual catalyst Mg(OAc)2/TBD experiment displayed a higher rate of MeLa production (1.36 × 10−3 g∙mL−1∙min−1) compared to Mg(OAc)2 alone (1.09 × 10−3 g∙mL−1∙min−1) in Table 1 at the same conditions. Mg(OAc)2 and TBD have a great enough difference in pKa (8 and 15.2 respectively) to form a stable acid-base complexion. This complexion enhances the reactivity, which is why the dual Mg(OAc)2/TBD experiment showed a higher MeLa production rate than Mg(OAc)2 alone. However, the enhancing catalyst complexion is not present for the dual catalyst Mg(OAc)2/DMAP experiment, which displayed a slower MeLa production rate (8.44 × 10−4 g∙mL−1∙min−1) than Mg(OAc)2 alone (1.09 × 10−3 g∙mL−1∙min−1). As Mg(OAc)2 and DMAP have a similar pKa (8 and 9.6 respectively) no stable catalyst complexion can form. None of the experiments that use three or four catalysts displayed higher rates when compared to dual catalyst experiments.

3.3. Conversion, Selectivity, and Yield of MeLa

Out of the four catalysts, Zn(OAc)2 produced the highest concentration of MeLa in the shortest time when tested individually, further studies were performed using Zn(OAc)2 alone to investigate the reaction kinetics. According to Equation (1), there are three possible environments for methine functional groups during the reaction: Int (5.09–5.21 ppm), CE (4.30–4.39 ppm/5.09–5.21 ppm), or MeLa (4.23–4.29 ppm). This enabled the determination of the reaction progress, by monitoring the relative concentration of each methine environment via 1H NMR spectroscopy. Reaction samples were dissolved in CDCl3. Figure 3 shows the stacked spectra of a methanolysis experiment at 120 °C, the relative concentration of each methine environment is displayed at 10 min, 40 min, and 90 min.
Conversions of Int groups (XInt), MeLa selectivity (SMeLa), and MeLa yield (YMeLa) were calculated according to Equations (5)–(7),
X I n t = I n t 0 I n t I n t 0
S M e L a = M e L a I n t 0 I n t
Y M e L a = S M e L a X I n t
Int0 is the initial concentration of the Int groups (100%). Conversion selectivity and yield of MeLa were calculated at 60 min. Averages for XInt, SMeLa and YMeLa at each temperature were determined to allow for an easier comparison, as shown in Table 3. When comparing the averages, there is a clear trend that a higher temperature results in a higher Int conversion, a higher MeLa selectivity, and a higher MeLa yield. The result concurs with the Arrhenius model; a higher temperature increases the average kinetic energy of the reactant molecules, hence a larger proportion of molecules will overcome the activation energy barrier to form the product MeLa. At 130 °C the average Int conversion is 100% and the average MeLa selectivity and yield is 81%, the remaining 19% are CE oligomers.

3.4. Arrhenius Temperature-Dependent Parameters

1H NMR spectroscopy was used to determine the relative concentrations of Int, CE, and MeLa methine groups during each experiment. The concentrations were fitted to the kinetic model described in Equation (1), the resulting rate equations were solved numerically in MATLAB producing estimates for the rate coefficients. Two typical reaction profiles are shown in Figure 4. Figure 4a highlights that methanolysis at 130 °C generates maximum concentration of 40% for CE intermediates at 15 min, while 100% conversion of Int groups is reached at 60 min. Figure 4b shows that methanolysis at 120 °C produces a maximum concentration of 39% for CE intermediates at 15 min, while 100% conversion of Int groups is not reached until 90 min. The resulting rate coefficients k1 = 0.08433, 0.06672 (min−1), k2 = 0.06757, 0.06492 (min−1), and k-2 = 0.01184, 0.01037 (min−1), for 130 °C and 120 °C respectively (Table S1 in Supplementary Material shows fitted rate coefficients at all temperatures investigated). Both reaction profiles show good fits for the experimental data to the kinetic model.
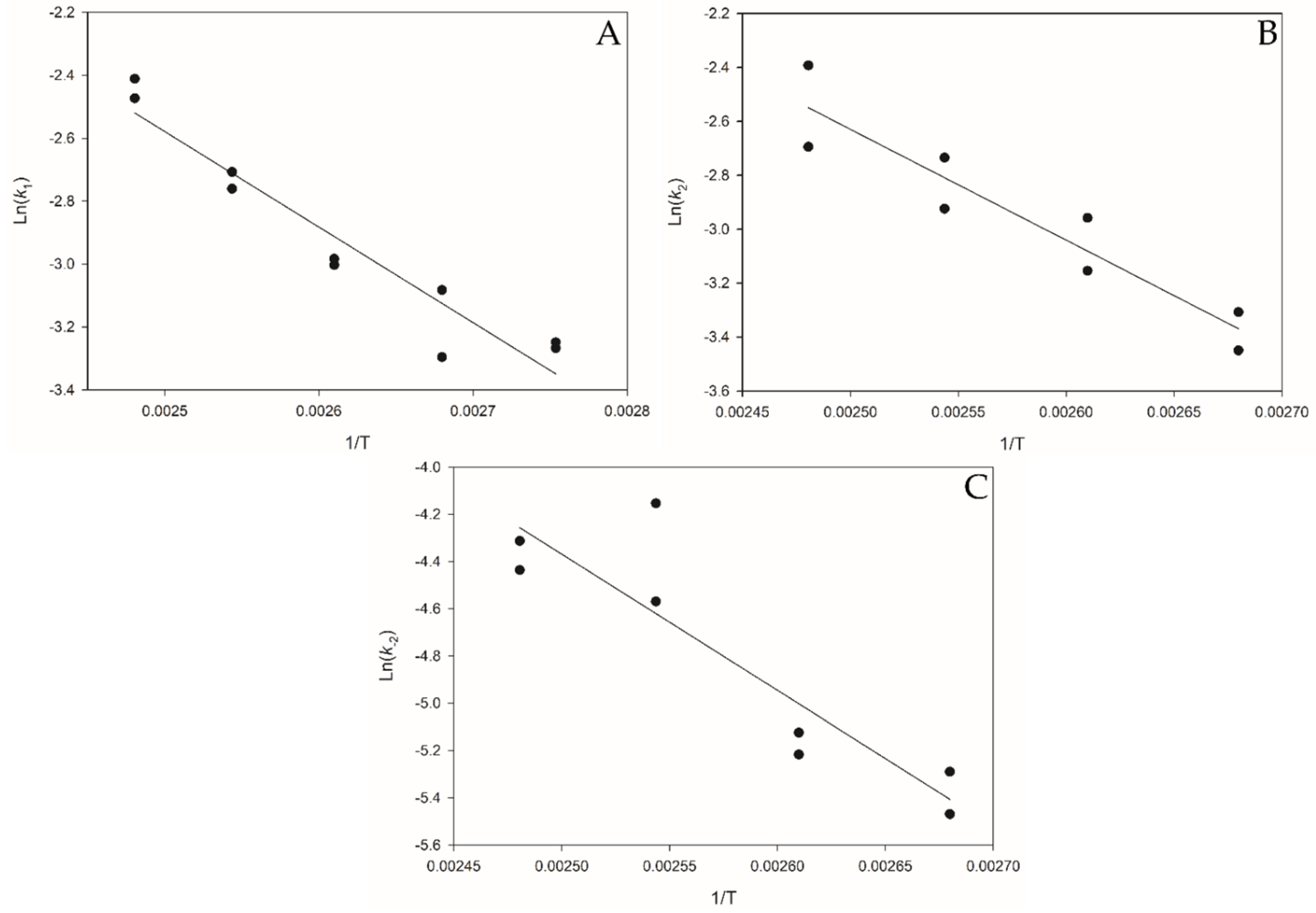
The rate coefficients were used to generate the Arrhenius plots shown in Figure 5. The Arrhenius plots Figure 5B and C only include the temperature range 100–130 °C as this produced the best fit. The activation energies for each reaction step were estimated as Ea1 = 25.23 ± 6.16 kJ∙mol−1; Ea2 = 34.16 ± 12.2 kJ∙mol−1 and Ea-2 = 47.93 ± 22.84 kJ∙mol−1. The estimated activation energies highlight that Ea1 has the smallest barrier for the initial cleavage of a PLA chain to an intermediate CE. As k1 > k2, PLA chains are rapidly converted to CE oligomers which then slowly forms the product MeLa, step 2 is the rate determining step of the overall reaction. Since Ea-2 has a higher barrier than Ea2, it indicates that the reverse reaction MeLa to CE occurs slower than CE to MeLa; the equilibrium lies further to the right confirmed by the maximum relative concentration of MeLa reaching approximately 90% at reaction completion.
Comparisons for the estimated Ea1 in this study can be made with literature values. Song et al. reported the methanolysis of PLA using ionic liquid 1-butyl-3-methylimidazolium acetate ([Bmim][Ac]) as the catalyst, depolymerisation was considered to proceed by first-order kinetics with an activation energy of 38.29 kJ∙mol−1 [28]. Also reported is the methanolysis of PLA using [Bmim][OAc]-Zn(OAc)2, proceeding by first-order kinetics but with a lower activation energy 20.96 kJ∙mol−1 [29]. The higher reactivity in the presence of the Lewis acid Zn(OAc)2 is likely caused by the enhanced activation of the PLA carbonyls, making the polymer more susceptible to nucleophilic attack [3,39]. Similar to the research in this paper, methanolysis has also been reported using commercially available metal-based catalysts. FeCl3 was found to be the most activating, achieving a 87% conversion to MeLa in 4 h at 130 °C, the first-order activation energy was reported at 32.41 kJ∙mol−1 [30]. Our results estimated Ea1 = 25.23 kJ∙mol−1 which is lower than some of the above literature values. Although ionic liquid [Bmim][OAc]-Zn(OAc)2 has a lower activation energy, its scalability is limited by its high costs and viscosity making it less feasible for industry uses in comparison to Zn(OAc)2 [3,43].

4. Conclusions

The methanolysis of PLA was carried out using four commercially available catalysts: Zn(OAc)2, Mg(OAc)2, TBD and DMAP. When tested individually, Zn(OAc)2 exhibited the highest catalytic activity. For Zn(OAc)2 methanolysis, a higher mol% was found to increase the reaction rate, but plateaued at 4 mol%; increasing the equivalent of MeOH was found to increase the reaction rate but plateaued at 17 equivalent. The activation energies were estimated to be: Ea1 = 25.23 ± 6.16 kJ∙mol−1, Ea2 = 34.16 ± 12.2 kJ∙mol−1 and Ea-2 = 47.93 ± 22.84 kJ∙mol−1. For mixed catalyst reactions, an enhancing polymer activation was found when Zn(OAc)2 was coupled with TBD or DMAP, or when Mg(OAc)2 was coupled with TBD. A great enough difference in pKa for the dual catalysts is required to form a stable catalyst complexion; this complexion can enhance the reaction. Further research is needed to fully explore synergistic Lewis acids-base pairs; an understanding of their coordination and mechanism is required in order to fully exploit dual-catalysts systems for enhanced chemical recycling. The chemical recycling of PLA via alcoholysis is a promising end-of-life solution, adding value to the PLA supply chain through the generation of value-added ALs.

Supplementary Materials

The following supporting information can be downloaded at: https://www.mdpi.com/article/10.3390/polym14091763/s1, Figure S1. Effect of Stirring speed on the MeLa concentration and Table S1. Rate coefficients for each experiment are available to download from the publisher.

Author Contributions

Conceptualization, F.M.L., A.P.D. and J.W.; Data curation, F.M.L.; Formal analysis, F.M.L.; Funding acquisition, J.W.; Investigation, F.M.L.; Methodology, F.M.L.; Project administration, J.W.; Resources, F.M.L., A.P.D. and J.W.; Software, F.M.L. and L.A.R.-R.; Supervision, J.W.; Validation, F.M.L.; Visualization, J.W.; Writing—original draft, F.M.L.; Writing—review & editing, F.M.L., L.A.R.-R., A.P.D. and J.W. All authors have read and agreed to the published version of the manuscript.

Funding

This research was funded by ESPRC, grant number EP/P016405/1.

Data Availability Statement

Data associated with this paper are available free of charge via edata.bham.ac.uk.

Acknowledgments

NatureWorks LLC are acknowledge for their donation of PLA samples. F.M.L. is grateful to the School of Chemical Engineering at the University of Birmingham for a studentship.

Conflicts of Interest

The authors declare no conflict of interest.

References

  1. European Bioplastics Bioplastics Market Development Update 2021. Available online: https://docs.european-bioplastics.org/publications/market_data/2021/Report_Bioplastics_Market_Data_2021_short_version.pdf (accessed on 7 February 2022).
  2. Lee, H.D.; Lee, M.Y.; Hwang, Y.S.; Cho, Y.H.; Kim, H.W.; Park, H.B. Separation and Purification of Lactic Acid from Fermentation Broth Using Membrane-Integrated Separation Processes. Ind. Eng. Chem. Res. 2017, 56, 8301–8310. [Google Scholar] [CrossRef]
  3. Payne, J.; Jones, M.D. The Chemical Recycling of Polyesters for a Circular Plastics Economy: Challenges and Emerging Opportunities. ChemSusChem 2021, 14, 4041–4070. [Google Scholar] [CrossRef]
  4. Farah, S.; Anderson, D.G.; Langer, R. Physical and mechanical properties of PLA, and their functions in widespread applications—A comprehensive review. Adv. Drug Deliv. Rev. 2016, 107, 367–392. [Google Scholar] [CrossRef] [Green Version]
  5. Geyer, R.; Jambeck, J.R.; Law, K.L. Production, use, and fate of all plastics ever made. Sci. Adv. 2017, 3, 1–5. [Google Scholar] [CrossRef] [PubMed] [Green Version]
  6. Parker, K.; Garancher, J.P.; Shah, S.; Fernyhough, A. Expanded polylactic acid-An eco-friendly alternative to polystyrene foam. J. Cell. Plast. 2011, 47, 233–243. [Google Scholar] [CrossRef]
  7. Haider, T.P.; Vçlker, C.; Kramm, J.; Landfester, K.; Wurm, F.R. Plastics of the Future? The Impact of Biodegradable Polymers on the Environment and on Society. Angew. Chemie Int. Ed. 2019, 58, 50–62. [Google Scholar] [CrossRef] [Green Version]
  8. Nampoothiri, K.M.; Nair, N.R.; John, R.P. An overview of the recent developments in polylactide (PLA) research. Bioresour. Technol. 2010, 101, 8493–8501. [Google Scholar] [CrossRef]
  9. Cosate de Andrade, M.F.; Souza, P.M.S.; Cavalett, O.; Morales, A.R. Life Cycle Assessment of Poly(Lactic Acid) (PLA): Comparison Between Chemical Recycling, Mechanical Recycling and Composting. J. Polym. Environ. 2016, 24, 372–384. [Google Scholar] [CrossRef]
  10. Schyns, Z.O.G.; Shaver, M.P. Mechanical Recycling of Packaging Plastics: A Review. Macromol. Rapid Commun. 2021, 42, 1–27. [Google Scholar] [CrossRef]
  11. Meys, R.; Frick, F.; Westhues, S.; Sternberg, A.; Klankermayer, J.; Bardow, A. Towards a circular economy for plastic packaging wastes—The environmental potential of chemical recycling. Resour. Conserv. Recycl. 2020, 162, 105010. [Google Scholar] [CrossRef]
  12. Ragaert, K.; Delva, L.; Van Geem, K. Mechanical and chemical recycling of solid plastic waste. Waste Manag. 2017, 69, 24–58. [Google Scholar] [CrossRef] [PubMed]
  13. McNeill, I.C.; Leiper, H.A. Degradation studies of some polyesters and polycarbonates-2. Polylactide: Degradation under isothermal conditions, thermal degradation mechanism and photolysis of the polymer. Polym. Degrad. Stab. 1985, 11, 309–326. [Google Scholar] [CrossRef]
  14. VanWouwe, P.; Dusselier, M.; Vanleeuw, E.; Sels, B. Lactide Synthesis and Chirality Control for Polylactic acid Production. ChemSusChem 2016, 9, 907–921. [Google Scholar] [CrossRef] [PubMed]
  15. Inkinen, S.; Hakkarainen, M.; Albertsson, A.C.; Södergård, A. From lactic acid to poly(lactic acid) (PLA): Characterization and analysis of PLA and Its precursors. Biomacromolecules 2011, 12, 523–532. [Google Scholar] [CrossRef] [PubMed]
  16. Piemonte, V.; Sabatini, S.; Gironi, F. Chemical Recycling of PLA: A Great Opportunity Towards the Sustainable Development? J. Polym. Environ. 2013, 21, 640–647. [Google Scholar] [CrossRef]
  17. Pereira, C.S.M.; Silva, V.M.T.M.; Rodrigues, A.E. Ethyl lactate as a solvent: Properties, applications and production processes—A review. Green Chem. 2011, 13, 2658–2671. [Google Scholar] [CrossRef]
  18. Biddy, M.J.; Scarlata, C.; Kinchin, C. Chemicals from Biomass: A Market Assessment of Bioproducts with Near-Term Potential. Available online: https://www.osti.gov/biblio/1244312/ (accessed on 7 February 2022).
  19. Leibfarth, F.A.; Moreno, N.; Hawker, A.P.; Shand, J.D. Transforming polylactide into value-added materials. J. Polym. Sci. Part. A Polym. Chem. 2012, 50, 4814–4822. [Google Scholar] [CrossRef]
  20. Rosales-Calderon, O.; Arantes, V. A review on commercial-scale high-value products that can be produced alongside cellulosic ethanol. Biotechnol. Biofuels 2019, 12, 240. [Google Scholar] [CrossRef] [Green Version]
  21. De Clercq, R.; Dusselier, M.; Poleunis, C.; Debecker, D.P.; Giebeler, L.; Oswald, S.; Makshina, E.; Sels, B.F. Titania-Silica Catalysts for Lactide Production from Renewable Alkyl Lactates: Structure-Activity Relations. ACS Catal. 2018, 8, 8130–8139. [Google Scholar] [CrossRef]
  22. De Clercq, R.; Dusselier, M.; Makshina, E.; Sels, B.F. Catalytic Gas-Phase Production of Lactide from Renewable Alkyl Lactates. Angew. Chemie Int. Ed. 2018, 57, 3074–3078. [Google Scholar] [CrossRef]
  23. Aryan, V.; Maga, D.; Majgaonkar, P.; Hanich, R. Valorisation of polylactic acid (PLA) waste: A comparative life cycle assessment of various solvent-based chemical recycling technologies. Resour. Conserv. Recycl. 2021, 172, 105670. [Google Scholar] [CrossRef]
  24. Brake, L.D. Preparation of Alkyl Esters By Depolymerization. U.S. Patent 5264617, 23 November 1993. [Google Scholar]
  25. Whitelaw, E.L.; Davidson, M.G.; Jones, M.D. Group 4 salalen complexes for the production and degradation of polylactide. Chem. Commun. 2011, 47, 10004–10006. [Google Scholar] [CrossRef] [PubMed] [Green Version]
  26. Román-Ramírez, L.A.; Mckeown, P.; Jones, M.D.; Wood, J. Poly(lactic acid) degradation into methyl lactate catalyzed by a well-defined Zn(II) complex. ACS Catal. 2019, 9, 409–416. [Google Scholar] [CrossRef] [Green Version]
  27. Lamberti, F.M.; Román-Ramírez, L.A.; Mckeown, P.; Jones, M.D.; Wood, J. Kinetics of alkyl lactate formation from the alcoholysis of poly(lactic acid). Processes 2020, 8, 738. [Google Scholar] [CrossRef]
  28. Song, X.; Zhang, X.; Wang, H.; Liu, F.; Yu, S.; Liu, S. Methanolysis of poly(lactic acid) (PLA) catalyzed by ionic liquids. Polym. Degrad. Stab. 2013, 98, 2760–2764. [Google Scholar] [CrossRef]
  29. Song, X.; Bian, Z.; Hui, Y.; Wang, H.; Liu, F.; Yu, S. Zn-Acetate-Containing ionic liquid as highly active catalyst for fast and mild methanolysis of Poly(lactic acid). Polym. Degrad. Stab. 2019, 168, 108937. [Google Scholar] [CrossRef]
  30. Liu, H.; Song, X.; Liu, F.; Liu, S.; Yu, S. Ferric chloride as an efficient and reusable catalyst for methanolysis of poly(lactic acid) waste. J. Polym. Res. 2015, 22, 135. [Google Scholar] [CrossRef]
  31. Jehanno, C.; Pérez-Madrigal, M.M.; Demarteau, J.; Sardon, H.; Dove, A.P. Organocatalysis for depolymerisation. Polym. Chem. 2019, 10, 172–186. [Google Scholar] [CrossRef] [Green Version]
  32. Xu, S.; Held, I.; Kempf, B.; Mayr, H.; Steglich, W.; Zipse, H. The DMAP-catalyzed acetylation of alcohols—A mechanistic study (DMAP = 4-(dimethylamino)pyridine). Chem. A Eur. J. 2005, 11, 4751–4757. [Google Scholar] [CrossRef]
  33. Otera, J. Transesterification. Chem. Rev. 1993, 93, 1449–1470. [Google Scholar] [CrossRef]
  34. Thomas, C.; Bibal, B. Hydrogen-bonding organocatalysts for ring-opening polymerization. Green Chem. 2014, 16, 1687–1699. [Google Scholar] [CrossRef]
  35. Reinoso, D.M.; Damiani, D.E.; Tonetto, G.M. Zinc carboxylic salts used as catalyst in the biodiesel synthesis by esterification and transesterification: Study of the stability in the reaction medium. Appl. Catal. A Gen. 2012, 449, 88–95. [Google Scholar] [CrossRef]
  36. Capelot, M.; Montarnal, D.; Tournilhac, F.; Leibler, L. Metal-catalyzed transesterification for healing and assembling of thermosets. J. Am. Chem. Soc. 2012, 134, 7664–7667. [Google Scholar] [CrossRef] [PubMed]
  37. Wang, Z.; Yang, X.; Liu, S.; Zhang, H.; Wang, G. Magnesium acetate used as an effective catalyst for synthesizing aliphatic polycarbonates via melt transesterification process. Chem. Res. Chinese Univ. 2016, 32, 512–518. [Google Scholar] [CrossRef]
  38. Basterretxea, A.; Jehanno, C.; Mecerreyes, D.; Sardon, H. Dual Organocatalysts Based on Ionic Mixtures of Acids and Bases: A Step Toward High Temperature Polymerizations. ACS Macro Lett. 2019, 8, 1055–1062. [Google Scholar] [CrossRef] [Green Version]
  39. Delle Chiaie, K.R.; McMahon, F.R.; Williams, E.J.; Price, M.J.; Dove, A.P. Dual-catalytic depolymerization of polyethylene terephthalate (PET). Polym. Chem. 2020, 11, 1450–1453. [Google Scholar] [CrossRef] [Green Version]
  40. Lamberti, F.M.; Ingram, A.; Wood, J. Synergistic Dual Catalytic System and Kinetics for the Alcoholysis of Poly (Lactic Acid). Processes 2021, 9, 921. [Google Scholar] [CrossRef]
  41. Raheem, A.B.; Noor, Z.Z.; Hassan, A.; Abd Hamid, M.K.; Samsudin, S.A.; Sabeen, A.H. Current developments in chemical recycling of post-consumer polyethylene terephthalate wastes for new materials production: A review. J. Clean. Prod. 2019, 225, 1052–1064. [Google Scholar] [CrossRef]
  42. Reinoso, D.M.; Ferreira, M.L.; Tonetto, G.M. Study of the reaction mechanism of the transesterification of triglycerides catalyzed by zinc carboxylates. J. Mol. Catal. A Chem. 2013, 377, 29–41. [Google Scholar] [CrossRef]
  43. Payne, J.; McKeown, P.; Jones, M.D. A circular economy approach to plastic waste. Polym. Degrad. Stab. 2019, 165, 170–181. [Google Scholar] [CrossRef]
Figure 1. Methanolysis of 2 g of PLA at 130 °C, 300 rpm and 9 equivalents of MeOH. Effect of mol% of Zn(OAc)2 (Relative to mol of PLA) on the MeLa concentration (g∙mL−1) vs. Time (min).
Figure 1. Methanolysis of 2 g of PLA at 130 °C, 300 rpm and 9 equivalents of MeOH. Effect of mol% of Zn(OAc)2 (Relative to mol of PLA) on the MeLa concentration (g∙mL−1) vs. Time (min).
Polymers 14 01763 g001
Figure 2. Methanolysis of 2 g of PLA at 130 °C, 300 rpm and 2 mol% Zn(OAc)2. Effect of MeOH molar equivalents (Relative to mol of ester bonds) on the MeLa concentration (g∙mL−1) vs. Time (min).
Figure 2. Methanolysis of 2 g of PLA at 130 °C, 300 rpm and 2 mol% Zn(OAc)2. Effect of MeOH molar equivalents (Relative to mol of ester bonds) on the MeLa concentration (g∙mL−1) vs. Time (min).
Polymers 14 01763 g002
Figure 3. 1H NMR (CDCl3, 400 MHz) stacked spectra of a methanolysis reaction at 120 °C and the relative percentage of each methine proton Int, CE and MeLa. (Blue spectrum 10 min, Red spectrum 40 min, Green spectrum 90 min).
Figure 3. 1H NMR (CDCl3, 400 MHz) stacked spectra of a methanolysis reaction at 120 °C and the relative percentage of each methine proton Int, CE and MeLa. (Blue spectrum 10 min, Red spectrum 40 min, Green spectrum 90 min).
Polymers 14 01763 g003
Figure 4. Reaction profiles obtained from 1H NMR spectroscopic data for methanolysis fitted in MATLAB. (A) 130 °C (B) 120 °C.
Figure 4. Reaction profiles obtained from 1H NMR spectroscopic data for methanolysis fitted in MATLAB. (A) 130 °C (B) 120 °C.
Polymers 14 01763 g004
Figure 5. Arrhenius plots for Methanolysis of 2 g PLA, at 600 rpm, 17 equivalents MeOH and 2 mol% Zn(OAc)2. (A) = k1 y = −3035.9x + 5.01 R2 = 0.9176. (B) = k2 y = −4111.2x + 7.6487 R2 = 0.8867. (C) = k−2 y = −5767.6x + 10.05 R2 = 0.8147.
Figure 5. Arrhenius plots for Methanolysis of 2 g PLA, at 600 rpm, 17 equivalents MeOH and 2 mol% Zn(OAc)2. (A) = k1 y = −3035.9x + 5.01 R2 = 0.9176. (B) = k2 y = −4111.2x + 7.6487 R2 = 0.8867. (C) = k−2 y = −5767.6x + 10.05 R2 = 0.8147.
Polymers 14 01763 g005
Table 1. Methanolysis of 2 g PLA at 130 °C and 2 mol% of catalyst, 9–17 equivalents MeOH. Repeats (3–4 repeats) were averaged.
Table 1. Methanolysis of 2 g PLA at 130 °C and 2 mol% of catalyst, 9–17 equivalents MeOH. Repeats (3–4 repeats) were averaged.
2 mol% Catalyst Speed (rpm)Molar
Equivalents of MeOH
Average Final Time
(min)
Average Final MeLa Concentration (g∙mL−1)Average Initial Rate of MeLa Production
at 40 min
(g∙mL−1∙min−1)
ZnAc30091730.05385.37 × 10−4
ZnAc30017480.05931.42 × 10−3
ZnAc60017700.05771.19 × 10−3
DMAP30093600.04373.09 × 10−5
DMAP300173400.05104.65 × 10−5
DMAP600172000.02572.03 × 10−5
MgAc30093600.04495.39 × 10−5
MgAc300171070.05629.09 × 10−5
MgAc60017830.06241.09 × 10−3
TBD30091600.05015.37 × 10−4
TBD300171400.05345.27 × 10−4
TBD600171350.05576.43 × 10−4
Table 2. Methanolysis of 2 g PLA at 130 °C, 600 rpm, 2 mol% catalyst total and 17 eq MeOH. Repeat (2–4 repeats) were averaged.
Table 2. Methanolysis of 2 g PLA at 130 °C, 600 rpm, 2 mol% catalyst total and 17 eq MeOH. Repeat (2–4 repeats) were averaged.
Catalyst (2 mol% Total)Average Final Time
(min)
Average Final MeLa Concentration (g∙mL−1)Average Initial Rate of MeLa Production at 40 min
(g∙mL−1∙min−1)
Zn(OAc)2/TBD
(1:1)
600.05841.34 × 10−3
Zn(OAc)2/DMAP
(1:1)
800.06081.29 × 10−3
Mg(OAc)2/TBD
(1:1)
800.06171.36 × 10−3
Mg(OAc)2/DMAP
(1:1)
1100.06028.44 × 10−4
TBD/DMAP
(1:1)
1800.05312.84 × 10−4
Zn(OAc)2/Mg(OAc)2
(1:1)
1200.05616.87 × 10−4
Zn(OAc)2/TBD/
DMAP
(1:0.5:0.5)
900.06001.27 × 10−3
Mg(OAc)2/TBD/
DMAP
(1:0.5:0.5)
1050.05918.72 × 10−4
TBD/Zn(OAc)2/Mg(OAc)2
(1:0.5:0.5)
1200.05295.46 × 10−4
DMAP/Zn(OAc)2/Mg(OAc)2
(1:0.5:0.5)
900.05819.22 × 10−4
Zn(OAc)2/Mg(OAc)2/TBD/DMAP
(1:1:1:1)
1200.06267.41 × 10−4
Table 3. PLA methanolysis at 600 rpm with 2 mol% ZnAc. Conversion of Int groups, MeLa selectivity and MeLa yield was calculated at 60 min for different reaction temperatures.
Table 3. PLA methanolysis at 600 rpm with 2 mol% ZnAc. Conversion of Int groups, MeLa selectivity and MeLa yield was calculated at 60 min for different reaction temperatures.
Temperature (°C)XInt (%)SMeLa (%)YMeLa (%)Average
XInt (%)
Average
SMeLa (%)
Average
YMeLa (%)
13010084841008181
1301007878
120100686899.57271.5
120997675
110977573967370
110957167
10092686390.564.558.5
100896154
908864568864.556.5
90886557
XInt,SMeLa, YMeLa are determined at 60 min of reaction.
Publisher’s Note: MDPI stays neutral with regard to jurisdictional claims in published maps and institutional affiliations.

Share and Cite

MDPI and ACS Style

Lamberti, F.M.; Román-Ramírez, L.A.; Dove, A.P.; Wood, J. Methanolysis of Poly(lactic Acid) Using Catalyst Mixtures and the Kinetics of Methyl Lactate Production. Polymers 2022, 14, 1763. https://doi.org/10.3390/polym14091763

AMA Style

Lamberti FM, Román-Ramírez LA, Dove AP, Wood J. Methanolysis of Poly(lactic Acid) Using Catalyst Mixtures and the Kinetics of Methyl Lactate Production. Polymers. 2022; 14(9):1763. https://doi.org/10.3390/polym14091763

Chicago/Turabian Style

Lamberti, Fabio M., Luis A. Román-Ramírez, Andrew P. Dove, and Joseph Wood. 2022. "Methanolysis of Poly(lactic Acid) Using Catalyst Mixtures and the Kinetics of Methyl Lactate Production" Polymers 14, no. 9: 1763. https://doi.org/10.3390/polym14091763

APA Style

Lamberti, F. M., Román-Ramírez, L. A., Dove, A. P., & Wood, J. (2022). Methanolysis of Poly(lactic Acid) Using Catalyst Mixtures and the Kinetics of Methyl Lactate Production. Polymers, 14(9), 1763. https://doi.org/10.3390/polym14091763

Note that from the first issue of 2016, this journal uses article numbers instead of page numbers. See further details here.

Article Metrics

Back to TopTop