Polymer/Carbon Nanotube Based Nanocomposites for Photovoltaic Application: Functionalization, Structural, and Optical Properties
Abstract
1. Introduction
2. Organic Nanocomposite Synthesis and Characterization
2.1. CNT Treatment and Dispersion
2.2. Materials and Methods
2.3. Alignment and Orientation of CNTs
3. Applications of Organic Nanocomposites for Photovoltaic Cells
4. Nanocomposites of Oligo-N-vinyl-carbazole/Single- and Multiwalled CNTs
4.1. Vibrational Properties
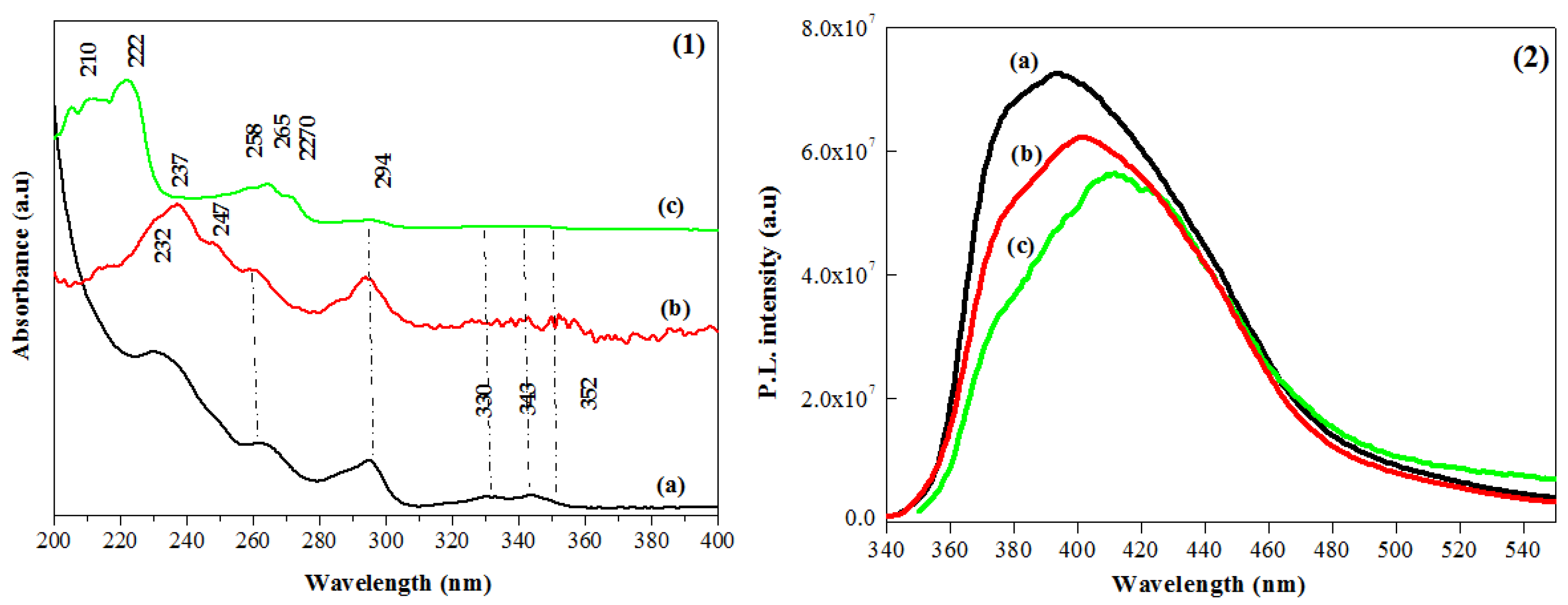
4.2. Changes in Optical Properties
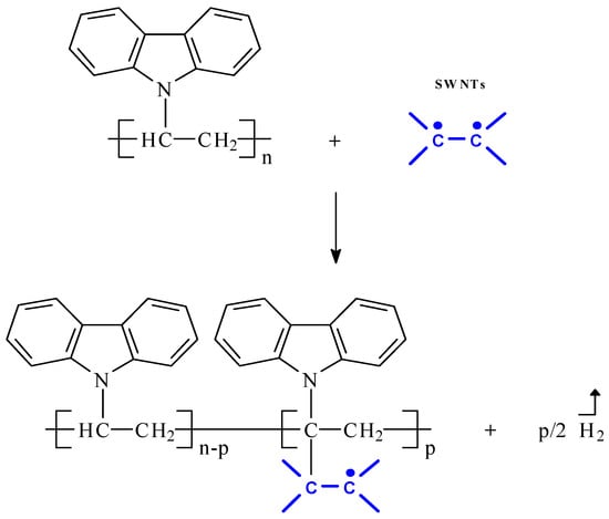
4.3. Interaction between SWCNTs and an Organic Matrix
4.4. Structural Properties in Relationship with Transient Photoluminescence
5. Properties of PVK-3HT/SWCNT Nanocomposites
5.1. Vibrational Study
5.2. Optical Properties Changes
6. PANI/SWCNT Nanocomposites
6.1. Vibrational Study
6.2. Optical Property Changes
6.3. Electronic Study
6.4. Effect of Annealing Treatment on the PANI–SWCNT Composite
7. Conclusions
Author Contributions
Funding
Institutional Review Board Statement
Informed Consent Statement
Data Availability Statement
Acknowledgments
Conflicts of Interest
References
- Burroughes, J.H.; Bradley, D.D.C.; Brown, A.R.; Maorks, R.N.; Mackey, K.; Friend, R.H.; Burn, P.L.; Holmes, A.B. Electroluminescence on conjugated polymer. Nature 1990, 397, 547–569. [Google Scholar]
- Saxena, V.; Malhotra, B.D. Prospects of conducting polymers in molecular electronics. Curr. Appl. Phys. 2003, 3, 293–305. [Google Scholar] [CrossRef]
- Han, Y.-K.; Chang, M.-Y.; Ho, K.-S.; Hsieh, T.-H.; Tsai, J.-L.; Huang, P.-C. Electrochemically deposited nano polyaniline films as hole transporting layers in organic solar cells. Solar Energy Mater. Sol. Cells 2014, 128, 198–203. [Google Scholar] [CrossRef]
- Namsheer, K.; Rout, C.S. Conducting polymers: A comprehensive review on recent advances in synthesis, properties and applications. RSC Adv. 2021, 11, 5659–5697. [Google Scholar] [CrossRef]
- Ahllskog, M.; Menon, R.; Heeger, A.J.; Noguchi, T.; Ohnishi, T. Metal-insulator transition in oriented poly(p-phenylenevinylene). Phys. Rev. B 1997, 55, 6777–6787. [Google Scholar] [CrossRef]
- Wang, G.; Morrin, A.; Li, M.; Liu, N.; Luo, X. Nanomaterial-doped conducting polymers for electrochemical sensors and biosensors. J. Mater. Chem. B 2018, 6, 4173–4190. [Google Scholar] [CrossRef]
- Heeger, A.J. Nobel Prize 2000 lecture: Semiconducting and metallic polymers: The fourth generation of polymeric materials. Curr. Appl. Phys. 2001, 1, 247–267. [Google Scholar] [CrossRef]
- Wu, W.; Li, F.; Nie, C.; Wu, J.; Chen, W.; Wu, C.; Guo, T. Improved performance of flexible white hybrid light emitting diodes by adjusting quantum dots distribution in polymer matrix. Vacuum 2015, 111, 1–4. [Google Scholar] [CrossRef]
- Yuanhang, Y.; Hong, Z. Water-induced polymer swelling and its application in soft electronics. Appl. Surf. Sci. 2022, 577, 151895. [Google Scholar] [CrossRef]
- Razykov, T.M.; Ferekides, C.S.; Morel, D.; Stefanakos, E.; Ullal, H.S.; Upadhyaya, H.M. Solar photovoltaic electricity: Current status and future prospects. Solar Energy 2011, 85, 1580–1608. [Google Scholar] [CrossRef]
- Lizin, S.; Passel, S.V.; Schepper, E.D.; Vranken, L. The future of organic photovoltaic solar cells as a direct power source for consumer electronics. Sol. Energy Mater. Sol. Cells 2012, 103, 1–10. [Google Scholar] [CrossRef]
- Deng, P.; Lei, Y.; Zheng, X.; Li, S.; Wu, J.; Zhu, F.; Ong, B.S.; Zhang, Q. Polymer based on benzothiadiazole-bridged bis-isoindigo for organic field-effect transistor applications. Dyes Pigm. 2016, 125, 407–413. [Google Scholar] [CrossRef]
- Tehrani, Z.; Korochkina, T.; Govindarajan, S.; Thomas, D.J.; Mahony, J.O.; Kettle, J.; Claypole, T.C.; Gethin, D.T. Ultra-thin flexible screen printed rechargeable polymer battery for wearable electronic applications. Org. Electron. 2015, 26, 386–394. [Google Scholar] [CrossRef]
- Moaseri, E.; Karimi, M.; Baniadam, M.; Maghreb, M. Improvements in mechanical properties of multi-walled carbon nanotube-reinforced epoxy composites through novel magnetic-assisted method for alignment of carbon nanotubes. Compos. A Appl. Sci. Manuf. 2014, 64, 228–233. [Google Scholar] [CrossRef]
- Mulligan, C.J.; Bilen, C.; Zhou, X.; Belcher, W.J.; Dastoor, P.C. Levelised cost of electricity for organic photovoltaics. Sol. Energy Mater. Sol. Cells 2015, 133, 26–31. [Google Scholar] [CrossRef]
- Subramanyam, B.V.R.S.; Mahakul, P.C.; Sa, K.; Alam, I.; Das, S.; Subudhi, S.; Mandal, M.; Patr, S.; Mahanandi, P. Applications of carbon nanotubes in different layers of P3HT: PCBM bulk heterojunction organic photovoltaic cells. Mater. Today Proc. 2021, 39, 1862–1865. [Google Scholar] [CrossRef]
- Francis, X.P.A.; Benoy, M.D.; Stephen, S.K.; Varghese, T. Enhanced electrical properties of polyaniline carbon nanotube composites: Analysis of temperature dependence of electrical conductivity using variable range hopping and fluctuation induced tunneling models. J. Solid State Chem. 2021, 300, 122232. [Google Scholar] [CrossRef]
- Zaidi, B.; Bouzayen, N.; Znaidia, S.; Mbarek, M.; Massuyeau, F.; Faulques, E.; Gautron, E.; Wery, J.; Duvail, J.L.; Ghedira, M.; et al. Dynamic properties of the excited states of oligo-N-vinylcarbazole functionalized with single walled carbon nanotubes. J. Mol. Struct. 2013, 1039, 46–50. [Google Scholar] [CrossRef]
- Saoudi, M.; Ajjel, R.; Zaidi, B. Experimental and theoretical study on the charge transfer between polyaniline and single walled carbon nanotube. J. Mater. Environ. Sci. 2016, 7, 4435–4447. [Google Scholar]
- Saaidia, A.; Saidani, M.A.; Romdhane, S.; BenFredj, A.; Egbec, D.A.M.; Tekin, E.; Bouchriha, H. Morphology-dependent exciton diffusion length in PPE-PPVs thin films as revealed by a Forster mechanism based-study. Synth. Met. 2017, 226, 177–182. [Google Scholar] [CrossRef]
- Zaidi, B.; Bouzayen, N.; Wéry, J.; Alimi, K. Grafting of oligo-N-vinyl carbazole on single walled carbon nanotubes. J. Mol. Str. 2010, 97, 71–80. [Google Scholar] [CrossRef]
- Ferguson, A.J.; Blackburn, J.L.; Kopidakis, N. Fullerene and carbon nanotubes as acceptor materials in organic photovoltaic. Mater. Lett. 2013, 90, 115–125. [Google Scholar] [CrossRef]
- Gao, G.; Yu, J.; Hummelen, J.C.; Wudl, F.; Heeger, A.J. Polymer Photovoltaic Cells: Enhanced Efficiencies via a Network of Internal Donor-Acceptor Heterojunctions. Science 1995, 270, 1789–1791. [Google Scholar] [CrossRef]
- Janssen, R.A.J.; Hummelen, J.C.; Sariciftci, N.S. Polymer–Fullerene Bulk Heterojunction Solar Cells. MRS Bull. 2005, 30, 33–36. [Google Scholar] [CrossRef]
- Sun, Y.; Zhang, W.; Chi, H.J.; Liu, Y.; Hou, C.L.; Fang, D. Recent development of graphene materials applied in polymer solar cell, Renew. Sust. Energ. Rev. 2015, 43, 973–980. [Google Scholar] [CrossRef]
- Neeraj, K.; Pushpendra, S. Review of next generation photovoltaic solar cell technology and comparative materialistic development. Mater. Today Proc. 2021; in press. [Google Scholar] [CrossRef]
- Anindya, S.; Nibedita, S.; Gautam, M. Fabrication and Characterization of Flexible Semi-conducting Nanocomposite Polymer. Ref. Modul. Mater. Sci. Mater. Eng. 2022; in press. [Google Scholar] [CrossRef]
- Huang, Y.Y.; Terentjev, E.M. Dispersion of Carbon Nanotubes: Mixing, Sonication Stabilization, and Composite Properties, Polymers. Polymers 2012, 4, 275–295. [Google Scholar] [CrossRef]
- Alimi, K.; Zaidi, B.; Chemek, M. About Grafting of Single-walled Carbon Nanotubes on the Oligo-N-vinyl Carbazole and Copolymer Involving N-vinylcarbazole and Hexylthiophene. In Carbon Nanotubes—Polymer Nanocomposites; Intech: London, UK, 2011; pp. 300–330. [Google Scholar] [CrossRef]
- Sandler, J.; Shaffer, M.S.P.; Prasse, T.; Bauhfer, W.; Schulte, K.; Windle, H. Development of a dispersion Process for carbon nanotubes in an epoxy matrix and the resulting electrical properties. Polymer 1999, 40, 5967–5971. [Google Scholar] [CrossRef]
- Park, S.D.; Han, D.H.; Teng, D.; Kwon, Y. Rheological properties and dispersion of multi-walled Carbon nanotube (MWCNT) in polystyrene matrix. Curr. Appl. Phys. 2008, 8, 482–485. [Google Scholar] [CrossRef]
- Chen, G.X.; Li, Y.; Shimizu, H. Ultrahigh-shear processing for the preparation of polymer/carbon nanotube composites. Carbon 2007, 45, 2334–2340. [Google Scholar] [CrossRef]
- Moradi, O.; Yari, M.; Zare, K.; Mizra, B.; Najafi, F. A review of chemistry principles and reactions. Fuller. Nanotub. Carbon Nanostructures 2012, 20, 138–151. [Google Scholar] [CrossRef]
- Liu, J.Q.; Xiao, T.; Liao, K.; Wu, P. Interfacial design of carbon nanotube polymer composites: A hybrid system of noncovalent and covalent functionalizations. Nanotechnology 2012, 18, 165701. [Google Scholar] [CrossRef]
- Viswanathan, G.; Chakrapani, N.; Yang, H.; Wei, B.; Chung, H.; Cho, K.; Chang, Y.R.; Ajayan, P.M. Single-step in situ synthesis of polymer-grafted single-wall nanotube composites. J. Am. Chem. Soc. 2003, 125, 9258–9259. [Google Scholar] [CrossRef] [PubMed]
- Holzinger, M.; Steinmetz, J.; Samaille, D.; Glerup, M.; Paillet, M.; Bernier, P.; Ley, L.; Graupner, R. Cycloaddition for cross-linking SWCNTs. Carbon 2004, 42, 941–947. [Google Scholar] [CrossRef]
- Peng, H.; Reverdy, P.; Khabashesku, V.N.; Margrave, J.L. Side wall functionalization of single- walled carbon nanotubes with organic peroxides. Chem. Commun. 2003, 3, 362–365. [Google Scholar] [CrossRef]
- Martin, R.; Céspedes-Guirao, F.J.; Miguel, M.D.; Lazaro, F.F.; García, H.; Sastre, S.A. Single- and multi-walled carbon nanotubes covalently linked to Synthesis, characterization and photophysical properties. Chem. Sci. 2012, 3, 470–475. [Google Scholar] [CrossRef]
- Andreas, H. Functionalization of Single-Walled Carbon Nanotubes. Chem. Int. Ed. 2012, 41, 1853–1859. [Google Scholar] [CrossRef]
- Shanmugharaj, A.M.; Bae, J.H.; Nayak, R.R.; Ryu, S.H. Preparation of poly(styrene-co-acrylonitrile)-grafted multiwalled carbon nanotubes via surface-initiated atom transfer radical polymerization. J. Polym. Sci. A Polym. Chem. 2007, 45, 460–470. [Google Scholar] [CrossRef]
- Qin, S.; Qin, D.; Ford, W.T.; Resasco, D.E.; Herrera, J.E. Functionalization of single-walled carbon nanotubes with polystyrene via grafting to and grafting from method. Macromolecules 2004, 37, 752–757. [Google Scholar] [CrossRef]
- Vijayakumar, C.; Balan, B.; Kim, M.J.; Takeuchi, M. Noncovalent Functionalization of SWNTs with Azobenzene-Containing Polymers: Solubility, Stability, and Enhancement of Photoresponsive Properties. ACS J. Phys. Chem. C 2011, 115, 4533–4539. [Google Scholar] [CrossRef]
- Rajarajeswari, M.; Iyakutti, K.; Kawazoe, Y. Noncovalent and radicals covalent functionalization of a (5, 0) single-walled carbon nanotube with alanine and alanine. J. Mol. Model. 2012, 18, 771–781. [Google Scholar] [CrossRef] [PubMed]
- Kong, J.; Yenilmez, E.; Tombler, T.W.; Kim, W.; Dai, H. Quantum interference and ballistic transmission in nanotube electron waveguides. Phys. Rev. Lett. 2001, 87, 106801–106807. [Google Scholar] [CrossRef] [PubMed]
- Deng, J.; Ding, X.; Zhang, W.; Peng, Y.; Wang, J.; Long, X.; Li, P.; Chan, A. Carbon nanotube–polyaniline hybrid materials. Eur. Polym. J. 2002, 38, 2497–2501. [Google Scholar] [CrossRef]
- Sahoo, N.G.; Jung, Y.C.; So, H.H.; Chob, J.W. Polypyrrole Coated Carbon Nanotubes: Synthesis, Characterization, and Enhanced Electrical Properties. Synth. Met. 2007, 157, 374–379. [Google Scholar] [CrossRef]
- Kerr, C.J.; Huang, Y.Y.; Marshall, J.E.; Terentjev, E.M. Effect of filament aspect ratio on the dielectric response of multiwalled carbon nanotube composites. J. Appl. Phys. 2011, 109, 094109. [Google Scholar] [CrossRef]
- Pietro, W.J.; Francl, M.M.; Hehre, W.J.; Defrees, D.J.; Pople, J.A.; Binkley, J.S. Self-consistent molecular orbital methods. 24. Supplemented small split-valence basis sets for second-row elements. J. Am. Chem. Soc. 1982, 104, 5039–5048. [Google Scholar] [CrossRef]
- Pickholz, M.; dos Santos, M.C. Interchain and correlation effects in oligothiophenes. Synh. Met. 1999, 101, 528–529. [Google Scholar] [CrossRef]
- DiCesare, N.; Belletete, M.; Marrano, C.; Leclerc, M.; Durocher, G. Conformational Analysis (ab initio HF/3-21G*) and Optical Properties of Symmetrically Disubstituted Terthiophenes. J. Phys. Chem. A 1998, 102, 5142–5149. [Google Scholar] [CrossRef]
- Ayachi, S.; Alimi, K.; Bouachrine, M.; Hamidi, M.; Mevellec, J.Y.; Porte, J.P.L. Spectroscopic investigations of copolymers incorporating various thiophene and phenylene monomers. Synth. Met. 2006, 156, 318–326. [Google Scholar] [CrossRef]
- Zou, L.Y.; Ren, A.M.; Feng., J.K.; Ran, X.Q.; Liu, Y.L.; Sun, C.C. Structural, electronic, and optical properties of phenol-pyridyl boron complexes for light-emitting diodes. Int. J. Quantum Chem. 2009, 109, 1419–1429. [Google Scholar] [CrossRef]
- Khoshkholgh, M.J.; Marsusi, F.; Abolhassani, M.R. Density functional theory investigation of opto-electronic properties of thieno [3,4-b] thiophene and benzodithiophenepolymer and derivatives and their applications in solar cell. Spectrochim. Acta Part A 2015, 136, 373–380. [Google Scholar] [CrossRef] [PubMed]
- Zhengkun, D.; Mian, C.; Li, D.; Baojin, H.; Zhong, C.; Donghong, Y.; Meng, C.L. Effect of alkylthiolated hetero-aromatic rings on the photovoltaic performance of benzodithiophene-based polymer/fullerene solar cells. Synt. Met. 2021, 276, 116756. [Google Scholar] [CrossRef]
- Zhang, L.; Wan, M. Self-Assembly of Polyaniline—From Nanotubes to Hollow Microspheres. Adv. Funct. Mater. 2003, 13, 815–820. [Google Scholar] [CrossRef]
- Bonard, J.M.; Stora, T.; Salvetat, J.P.; Maier, F.; Stockli, T.; Dusch, C.; Forró, L.; Châtelain, A. Purification and size selection of carbon nanotubes. Adv. Mater. 1997, 9, 827–831. [Google Scholar] [CrossRef]
- Hu, H.; Yu, A.; Kim, E.; Zhao, B.; Itkis, M.E.; Bekyarova, E.; Haddon, R.C. Influence of the Zeta Potential on the Dispersability and Purification of Single-Walled Carbon Nanotubes. J. Phys. Chem. B 2005, 109, 11520–11524. [Google Scholar] [CrossRef] [PubMed]
- Wang, Y.; Gao, L.; Sun, J.; Liu, Y.; Zheng, S.; Kajiura, H. An integrated route for purification, cutting and dispersion of single-walled carbon nanotubes. Chem. Phys. Lett. 2006, 432, 205–208. [Google Scholar] [CrossRef]
- Arnold, M.S.; Green, A.A.; Hulvat, J.F.; Stupp, S.I.; Hersam, M.C. Sorting carbon nanotubes by electronic structure using density differentiation. Nat. Nanotechnol. 2006, 1, 60–65. [Google Scholar] [CrossRef]
- Arnold, M.S.; Stupp, S.I.; Hersam, M.C. Enrichment of single-walled carbon nanotubes by diameter. Nano Lett. 2005, 5, 713–718. [Google Scholar] [CrossRef]
- Strano, M.S.; Dyke, C.A.; Usrey, M.L.; Barone, P.W.; Allen, M.J.; Shan, H.; Kittrell, C.; Hauge, R.H.; Tour, J.M.; Smalley, R.E. Electronic Structure Control of Single-Walled Carbon Nanotube Functionalization. Science 2003, 301, 1519–1522. [Google Scholar] [CrossRef]
- Kyoichi, O.; Masahiko, M.; Yoshihiro, T. Analysis of the dispersion state of pitch particles in polymers for nanofiber fabrication by optical microscopy and image processing. J. Phys. Chem. Solids 2022, 163, 110585. [Google Scholar] [CrossRef]
- Becke, A.D.J. Density-functional thermochemistry. III. The role of exact exchange. Chem. Phys. 1993, 98, 5648. [Google Scholar] [CrossRef]
- Futaba, D.N.; Mizuno, K.; Namai, T.; Yumura, M.; Iijima, S. Water-assisted highly efficient synthesis of impurity-free single-walled carbon nanotubes. Science 2004, 306, 1362–1364. [Google Scholar] [CrossRef]
- Meyyappan, M.; Delzeit, L.; Cassell, A.; Hash, D. Carbon nanotube growth by PECVD: A review. Plasma Sources Sci. Technol. 2003, 12, 205. [Google Scholar] [CrossRef]
- Zhang, Y.; Iijima, S. Elastic reponse of carbon nanotube bundles to visible light. Phys. Rev. Lett. 1999, 82, 3472. [Google Scholar] [CrossRef]
- Rarvikar, N.R.; Schadler, L.S.; Vijaaraghavan, A.; Zhao, Y.; Wei, B.; Ajayan, P.M. Synthesis and characterization of thickness-aligned carbon nanotube-polymer composite films. Chem. Mater. 2005, 17, 974–983. [Google Scholar] [CrossRef]
- Boncel, S.; Koziol, K.K.K.; Walczak, K.Z.; Windle, A.H.; Shaffer, M.S.P. Infiltration of highly aligned carbon nanotube arrays with molten polystyrene. Mater. Lett. 2011, 65, 2229–2303. [Google Scholar] [CrossRef]
- Chen, Y.; Yu, J. Growth direction control of aligned carbon nanotubes. Carbon 2005, 43, 3181–3194. [Google Scholar] [CrossRef]
- Chen, X.Q.; Saito, T.; Yamada, H.; Matsushige, K. Aligning singlewall carbon nanotubes with an alternating- current electric field. Appl. Phys. Lett. 2001, 78, 3714–3716. [Google Scholar] [CrossRef]
- Domingues, D.; Logakis, E.; Skordos, A.A. The use of an electric field in the preparation of glass fibre/epoxy composites containing carbon nanotubes. Carbon 2012, 50, 2493–2503. [Google Scholar] [CrossRef]
- Hone, J.; Llaguno, M.C.; Nemes, N.M.; Johnson, A.T.; Fischer, J.E.; Walters, D.A. Electrical and thermal transport properties of magnetically aligned single wall carbon nanotube films. Appl. Phys. Lett. 2000, 77, 666–668. [Google Scholar] [CrossRef]
- Choi, E.S.; Brooks, J.S.; Eaton, D.L.; Al-Haik, M.S.; Hussaini, M.Y.; Garmestani, H.; Li, D.; Dahmen, K. Enhancement of thermal and electrical properties of carbon nanotube polymer composites by magnetic field processing. J. Appl. Physiol. 2003, 94, 6034–6039. [Google Scholar] [CrossRef]
- Dimaki, M.; Bøggild, P. Dielectrophoresis of carbon nanotubes using microelectrodes: A numerical study. Nanotechnology 2004, 15, 1095–1102. [Google Scholar] [CrossRef]
- Zhan, H.; Chen, Y.W.; Shi, Q.Q.; Zhang, Y.; Mo, R.W.; Wang, J.N. Highly aligned and densified carbon nanotube films with superior thermal conductivity and mechanical strength. Carbon 2022, 186, 205–214. [Google Scholar] [CrossRef]
- Monti, M.; Natali, M.; Torre, L.; Kenny, J.M. The alignment of single walled carbon nanotubes in an epoxy resin by applying a DC electric field. Carbon 2012, 50, 2453–2464. [Google Scholar] [CrossRef]
- Zhokhavets, U.; Erb, T.; Hoppe, H.; Gobsch, G.; Sariciftci, N.S. Effect of annealing of poly(3-hexylthiophene)/fullerene bulk heterojunction composites on structural and optical properties. Thin Solid Film 2006, 496, 679–682. [Google Scholar] [CrossRef]
- Yang, X.; Loos, J.; Veenstra, S.C.; Verhees, W.J.H.; Wienk, M.M.; Kroon, J.M.; Michels, M.A.J.; Janssen, R.A.J. Nanoscale Morphology of High-Performance Polymer Solar Cells. Nano Lett. 2005, 5, 579–583. [Google Scholar] [CrossRef]
- Savenije, T.J.; Kroeze, J.E.; Yang, X.; Loos, J. The formation of crystalline P3HT fibrils upon annealing of a PCBM:P3HT bulk heterojunction. Thin Solid Film. 2006, 511–512, 2–6. [Google Scholar] [CrossRef]
- Zhu, H.; Wei, J.; Wang, K.; Wu, D. Applications of carbon materials in photovoltaic solar cells. Sol. Energy Mater. Sol. Cells 2009, 93, 1461–1470. [Google Scholar] [CrossRef]
- Yun, D.; Feng, W.; Wu, H.; Li, B.; Liu, X.; Yi, W.; Qiang, J.; Gao, S.; Yan, S. Controllable functionalization of single-wall carbon nanotubes by in situ polymerization method for organic photovoltaic device. Synt. Met. 2008, 158, 977–983. [Google Scholar] [CrossRef]
- Derbal-Habak, H.; Bergeret, C.; Cousseau, J.; Nunz, J.M. Improving the current density Jsc of organic solar cells P3HT:PCBM by structuring the photoactive layer with functionalized SWCNTs. Sol. Energy Mater. Sola. Cells 2011, 95, 553–556. [Google Scholar] [CrossRef]
- Jun, G.H.; Jin, S.H.; Park, S.H.; Jeon, S.; Hong, S.H. Highly dispersed carbon nanotubes in organic media for polymer: Fullerene photovoltaic devices. Carbon 2012, 50, 40–46. [Google Scholar] [CrossRef]
- Rajiv, K.; Jitendra, K.; Amit, K.; Vikram, K.; Rama, K.; Ramadhar, S. Poly(3-hexylthiophene):Functionalized single-walled carbon nanotubes: (6,6)-phenyl-C61-butyric acidmethyl ester composites for photovoltaic cell at ambient condition. Sol. Energy Mater. Sol. Cells 2010, 94, 2386–2394. [Google Scholar] [CrossRef]
- Shaheen, S.E.; Brabec, C.J.; Sariciftci, N.S.; Padinger, F.; Fromherzet, T.; Hummelen, J.C. 2.5% efficient organic plastic solar cells. Appl. Phys. Lett. 2001, 78, 841–843. [Google Scholar] [CrossRef]
- Peumans, P.; Forrest, S.R. Very-high-efficiency double-heterostructure copper phthalocyanine/C60 photovoltaic cells. Appl. Phys. Lett. 2001, 79, 126–128. [Google Scholar] [CrossRef]
- Xue, M.A.; Uchida, S.; Rand, B.P.; Forrest, S.R. 4.2% efficient organic photovoltaic cells with low series resistances. Appl. Phys. Lett. 2004, 84, 3013–3015. [Google Scholar] [CrossRef]
- Cui, Y.; Yao, H.; Hong, L.; Zhang, T.; Tang, Y.; Lin, B.; Xian, K.; Gao, B.; An, C.; Bi, P.; et al. 17% efficiency organic photovoltaic cell with superior processability. Nat. Sci. Rev. 2020, 7, 1239–1246. [Google Scholar] [CrossRef]
- Wu, W.; Li, J.; Liu, L.; Yanga, L.; Guo, Z.-X.; Dai, L.; Zhu, D. The photoconductivity of PVK-carbon nanotube blends. Chem. Phys. Lett. 2002, 364, 196–199. [Google Scholar] [CrossRef]
- Bernede, J.C.; Alimi, K.; Safoula, G. Influence of annealing treatment on iodine doped poly(N-vinylcarbazole) powders. Polym. Deg. Stab. 1994, 46, 269–274. [Google Scholar] [CrossRef]
- Napo, K.; Chand, S.; Bernede, J.C.; Safoula, G.; Alimi, K. Growth and characterization of vacuum-deposited polyvinylcarbazole (PVK) films. J. Mat. Sci. 1992, 27, 6219–6222. [Google Scholar] [CrossRef]
- Touihri, S.; Safoula, G.; Leny, R.; Bernede, J.C. Comparison of the properties of iodine-doped poly(N-vinylcarbazole)(PVK) thin films obtained by evaporation of pure powder followed by iodine post-deposition doping and iodine pre-doped powder. Thin Solid Film. 1997, 304, 16–23. [Google Scholar] [CrossRef]
- Lee, C.; Yang, W.; Parr, R.G. Development of the Colle-Salvetti correlation-energy formula into a functional of the electron density. Phys. Rev. B 1988, 37, 785–789. [Google Scholar] [CrossRef] [PubMed]
- Massuyeau, F.; Faulques, E.; Lefrant, S.; Majdoub, M.; Ghedira, M.; Alimi, K.; Wéry, J. Photoluminescence properties of new PPV derivatives. J. Lumin. 2011, 131, 1541–1544. [Google Scholar] [CrossRef]
- Mbarek, M.; Zaidi, B.; Alimi, K. Theoretical study of the alkoxyls groups effect on PPV-ether excited states, a relationship with femtosecond decay. Spectrochim. Acta A Mol. Biomol. Spectrosc. 2012, 88, 23–30. [Google Scholar] [CrossRef]
- Zaidi, B.; Bouzayen, N.; Wéry, J.; Alimi, K. Annealing treatment and carbon nanotubes concentration effects on the optical and vibrational properties of single walled carbon nanotubes functionalized with short oligo-N-vinyl carbazole. Mter. Chem. Phys. 2011, 126, 417–423. [Google Scholar] [CrossRef]
- Baibarac, M.; Cantu, M.L.; Sol, J.O.; Baltog, I.; Pastor, N.C.; Romero, P.G. Poly(N-vinyl carbazole) and carbon nanotubes based composites and their application to rechargeable lithium batteries. Compos. Sci. Technol. 2007, 67, 2556–2563. [Google Scholar] [CrossRef]
- Wang, C.; Guo, Z.X.; Fu, S.; Wu, W.; Zhu, D. Polymers containing fullerene or carbon nanotube structures. Prog. Polym. Sci. 2004, 29, 1079–1141. [Google Scholar] [CrossRef]
- Yang, L.; Feng, J.-K.; Ren, A.-M.; Sun, J.-Z. The electronic structure and optical properties of carbazole-based conjugated oligomers and polymers, a theoretical investigation. Polymers 2006, 47, 1397–1404. [Google Scholar] [CrossRef]
- Baibarac, M.; Baltog, I.; Lefrant, S. Raman spectroscopic evidence for interfacial interactions in poly(bithiophene)/single-walled carbon nanotube composites. Carbon 2009, 47, 1389–1398. [Google Scholar] [CrossRef]
- Eklund, P.C.; Holden, J.M.; Jishi, R.A. Vibrational modes of carbon nanotubes; spectroscopy and theory. Carbon 1995, 33, 959–972. [Google Scholar] [CrossRef]
- Huang, J.E.; Li, X.H.; Xu, J.C.; Li, H.L. Well-dispersed single-walled carbon nanotube/polyaniline composite films. Carbon 2003, 41, 2731–2736. [Google Scholar] [CrossRef]
- Lukin, L.V. Efficiency of exciton dissociation at the interface between a conjugated polymer and an electron acceptor with consideration for a two-dimensional arrangement of interfacial dipoles. Chem. Phys. 2021, 551, 111327. [Google Scholar] [CrossRef]
- Baibarac, M.; Baltog, I.; Lefrant, S.; Mevellec, J.Y.; Bucur, C. Vibrational and photoluminescence properties of the polystyrene functionalized single-walled carbon nanotubes. Diam. Relat. Mater. 2008, 17, 1380–1388. [Google Scholar] [CrossRef]
- Ago, H.; Petritsch, K.; Shaffer, M.S.P.; Windle, A.H.; Friend, R.H. Composites of carbon nanotubes and conjugated polymers for photovoltaic devices. Adv. Mater. 1999, 11, 128–1285. [Google Scholar] [CrossRef]
- Mulazzi, E.; Perego, R.; Aarab, H.; Mihut, L.; Lefrant, S.; Faulques, E.; Wéry, J. Photoconductivity and optical properties in composites of poly(paraphenylene vinylene) and single-walled carbon nanotubes. Phys. Rev. B 2004, 70, 155206–155214. [Google Scholar] [CrossRef]
- Lin, Y.-Y.; Chen, C.-W.; Chang, T.Y.; Lin, J.; Liu, I.S.; Su, W.-F. Exciton dissociation and migration in enhanced order conjugates polymer/nanoparticlehybrid materials. Nanotechnology 2006, 17, 1260–1263. [Google Scholar] [CrossRef]
- Lin, Y.-T.; Zeng, T.-W.; Lai, W.-Z.; Chen, C.-W. Efficient photoinduced charge transfer in tio2 nanorod/conjugated polymer hybrid materials. Nanotechnology 2006, 17, 5781–5785. [Google Scholar] [CrossRef][Green Version]
- Aarab, H.; Baitoul, M.; Wery, J.; Almairac, R.; Lefrant, S.; Faulques, E.; Duvail, J.L.; Hamedoun, M. Electrical and optical properties of PPV and single-walled carbon nanotubes composites films. Synth. Met. 2005, 155, 63–67. [Google Scholar] [CrossRef]
- Ho, Y.B.; In, J.; Chung, H.-K.S.; Chung, Y.K. The effects of alkyls side-chain length and shape of polyfluorenes on the photoluminescence spectra and the fluorescence lifetimes of polyflorene blends with poly(n-vinyl carbazole). Chem. Phys. Lett. 2004, 393, 197–203. [Google Scholar] [CrossRef]
- Massuyeau, F.; Aarab, H.; Mihut, L.; Lefrant, S.; Faulques, E.; Wéry, J. Optical Properties of Poly(para-phenylenevinylene) and single-walled Carbon Nanotube composite films: Effects of conversion temperature, prucursor dilution and nanotube concentrations. Phys. Chem. C 2007, 111, 15111–15118. [Google Scholar] [CrossRef][Green Version]
- Chemek, M.; Wéry, J.; Bouachrine, M.; Paris, M.; Lefrant, S.; Alimi, K. Synthesis and characterization of novel graft copolymers of Poly(N-vinylcarbazole) and Poly(3-methylthiophene) for optoelectronic applications. Synth. Met. 2010, 160, 2306–2314. [Google Scholar] [CrossRef]
- Craley, C.R.; Zhang, R.; Kowalewski, T.; McCullough, R.D.; Stefan, M.C. Regioregular Poly(3-exylthiophene) in a Novel Conducting Amphiphilic Block Copolymer. Macromol. Rapid Commun. 2009, 30, 11–16. [Google Scholar] [CrossRef] [PubMed]
- McCullough, R. The Chemistry of Conducting Polythiophenes. Adv. Mater. 1998, 10, 93–116. [Google Scholar] [CrossRef]
- Wéry, J.; Aarab, H.; Lefrant, S.; Faulques, E.; Mulazzi, E.; Perego, R. Photoexcitations in compositrs of poly(paraphenylene vinylene) and single—walled carbon nanotubes. Phys. Rev. B 2003, 67, 115202–115207. [Google Scholar] [CrossRef]
- Saoudi, M.; Zaidi, B.; Alotaibi, A.A.; Althobaiti, M.G.; Alosime, E.M.; Ajjel, R. Polyaniline: Doping and Functionalization with Single Walled Carbon Nanotubes for Photovoltaic and Photocatalytic Application. Polymers 2021, 13, 2595. [Google Scholar] [CrossRef]
- Chiang, J.-C.; MacDiarmid, A.G. Polyaniline: Protonic acid doping of the emeraldine form to the metallic regime. Synth. Met. 1986, 13, 193. [Google Scholar] [CrossRef]
- Mishra, A.K.; Tandon, P. A Comparative Ab Initio and DFT Study of Polyaniline Leucoemeraldine Base and Its Oligomers. J. Phys. Chem. B 2009, 113, 14629. [Google Scholar] [CrossRef]
- Baibarac, M.; Baltog, I.; Lefrant, S.; Mevellec, J.Y.; Chauvet, O. Polyaniline and carbon nanotubes based composites containing whole units and fragments of nanotubes. Chem. Mater. 2003, 15, 4149–4156. [Google Scholar] [CrossRef]
- Pal, G.; Kumar, S. Modeling of carbon nanotubes and carbon nanotube–polymer composites. Prog. Aerosp. Sci. 2016, 80, 33. [Google Scholar] [CrossRef]
- Lu, X.; Hu, Y.; Wang, L.; Guo, Q.; Chen, S.; Hou, H.; Song, Y. Macroporous Carbon/Nitrogen-doped Carbon Nanotubes/Polyaniline Nanocomposites and Their Application in Supercapacitors. Electrochim. Acta. 2016, 189, 158–165. [Google Scholar] [CrossRef]
- Byron, P.R.; Hubert, P.; Salvetat, J.-P.; Zalamea, L. Flexural deflection as a measure of van der Waals interaction forces in the CNT array. Compos. Sci. Technol. 2006, 66, 1125. [Google Scholar] [CrossRef]
- Schroder, E.; Hyldgaard, P. The van der Waals interactions of concentric nanotubes. Mater. Sci. Eng. C 2003, 23, 721. [Google Scholar] [CrossRef][Green Version]
- He, B.; Tang, Q.; Luo, J.; Li, Q.; Chen, X.; Cai, H. Rapid charge-transfer in polypyrrole–single wall carbon nanotube complex counter electrodes: Improved photovoltaic performances of dye-sensitized solar cells. J. Power Sources 2014, 256, 170–177. [Google Scholar] [CrossRef]
- Goswami, M.; Ghosh, R.; Maruyama, T.; Meikap, A.K. Polyaniline/carbon nanotube/CdS quantum dot composites with enhanced optical and electrical properties. Appl. Surf. Sci. 2016, 364, 176. [Google Scholar] [CrossRef]
- El Malki, Z.; Bouachrine, M.; Hamidi, M.; Serein-Spirau, F.; Lere-Porte, J.P.; Sotiropoulos, J.M. Theoretical study of New Donor-π-Acceptor compounds based on Carbazole, Thiophene and Benzothiadiazole for Photovoltaic application as Dyesensitized solar cells. J. Mater. Environ. Sci. 2016, 7, 324–3255. [Google Scholar]
- Aleman, C.; Ferreir, C.A.; Torras, J.; Meneguzzi, A.; Canales, M.; Rodrigues, M.A.S.; Casanovas, J. On the molecular properties of polyaniline: A comprehensive theoretical study. J. Polym. 2008, 49, 5169. [Google Scholar] [CrossRef]
- Gadisa, A.; Svensson, M.; Andersson, M.R.; Inganas, O. Correlation between oxidation potential and open-circuit voltage of composite solar cells based on blends of polythiophenes/fullerene derivative. Appl. Phys. Lett. 2004, 84, 1609. [Google Scholar] [CrossRef]
- Veldman, A.; Meskers, S.C.J.; Janssen, R.A.J. The Energy of Charge-Transfer States in Electron Donor–Acceptor Blends: Insight into the Energy Losses in Organic Solar Cells. Adv. Funct. Mater. 2009, 19, 1939–1948. [Google Scholar] [CrossRef]
- Scharber, M.C.; Sariciftci, N.S. Efficiency of bulk-heterojunction organic solar cells. Prog. Polym. Sci. 2013, 38, 1929–1940. [Google Scholar] [CrossRef]
- Azazi, A.; Mabrouk, A.; Alimi, K. Theoretical investigation on the photophysical properties of low-band-gap copolymers for photovoltaic devices Comput. Theor. Chem. 2011, 978, 7. [Google Scholar] [CrossRef]
- Saoudi, M.; Zaidi, B.; Ajjel, R. Correlation between microstructures and optical properties of polyaniline/single-walled carbon nanotubes composites. Polym. Compos. 2019, 40, E821–E831. [Google Scholar] [CrossRef]
- Rozlivkova, Z.; Trchova, M.; Exnerova, M.; Stejska, J. The carbonization of granular polyaniline to produce nitrogen-containing carbon. Synt. Met. 2011, 161, 11–22. [Google Scholar] [CrossRef]
- Liu, D.; Wang, H.; Du, P.; Liu, P. Independently double-crosslinked carbon nanotubes/polyaniline composite films as flexible and robust free-standing electrodes for high-performance supercapacitors. Carbon 2017, 122, 761–774. [Google Scholar] [CrossRef]
- Borah, R.; Banerjee, S.; Kumar, A. Surface functionalization effects on structural, conformational, and optical properties of polyaniline nanofibers. Synth. Met. 2014, 197, 225–232. [Google Scholar] [CrossRef]
- Verma, D.; Dutt, V. Novel microstructure in spin coated polyaniline thin films. J. Phys. Condens. Matter. 2007, 19, 186–212. [Google Scholar] [CrossRef]
- Tauc, J. Amorphous and Liquid Semiconductors; Plenum: New York, NY, USA, 1974. [Google Scholar]
- Mathew, A.M.; Predeep, P. Plasma-polymerized elastomer/conducting polymer composite: Structural and optical characterization. Polym. Compos. 2013, 34, 1091–1098. [Google Scholar] [CrossRef]
- Kabir, H.; Rahman, M.M.; Uddin, K.M.; Bhuiya, A.H. Structural, morphological, compositional and optical studies of plasma polymerized 2-furaldehyde amorphous thin films. Appl. Surf. Sci. 2017, 423, 983–994. [Google Scholar] [CrossRef]
- Chithralekha, P.; Subramanian, E.; Padiyan, D.P. Electrodeposition of polyaniline thin films doped with dodeca tungstophosphoric acid: Effect on annealing and vapor sensing. Sens. Actuators B Chem. 2007, 122, 274. [Google Scholar] [CrossRef]
- Banerjee, S.; Kumar, A. Swift heavy ion irradiation induced modifications in the optical band gap and Urbach’s tail in polyaniline nanofibers. Nucl. Instrum. Methods Phys. Res. Sect. B 2011, 269, 2798. [Google Scholar] [CrossRef]
- Ji, T.; Feng, Y.Y.; Qin, M.; Feng, W. Thermal conducting properties of aligned carbon nanotubes and their polymer composites. Compos Part A Appl. Sci. Manuf. 2016, 91, 351. [Google Scholar] [CrossRef]
- Pocas, L.C.; Travain, S.A.; Duarte, J.L.; Silva, R.A.; Giacometti, J.A.; Marletta, A. Annealing effects on conductivity and optical properties of the PAni layer in ITO/PAni/PPV+DBS/Al polymer light-emitting diodes. J. Phys. Condens. Matter. 2007, 19, 436221. [Google Scholar] [CrossRef]
- Dimitrov, S.D.; Schroeder, B.C.; Nielsen, C.B.; Bronstein, H.; Fei, Z.; McCulloch, I.; Heeney, M.; Durrant, J.R. Singlet Exciton Lifetimes in Conjugated Polymer Films for Organic Solar Cells. Polymers 2016, 8, 14. [Google Scholar] [CrossRef] [PubMed]
- Scharber, M.C.; Mühlbacher, D.; Koppe, M.; Denk, P.; Waldauf, C.; Heeger, A.J.; Brabec, C.J. Design Rules for Donors in Bulk-Heterojunction Solar Cells—Towards 10% Energy-Conversion Efficiency. Adv. Mater. 2006, 18, 789–794. [Google Scholar] [CrossRef]


























| Samples | P1 (%) | P2 (%) | τ1 (ns) | τ2 (ns) | A1 | A2 | τm (ns) |
|---|---|---|---|---|---|---|---|
| OVK | 18.8 | 81.10 | 0.983 | 6.223 | 8.911 | 6.042 | 5.23 |
| OVK/SWCNTs in chloroform | 32.73 | 67.26 | 0.753 | 6.996 | 15.575 | 3.445 | 4.95 |
| OVK/SWCNTs in chlorobenzene | 32.98 | 67.01 | 0.662 | 3.848 | 13.747 | 4.804 | 2.796 |
Publisher’s Note: MDPI stays neutral with regard to jurisdictional claims in published maps and institutional affiliations. |
© 2022 by the authors. Licensee MDPI, Basel, Switzerland. This article is an open access article distributed under the terms and conditions of the Creative Commons Attribution (CC BY) license (https://creativecommons.org/licenses/by/4.0/).
Share and Cite
Zaidi, B.; Smida, N.; Althobaiti, M.G.; Aldajani, A.G.; Almdhaibri, S.D. Polymer/Carbon Nanotube Based Nanocomposites for Photovoltaic Application: Functionalization, Structural, and Optical Properties. Polymers 2022, 14, 1093. https://doi.org/10.3390/polym14061093
Zaidi B, Smida N, Althobaiti MG, Aldajani AG, Almdhaibri SD. Polymer/Carbon Nanotube Based Nanocomposites for Photovoltaic Application: Functionalization, Structural, and Optical Properties. Polymers. 2022; 14(6):1093. https://doi.org/10.3390/polym14061093
Chicago/Turabian StyleZaidi, Boubaker, Nejmeddine Smida, Mohammed G. Althobaiti, Atheer G. Aldajani, and Saif D. Almdhaibri. 2022. "Polymer/Carbon Nanotube Based Nanocomposites for Photovoltaic Application: Functionalization, Structural, and Optical Properties" Polymers 14, no. 6: 1093. https://doi.org/10.3390/polym14061093
APA StyleZaidi, B., Smida, N., Althobaiti, M. G., Aldajani, A. G., & Almdhaibri, S. D. (2022). Polymer/Carbon Nanotube Based Nanocomposites for Photovoltaic Application: Functionalization, Structural, and Optical Properties. Polymers, 14(6), 1093. https://doi.org/10.3390/polym14061093

