Biopackaging Potential Alternatives: Bioplastic Composites of Polyhydroxyalkanoates and Vegetal Fibers
Abstract
:1. Introduction
2. PHA–Vegetal Fiber Composites
2.1. Polyhydroxyalkanoate and Fiber Composites
| Pretreatment | Natural Fiber | Additive | Treatment Effect | Reference |
|---|---|---|---|---|
| Chopped grinding | Wood F | The fibers were too short to hinder the brittle fracture. | [51] | |
| Basalt F | The fiber–matrix adhesion improved. | [51] | ||
| Rice husk | Irregular fibers in morphology or size | [42] | ||
| Posidonia oceanica | Small size; Poor fiber–matrix interaction | [52] | ||
| Cotton | Uniform fiber dispersion due to a grafting process of the polymer matrix. | [53] | ||
| Enzymatic | Bamboo | Pectinase, cellulase, laccase | Rough surface. Decreased fiber polarity. Better compatibility. Slight increase in tensile and impact strength of composites. Delay in the thermal decomposition of composites. Increased melting peak and crystallization rate. Lower water absorption. | [44] |
| Grafted | Cellulose | Palmitoyl chloride | Increased hydrophobicity. Better fiber distribution in the matrix. Improved elongation of fibers. | [45] |
| Mechanical/Hydrothermal | Ceiba | Immerse in water for bacterial degradation | * | [47] |
| Piassava | * | Hemicellulose and lignin partially removed. Increased smooth surface area. Decreased average diameter. Better composites thermal stability. | [54] | |
| Mechanical/Hydrothermal | Microcrystalline cellulose | * | Size and shape changed to nanocrystals and nanofibrils. CNC contributed to high and perfect PLLA crystal formation. Composites with CNC have better elongation than composites with MCC. | [55] |
| Mechanical–chemical | Luffa | Alkaline treatment (NaOH) | Hemicelluloses and lignin partially removed. Reduced diameter. Improved adhesion. | [56] |
| Olive husk | Acetone–ethanol, NaOH | Hemicellulose and lignin eliminated. Smooth surface. Improved interfacial adhesion. | [57] | |
| Wheat straw | Alkaline treatment (NaOH) | Non-cellulosic components removed. Straight and smooth surface. Better fiber–matrix interface. Improved tensile strength. | [58] | |
| Vine shoots | Acetone | Reduction of lignin and resveratrol content. Improved biodegradability of the fiber. | [59] | |
| Seagrass | Acetic acid to wash, and alkaline treatment (NaOH) | Wax, hemicellulose, lignin, and calcium carbonate impurities removed. More reactive −OH groups in the fiber surface promoted better fiber–matrix interaction. | [60] | |
| Rice husk | Alkaline treatment (NaOH) | Wax, hemicellulose, and lignin removed. Increased crystallinity. | [60] | |
| Almond shell | Alkaline treatment (NaOH) | Wax, hemicellulose, and lignin removed. Increased crystallinity. | [60] | |
| Radiata pine | Sigmacote, hexane, heptane | * | [61] | |
| Coconut | Oregan essential oil | Fiber length decreased with increasing screw speed. Antibacterial activity (bacteriostatic effect against S. aureus). | [48] | |
| Microcrystalline cellulose | The size was reduced to nano dimensions, and the shape changed to spherical and fibril. | [55] | ||
| Kenaf | Alkaline treatment (NaOH) and silane (triethoxysilyl propylamine) | Improved interfacial fiber–matrix bond but not improved mechanical properties. | [33] | |
| Palm brunches (Efb) | Alkaline treatment (NaOH) and silane (triethoxysilyl propylamine) | Improved interfacial bond between fibers and matrix but not improved mechanical properties. | [33] | |
| Plasma | Microcrystalline cellulose | Surface modification for a better matrix–fiber interface. Decreased thermal stability. | [49] |
2.2. Mechanical Properties of PHA–Vegetal Fiber Composites
2.2.1. Young’s Modulus
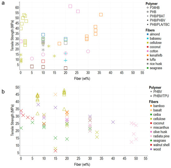
2.2.2. Tensile Strength
2.2.3. Elongation at Break
2.3. Thermal Properties of PHA–Fiber Composites
2.4. Barrier Properties of PHA–Fiber Composites
2.5. Biodegradability
2.6. Theoretical Modeling to Evaluate Performance and Applications of Polymer–Vegetal Fiber Composites
3. PHAs Composite Applications in Packaging: Contributions of the Industry
| Year | Publication Title | Owner | Matrix/Base | Filler/Additives | Applications | Publication Number | Group | Ref |
|---|---|---|---|---|---|---|---|---|
| 2021 | Composite materials, methods of making, methods of use, and articles incorporating the composite materials | NIKE INC | Articles that undergo water contact | US 10919257 B2 | B32B * | [135] | ||
| 2020 | Film packaging for oral biologics | CEVA SANTE ANIMALE S A | Biodegradable polymers and petroleum-based polymers | Films for packaging oral biologics such as vaccines. | EP 2775986 B1 | A61J, A61K, B32B, B65D * | [136] | |
| Compositions containing new polyesters | NOVAMONT SPA | Polyester, PHAs, aliphatic, and/or aromatic polyesters. | Mass-produced articles | US 10738149 B2 | C08K, C08G, C08J, C08K, C08K, C08L * | [137] | ||
| Biodegradable sheets | TIPA CORP LTD | PBS, PBAT, PHA, PLA | Biodegradable sheets | US 10675845 B2 | B32B, C08K, C08L, C09D * | [138] | ||
| 2019 | Biodegradable fabric and methods of making and using the same | SANCTUARY SYSTEM LLC | PLA | Packaging material, health care articles, and household products | WO2019070633 | D06M | ||
| Biodegradable sheet | TIPA CORP LTD | PBS, PBAT, PHA, PLA | Biodegradable sheets | US 10239292 B2 | C08L, B32B, C08J, C08K, | [139] | ||
| 2016 | Bio-based modifiers for polyvinylchloride blends | METABOLIX INC | Polyvinylchloride (PVC) and PHA | Packaging | US 9505927 B2 | B32B, B29C, Y10T | [140] | |
| Biodegradable polymer films and sheets suitable for use as laminate coatings as well as wraps and other packaging materials | BIOTEC BIOLOG NATURVERPACK | Polyester amides and other polyesters, and natural polymers | Inorganic fillers and plasticizers | Packaging, coating, and wrapping for fast food | EP 2357209 B1 | D21H, B29C, B29K, B42D, C08J, C08L, D21D, D21H, Y10T | [141] | |
| Multilayer article comprising a biodegradable polymer-based layer and a cellulose–fiber-based support; method of manufacturing multilayer article and food accessory comprising a multilayer article | AHLSTROM OY | PHAs, PLA, polybutylene succinate (PBS), biopolyesters | Non-woven fiber layer, kraft, and parchment, food-safe adhesive | Food molds resistant to moisture, food accessory agro-food industry. | EP 2841263 B1 | B32B, Y10T | [142] | |
| Process for manufacturing a composite article comprising cellulose pulp fibers and a thermoplastic matrix | SÖDRA SKOGSÄGARNA EKONOMISK FÖRENING | Polyolefins, PHAs, PLA, polycarbonates, polyvinyl, and mixtures thereof | Cellulose pulp fibers and lubricant | Food containers and packaging | EP 2847382 B1 | D21H, B32B, B226, Y10T | ||
| 2015 | Film with compostable heat seal layer | FRITO-LAY NORTH AMERICA INC/MOUNT III ELDRIDGE M; PALTA DEEPALI | PHBV, PHA | Flexible packaging film with heat seal layer | US 9162421 B2 | C09J, C08K, C08L, C09J | [132] |
4. Conclusions
Author Contributions
Funding
Institutional Review Board Statement
Informed Consent Statement
Data Availability Statement
Acknowledgments
Conflicts of Interest
References
- Cerrar el Círculo: Un Plan de Acción de la UE para la Economía Circular. Comision Europea. Available online: https://eur-lex.europa.eu/resource.html?uri=cellar:8a8ef5e8-99a0-11e5-b3b7-01aa75ed71a1.0011.02/DOC_1&format=PDF/ (accessed on 24 February 2022).
- Erbach, G. Legislative Train The European Green Deal. European Parliament. 2021. Available online: https://www.europarl.europa.eu/legislative-train/theme-a-european-green-deal/file-european-green-deal/ (accessed on 20 February 2022).
- A European Strategy for Plastics in a Circular Economy. European Comission. Available online: https://ec.europa.eu/environment/strategy/plastics-strategy_en/ (accessed on 20 February 2022).
- Bourguignon, D. Single-use plastics and fishing gear. European Parliament. 2019, p. 12. Available online: https://www.europarl.europa.eu/RegData/etudes/BRIE/2018/625115/EPRS_BRI(2018)625115_EN.pdf (accessed on 20 February 2022).
- Rizzarelli, P.; Rapisarda, M.; Ascione, L.; Innocenti, F.D.; La Mantia, F.P. Influence of photo-oxidation on the performance and soil degradation of oxo- and biodegradable polymer-based items for agricultural applications. Polym. Degrad. Stab. 2021, 188, 109578. [Google Scholar] [CrossRef]
- Zaborowska, M.; Bernat, K.; Pszczółkowski, B.; Wojnowska-Baryła, I.; Kulikowska, D. Anaerobic Degradability of commercially available bio-based and oxo-degradable packaging materials in the context of their end of life in the waste management strategy. Sustainability 2021, 13, 6818. [Google Scholar] [CrossRef]
- EU Monitor COM(2018)35—Impact of the Use of Oxo-Degradable Plastic, Including Oxo-Degradable Plastic Carrier Bags, on the Environment—EU Monitor. Available online: https://www.eumonitor.eu/9353000/1/j9vvik7m1c3gyxp/vkl2iurn2lzy (accessed on 24 February 2022).
- United Nations United Nations Convention on the Law of the Sea Oceans and Law of the Sea. Division for Ocean Affairs and the Law of the Sea. 1982. Available online: https://www.un.org/depts/los/convention_agreements/convention_overview_convention.htm (accessed on 24 February 2022).
- International Marine Organization Action Plan to Address Marine Plastic Litter from Ships. Available online: https://wwwcdn.imo.org/localresources/en/KnowledgeCentre/IndexofIMOResolutions/MEPCDocuments/MEPC.310(73).pdf (accessed on 20 February 2022).
- Macintosh, A.; Simpson, A.; Neeman, T.; Dickson, K. Plastic bag bans: Lessons from the Australian capital territory. Resour. Conserv. Recycl. 2020, 154, 104638. [Google Scholar] [CrossRef]
- Barrowclough, D.; Birkbeck, C. Transforming the global plastics economy: The role of economic policies in the global governance of plastic pollution. Soc. Sci. 2022, 11, 26. [Google Scholar] [CrossRef]
- World Econcomic Forum Germany Recycles More than Any Other Country. World Economic Forum. Available online: https://www.weforum.org/agenda/2017/12/germany-recycles-more-than-any-other-country/ (accessed on 24 February 2022).
- Sun, J.; Fang, C.; Chen, Z.; Chen, G. Regional cooperation in marine plastic waste cleanup in the south China sea region. Sustainability 2021, 13, 9221. [Google Scholar] [CrossRef]
- UN Environment Programme How China’s Ban of Plastic Waste Imports Can Help Us Beat Pollution. Available online: https://www.unep.org/news-and-stories/story/how-chinas-ban-plastic-waste-imports-can-help-us-beat-pollution (accessed on 24 February 2022).
- Wang, C.; Zhao, L.; Lim, M.K.; Chen, W.Q.; Sutherland, J.W. Structure of the global plastic waste trade network and the impact of China’s import Ban. Resour. Conserv. Recycl. 2020, 153, 104591. [Google Scholar] [CrossRef]
- Masuelli, M.A. Biopackaging; CRC Press: Boca Raton, FL, USA, 2017; ISBN 1351648381. [Google Scholar]
- Cuq, B.; Gontardt, N.; Guilbertt, S. Thermoplastic properties of fish myofibrillar proteins: Application to biopackaging fabrication. Polymer 1997, 38, 4071–4078. [Google Scholar] [CrossRef]
- Debeaufort, F. Active biopackaging produced from by-products and waste from food and marine industries. FEBS Open Bio 2021, 11, 984–998. [Google Scholar] [CrossRef]
- Muhamad, I.I.; Sabbagh, F.; Karim, N.A. Chapter 7 Polyhydroxyalkanoates: A Valuable Secondary Metabolite Produced in Microorganisms and Plants; Apple Academic Press: Palm Bay, FL, USA, 2016; Volume 3, ISBN 9781315366302. [Google Scholar]
- Albuquerque, P.B.S.; Malafaia, C.B. Perspectives on the production, structural characteristics and potential applications of bioplastics derived from polyhydroxyalkanoates. Int. J. Biol. Macromol. 2018, 107, 615–625. [Google Scholar] [CrossRef]
- Sabbagh, F.; Muhamad, I.I. Production of poly-hydroxyalkanoate as secondary metabolite with main focus on sustainable energy. Renew. Sustain. Energy Rev. 2017, 72, 95–104. [Google Scholar] [CrossRef]
- Mojaveryazdi, F.S.; Muhamad, I.I.; Rezania, S.; Benham, H. Importance of glucose and pseudomonas in producing degradable plastics. J. Teknol. Sci. Eng. 2014, 69, 7–10. [Google Scholar] [CrossRef] [Green Version]
- Pérez-Rivero, C.; López-Gómez, J.P.; Roy, I. A sustainable approach for the downstream processing of bacterial polyhydroxyalkanoates: State-of-the-art and latest developments. Biochem. Eng. J. 2019, 150, 107283. [Google Scholar] [CrossRef]
- Wu, C.S. Mechanical properties, biocompatibility, and biodegradation of cross-linked cellulose acetate-reinforced polyester composites. Carbohydr. Polym. 2014, 105, 41–48. [Google Scholar] [CrossRef] [PubMed]
- Dilkes-Hoffman, L.S.; Lant, P.A.; Laycock, B.; Pratt, S. The rate of biodegradation of PHA bioplastics in the marine environment: A meta-study. Mar. Pollut. Bull. 2019, 142, 15–24. [Google Scholar] [CrossRef]
- Jendrossek, D. Peculiarities of PHA granules preparation and PHA depolymerase activity determination. Appl. Microbiol. Biotechnol. 2007, 74, 1186–1196. [Google Scholar] [CrossRef]
- Ong, S.Y.; Sudesh, K. Effects of polyhydroxyalkanoate degradation on soil microbial community. Polym. Degrad. Stab. 2016, 131, 9–19. [Google Scholar] [CrossRef]
- Boyandin, A.N.; Prudnikova, S.V.; Filipenko, M.L.; Khrapov, E.A.; Vasil’ev, A.D.; Volova, T.G. Biodegradation of polyhydroxyalkanoates by soil microbial communities of different structures and detection of PHA degrading microorganisms. Appl. Biochem. Microbiol. 2012, 48, 28–36. [Google Scholar] [CrossRef]
- Mojaveryazdi, F.S.; Azimah, N.; Mohd, B.; Rezania, S.; Universiti, B.; Biotechnology, I.; Faculty, E.E. Production of biodegradable polymers (PHA) through low cost carbon sources: Green Chemistry. Int. J. Chem. Environ. Eng. 2012, 4, 184–188. [Google Scholar]
- Carus, M. Bio-based polymers-Production capacity will triple from 3.5 million tonnes in 2011 to nearly 12 million tonnes in 2020. Ind. Biotechnol. 2013, 9, 81–84. [Google Scholar] [CrossRef]
- Chen, Y.; Fan, D.; Han, Y.; Lyu, S.; Lu, Y.; Li, G.; Jiang, F.; Wang, S. Effect of high residual lignin on the properties of cellulose nanofibrils/films. Cellulose 2018, 25, 6421–6431. [Google Scholar] [CrossRef]
- Hamilton, A.; Scheer, R.; Stakes, T.; Allan, S. Solving Plastic pollution through accountability. WWF Plast. Rep. 2019, 25, 6–46. [Google Scholar]
- Bourguignon, D. New boost for jobs, growth and investment. Legis. Train Eur. Parliam. 2020, 2016–2018. [Google Scholar]
- Bioplastics Market Data–European Bioplastics. Available online: https://www.european-bioplastics.org/market/ (accessed on 16 January 2022).
- Dietrich, K.; Dumont, M.J.; Del Rio, L.F.; Orsat, V. Sustainable PHA production in integrated lignocellulose biorefineries. N. Biotechnol. 2019, 49, 161–168. [Google Scholar] [CrossRef] [PubMed]
- Keskin, G.; Klzll, G.; Bechelany, M.; Pochat-Bohatier, C.; Öner, M. Potential of polyhydroxyalkanoate (PHA) polymers family as substitutes of petroleum based polymers for packaging applications and solutions brought by their composites to form barrier materials. Pure Appl. Chem. 2017, 89, 1841–1848. [Google Scholar] [CrossRef]
- Pérez-Arauz, A.O.; Aguilar-Rabiela, A.E.; Vargas-Torres, A.; Rodríguez-Hernández, A.-I.; Chavarría-Hernández, N.; Vergara-Porras, B.; López-Cuellar, M.R. Production and characterization of biodegradable films of a novel polyhydroxyalkanoate (PHA) synthesized from peanut oil. Food Packag. Shelf Life 2019, 20, 100297. [Google Scholar] [CrossRef]
- Hassaini, L.; Kaci, M.; Benhamida, A.; Bruzaud, S.; Pillin, I.; Grohens, Y. The effects of PHBV-g-MA compatibilizer on morphology and properties of poly(3-hydroxybutyrate-Co-3-hydroxyvalerate)/olive husk flour composites. J. Adhes. Sci. Technol. 2016, 30, 2061–2080. [Google Scholar] [CrossRef]
- Sood, M.; Dwivedi, G. Effect of fiber treatment on flexural properties of natural fiber reinforced composites: A review. Egypt. J. Pet. 2018, 27, 775–783. [Google Scholar] [CrossRef]
- Michel, A.T.; Billington, S.L. Characterization of poly-hydroxybutyrate films and hemp fiber reinforced composites exposed to accelerated weathering. Polym. Degrad. Stab. 2012, 97, 870–878. [Google Scholar] [CrossRef]
- Wu, C.S.; Wu, D.Y.; Wang, S.S. Preparation, characterization, and functionality of bio-based polyhydroxyalkanoate and renewable natural fiber with waste oyster shell composites. Polym. Bull. 2021, 78, 4817–4834. [Google Scholar] [CrossRef]
- Khoshnava, S.M.; Rostami, R.; Ismail, M.; Rahmat, A.R.; Ogunbode, B.E. Woven hybrid Biocomposite: Mechanical properties of woven kenaf bast fibre/oil palm empty fruit bunches hybrid reinforced poly hydroxybutyrate biocomposite as non-structural building materials. Constr. Build. Mater. 2017, 154, 155–166. [Google Scholar] [CrossRef]
- Pasangulapati, V.; Ramachandriya, K.D.; Kumar, A.; Wilkins, M.R.; Jones, C.L.; Huhnke, R.L. Effects of cellulose, hemicellulose and lignin on thermochemical conversion characteristics of the selected biomass. Bioresour. Technol. 2012, 114, 663–669. [Google Scholar] [CrossRef] [PubMed]
- Pérez, J.; Muñoz-Dorado, J.; De La Rubia, T.; Martínez, J. Biodegradation and biological treatments of cellulose, hemicellulose and lignin: An overview. Int. Microbiol. 2002, 5, 53–63. [Google Scholar] [CrossRef] [PubMed]
- Cazón, P.; Velázquez, G.; Vázquez, M. Regenerated cellulose films combined with glycerol and polyvinyl alcohol: Effect of moisture content on the physical properties. Food Hydrocoll. 2020, 103, 105657. [Google Scholar] [CrossRef]
- Motaung, T.E.; Linganiso, L.Z. Critical Review on Agrowaste Cellulose Applications for Biopolymers; Springer India: New Delhi, India, 2018; Volume 22, ISBN 1258801892. [Google Scholar]
- Melo, J.D.D.; Carvalho, L.F.M.; Medeiros, A.M.; Souto, C.R.O.; Paskocimas, C.A. A biodegradable composite material based on polyhydroxybutyrate (PHB) and carnauba fibers. Compos. Part B Eng. 2012, 43, 2827–2835. [Google Scholar] [CrossRef]
- Bousfield, G.; Morin, S.; Jacquet, N.; Richel, A. Extraction and refinement of agricultural plant fibers for composites manufacturing. Comptes Rendus Chim. 2018, 21, 897–906. [Google Scholar] [CrossRef]
- Chilali, A.; Assarar, M.; Zouari, W.; Kebir, H.; Ayad, R. Mechanical characterization and damage events of flax fabric-reinforced biopolymer composites. Polym. Polym. Compos. 2020, 28, 631–644. [Google Scholar] [CrossRef]
- Meng, D.C.; Shen, R.; Yao, H.; Chen, J.C.; Wu, Q.; Chen, G.Q. Engineering the diversity of polyesters. Curr. Opin. Biotechnol. 2014, 29, 24–33. [Google Scholar] [CrossRef]
- Melendez Rodriguez, B.; Torres Giner, S.; Aldureid, A.; Cabedo, L.; Lagaron, J.M. Reactive melt mixing of poly(3-hydroxybutyrate)/rice husk flour composites with purified biosustainably produced poly(3-hydroxybutyrate-co-3-hydroxyvalerate) beatriz. Materials 2019, 12, 2152. [Google Scholar] [CrossRef] [Green Version]
- Martino, L.; Berthet, M.A.; Angellier-Coussy, H.; Gontard, N. Understanding external plasticization of melt extruded PHBV-wheat straw fibers biodegradable composites for food packaging. J. Appl. Polym. Sci. 2015, 132, 1–11. [Google Scholar] [CrossRef]
- Zhuo, G.; Zhang, X.; Jin, X.; Wang, M.; Yang, X.; Li, S. Effect of different enzymatic treatment on mechanical, water absorption and thermal properties of bamboo fibers reinforced poly(hydroxybutyrate-co-valerate) biocomposites. J. Polym. Environ. 2020, 28, 2377–2385. [Google Scholar] [CrossRef]
- David, G.; Gontard, N.; Angellier-Coussy, H. Mitigating the impact of cellulose particles on the performance of biopolyester-based composites by gas-phase esterification. Polymers 2019, 11, 200. [Google Scholar] [CrossRef] [PubMed] [Green Version]
- Santos, E.B.C.; Barros, J.J.P.; de Moura, D.A.; Moreno, C.G.; de Carvalho Fim, F.; da Silva, L.B. Da Rheological and thermal behavior of PHB/piassava fiber residue-based green composites modified with warm water. J. Mater. Res. Technol. 2019, 8, 531–540. [Google Scholar] [CrossRef]
- Varghese, S.A.; Pulikkalparambil, H.; Rangappa, S.M.; Siengchin, S.; Parameswaranpillai, J. Novel biodegradable polymer films based on poly(3-hydroxybutyrate-co-3-hydroxyvalerate) and Ceiba pentandra natural fibers for packaging applications. Food Packag. Shelf Life 2020, 25, 100538. [Google Scholar] [CrossRef]
- Torres-Giner, S.; Hilliou, L.; Melendez-Rodriguez, B.; Figueroa-Lopez, K.J.; Madalena, D.; Cabedo, L.; Covas, J.A.; Vicente, A.A.; Lagaron, J.M. Melt processability, characterization, and antibacterial activity of compression-molded green composite sheets made of poly(3-hydroxybutyrate-co-3-hydroxyvalerate) reinforced with coconut fibers impregnated with oregano essential oil. Food Packag. Shelf Life 2018, 17, 39–49. [Google Scholar] [CrossRef] [Green Version]
- Vizireanu, S.; Panaitescu, D.M.; Nicolae, C.A.; Frone, A.N.; Chiulan, I.; Ionita, M.D.; Satulu, V.; Carpen, L.G.; Petrescu, S.; Birjega, R.; et al. Cellulose defibrillation and functionalization by plasma in liquid treatment. Sci. Rep. 2018, 8, 15473. [Google Scholar] [CrossRef]
- Gigante, V.; Cinelli, P.; Righetti, M.C.; Sandroni, M.; Polacco, G.; Seggiani, M.; Lazzeri, A. On the use of biobased waxes to tune thermal and mechanical properties of polyhydroxyalkanoates-bran biocomposites. Polymers 2020, 12, 2615. [Google Scholar] [CrossRef]
- Righetti, M.C.; Cinelli, P.; Mallegni, N.; Stäbler, A.; Lazzeri, A. Thermal and mechanical properties of biocomposites made of poly(3-hydroxybutyrate-co-3-hydroxyvalerate) and potato pulp powder. Polymers 2019, 11, 308. [Google Scholar] [CrossRef] [Green Version]
- Wong, S.; Shanks, R.; Hodzic, A. Properties of poly(3-hydroxybutyric acid) composites with flax fibres modified by plasticiser absorption. Macromol. Mater. Eng. 2002, 287, 647–655. [Google Scholar] [CrossRef]
- Nakajima, H.; Dijkstra, P.; Loos, K. The recent developments in biobased polymers toward general and engineering applications: Polymers that are upgraded from biodegradable polymers, analogous to petroleum-derived polymers, and newly developed. Polymers 2017, 9, 523. [Google Scholar] [CrossRef]
- Russo, P.; Carfagna, C.; Cimino, F.; Acierno, D.; Persico, P. Biodegradable composites reinforced with kenaf fibers: Thermal, mechanical, and morphological issues. Adv. Polym. Technol. 2012, 32, 474–485. [Google Scholar] [CrossRef]
- Sánchez-Safont, E.L.; Arrillaga, A.; Anakabe, J.; Cabedo, L.; Gamez-Perez, J. Toughness enhancement of PHBV/TPU/cellulose compounds with reactive additives for compostable injected parts in industrial applications. Int. J. Mol. Sci. 2018, 19, 2102. [Google Scholar] [CrossRef] [PubMed] [Green Version]
- Muthuraj, R.; Misra, M.; Mohanty, A.K. Reactive compatibilization and performance evaluation of miscanthus biofiber reinforced poly(hydroxybutyrate-co-hydroxyvalerate) biocomposites. J. Appl. Polym. Sci. 2017, 134, 1–10. [Google Scholar] [CrossRef]
- Rojas dos Santos, N.R.; Middea, A.; da Costa Gonçalves, L.F.; Pereira, I.C.S.; Oliveira, R.N.; Lima, A.M.; Lima, E.M.B.; Minguita, A.P.S.; Moreira, A.P.D.; Tavares, M.I.B.; et al. Poly(lactic acid) biocomposites with mango waste and organo-montmorillonite for packaging. J. Appl. Polym. Sci. 2019, 136, 47512. [Google Scholar] [CrossRef]
- Fiore, V.; Scalici, T.; Nicoletti, F.; Vitale, G.; Prestipino, M.; Valenza, A. A new eco-friendly chemical treatment of natural fibres: Effect of sodium bicarbonate on properties of sisal fibre and its epoxy composites. Compos. Part B Eng. 2016, 85, 150–160. [Google Scholar] [CrossRef]
- Zhang, B.; Huang, C.; Zhao, H.; Wang, J.; Yin, C.; Zhang, L.; Zhao, Y. Eects of cellulose nanocrystals and cellulose nanofibers on the structure and properties of polyhydroxybutyrate nanocomposites. Polymers 2019, 11, 2063. [Google Scholar] [CrossRef] [Green Version]
- Beber, V.C.; de Barros, S.; Banea, M.D.; Brede, M.; de Carvalho, L.H.; Hoffmann, R.; Costa, A.R.M.; Bezerra, E.B.; Silva, I.D.S.; Haag, K.; et al. Effect of Babassu natural filler on PBAT/PHB biodegradable blends: An investigation of thermal, mechanical, and morphological behavior. Materials 2018, 11, 820. [Google Scholar] [CrossRef] [Green Version]
- Zaidi, Z.; Crosky, A. Unidirectional rubber-toughened green composites based on PHBV. Sustainability 2019, 11, 2411. [Google Scholar] [CrossRef] [Green Version]
- Avecilla-RamIrez, A.M.; del Rocio Lopez-Cuellar, M.; Vergara-Porras, B.; Rodriguez-Hernandez, A.I.; Vazquez-Nunez, E. Characterization of poly-hydroxybutyrate/luffa fibers composite material. BioResources 2020, 15, 7159–7177. [Google Scholar] [CrossRef]
- El-Hadi, A.M. Increase the elongation at break of poly (lactic acid) composites for use in food packaging films. Sci. Rep. 2017, 7, 1–14. [Google Scholar] [CrossRef] [Green Version]
- Zhao, C.; Li, J.; He, B.; Zhao, L. Fabrication of hydrophobic biocomposite by combining cellulosic fibers with polyhydroxyalkanoate. Cellulose 2017, 24, 2265–2274. [Google Scholar] [CrossRef]
- Sánchez-Safont, E.L.; Aldureid, A.; Lagarón, J.M.; Gámez-Pérez, J.; Cabedo, L. Biocomposites of different lignocellulosic wastes for sustainable food packaging applications. Compos. Part B Eng. 2018, 145, 215–225. [Google Scholar] [CrossRef]
- Chan, C.M.; Vandi, L.J.; Pratt, S.; Halley, P.; Richardson, D.; Werker, A.; Laycock, B. Composites of Wood and biodegradable thermoplastics: A review. Polym. Rev. 2018, 58, 444–494. [Google Scholar] [CrossRef]
- Hosokawa, M.N.; Darros, A.B.; Moris, V.A.D.S.; De Paiva, J.M.F. Polyhydroxybutyrate composites with random mats of sisal and coconut fibers. Mater. Res. 2017, 20, 279–290. [Google Scholar] [CrossRef] [Green Version]
- Qasim, U.; Fatima, R.; Usman, M. Efficient barrier properties of mechanically enhanced agro-extracted cellulosic biocomposites. Mater. Today Chem. 2020, 18, 100378. [Google Scholar] [CrossRef]
- Guo, Y.; Wang, L.; Chen, Y.; Luo, P.; Chen, T. Properties of luffa fiber reinforced PHBV biodegradable composites. Polymers 2019, 11, 1765. [Google Scholar] [CrossRef] [Green Version]
- Hammiche, D.; Boukerrou, A.; Grohens, Y.; Guermazi, N.; Arrakhiz, F.E. Mechanical properties and biodegradation of biocomposites based on poly (hydroxybutyrate-co-valerate) and alfa fibers. J. Polym. Res. 2020, 27, 1–10. [Google Scholar] [CrossRef]
- Vandi, L.-J.; Chan, C.M.; Werke, A.; Richardson, D.; Laycock, B.; Pratt, S. Extrusion of wood fibre reinforced poly(hydroxybutyrate-co-hydroxyvalerate) (PHBV) biocomposites: Statistical analysis of the effect of processing conditions on mechanical performance. Polym. Degrad. Stab. 2019, 159, 1–14. [Google Scholar] [CrossRef]
- Mazur, K.; Kuciel, S. Mechanical and hydrothermal aging behaviour of polyhydroxybutyrate-co-valerate (PHBV) composites reinforced by natural fibres. Molecules 2019, 24, 3538. [Google Scholar] [CrossRef] [Green Version]
- Balestri, E.; Vallerini, F.; Seggiani, M.; Cinelli, P.; Menicagli, V.; Vannini, C.; Lardicci, C. Use of bio-containers from seagrass wrack with nursery planting to improve the eco-sustainability of coastal habitat restoration. J. Environ. Manag. 2019, 251, 109604. [Google Scholar] [CrossRef]
- Seggiani, M.; Cinelli, P.; Balestri, E.; Mallegni, N.; Stefanelli, E.; Rossi, A.; Lardicci, C.; Lazzeri, A. Novel sustainable composites based on poly(hydroxybutyrate-co-hydroxyvalerate) and seagrass beach-CAST fibers: Performance and degradability in marine environments. Materials 2018, 11, 772. [Google Scholar] [CrossRef] [Green Version]
- Kuciel, S.; Mazur, K.; Jakubowska, P. Novel biorenewable composites based on poly (3-hydroxybutyrate-co-3-hydroxyvalerate) with natural fillers. J. Polym. Environ. 2019, 27, 803–815. [Google Scholar] [CrossRef] [Green Version]
- David, G.; Michel, J.; Gastaldi, E.; Gontard, N.; Angellier-Coussy, H. How vine shoots as fillers impact the biodegradation of PHBV-based composites. Int. J. Mol. Sci. 2020, 21, 228. [Google Scholar] [CrossRef] [PubMed] [Green Version]
- Pantaloni, D.; Shah, D.; Baley, C.; Bourmaud, A. Monitoring of mechanical performances of flax non-woven biocomposites during a home compost degradation. Polym. Degrad. Stab. 2020, 177, 109166. [Google Scholar] [CrossRef]
- Battegazzore, D.; Frache, A.; Abt, T.; Maspoch, M.L. Epoxy coupling agent for PLA and PHB copolymer-based cotton fabric bio-composites. Compos. Part B Eng. 2018, 148, 188–197. [Google Scholar] [CrossRef]
- Graupner, N.; Müssig, J. A comparison of the mechanical characteristics of kenaf and lyocell fibre reinforced poly(lactic acid) (PLA) and poly(3-hydroxybutyrate) (PHB) composites. Compos. Part A Appl. Sci. Manuf. 2011, 42, 2010–2019. [Google Scholar] [CrossRef]
- Awaja, F.; Gilbert, M.; Kelly, G.; Fox, B.; Pigram, P.J. Adhesion of polymers. Prog. Polym. Sci. 2009, 34, 948–968. [Google Scholar] [CrossRef]
- Berthet, M.-A.; Angellier-Coussy, H.; Guillard, V.; Gontard, N. Vegetal fiber-based biocomposites: Which stakes for food packaging applications? J. Appl. Polym. Sci. 2016, 133, 1–18. [Google Scholar] [CrossRef]
- Wu, C.S.; Liao, H.T. The mechanical properties, biocompatibility and biodegradability of chestnut shell fibre and polyhydroxyalkanoate composites. Polym. Degrad. Stab. 2014, 99, 274–282. [Google Scholar] [CrossRef]
- Iggui, K.; Le Moigne, N.; Kaci, M.; Cambe, S.; Degorce-Dumas, J.R.; Bergeret, A. A biodegradation study of poly(3-hydroxybutyrate-co-3-hydroxyvalerate)/organoclay nanocomposites in various environmental conditions. Polym. Degrad. Stab. 2015, 119, 77–86. [Google Scholar] [CrossRef]
- Tian, J.; Zhang, R.; Wu, Y.; Xue, P. Additive manufacturing of wood flour/polyhydroxyalkanoates (PHA) fully bio-based composites based on micro-screw extrusion system. Mater. Des. 2021, 199, 109418. [Google Scholar] [CrossRef]
- Vilchez, A.; Acevedo, F.; Cea, M.; Seeger, M.; Navia, R. Development and thermochemical characterization of an antioxidant material based on polyhydroxybutyrate electrospun microfibers. Int. J. Biol. Macromol. 2021, 183, 772–780. [Google Scholar] [CrossRef] [PubMed]
- Briassoulis, D.; Tserotas, P.; Athanasoulia, I.G. Alternative optimization routes for improving the performance of poly(3-hydroxybutyrate) (PHB) based plastics. J. Clean. Prod. 2021, 318, 128555. [Google Scholar] [CrossRef]
- Othman, S.H. Bio-nanocomposite materials for food packaging applications: Types of biopolymer and nano-sized filler. Agric. Agric. Sci. Proc. 2014, 2, 296–303. [Google Scholar] [CrossRef] [Green Version]
- Tarrahi, R.; Fathi, Z.; Seydibeyoğlu, M.Ö.; Doustkhah, E.; Khataee, A. Polyhydroxyalkanoates (PHA): From production to nanoarchitecture. Int. J. Biol. Macromol. 2020, 146, 596–619. [Google Scholar] [CrossRef] [PubMed]
- Olayil, R.; Arumuga Prabu, V.; DayaPrasad, S.; Naresh, K.; Rama Sreekanth, P.S. A review on the application of bio-nanocomposites for food packaging. Mater. Today Proc. 2021. in Press. [Google Scholar] [CrossRef]
- Camargo, F.A.; Innocentini-Mei, L.H.; Lemes, A.P.; Moraes, S.G.; Durán, N. Processing and characterization of composites of poly(3-hydroxybutyrate-co- hydroxyvalerate) and lignin from sugar cane bagasse. J. Compos. Mater. 2012, 46, 417–425. [Google Scholar] [CrossRef]
- Nair, S.S.; Kuo, P.Y.; Chen, H.; Yan, N. Investigating the effect of lignin on the mechanical, thermal, and barrier properties of cellulose nanofibril reinforced epoxy composite. Ind. Crops Prod. 2017, 100, 208–217. [Google Scholar] [CrossRef]
- Vandi, L.J.; Chan, C.M.; Werker, A.; Richardson, D.; Laycock, B.; Pratt, S. Wood-PHA composites: Mapping opportunities. Polymers 2018, 10, 751. [Google Scholar] [CrossRef] [Green Version]
- Cherpinski, A.; Torres-Giner, S.; Vartiainen, J.; Peresin, M.S.; Lahtinen, P.; Lagaron, J.M. Improving the water resistance of nanocellulose-based films with polyhydroxyalkanoates processed by the electrospinning coating technique. Cellulose 2018, 25, 1291–1307. [Google Scholar] [CrossRef]
- Seoane, I.T.; Luzi, F.; Puglia, D.; Cyras, V.P.; Manfredi, L.B. Enhancement of paperboard performance as packaging material by layering with plasticized polyhydroxybutyrate/nanocellulose coatings. J. Appl. Polym. Sci. 2018, 135, 46872. [Google Scholar] [CrossRef]
- Cherpinski, A.; Torres-Giner, S.; Cabedo, L.; Méndez, J.A.; Lagaron, J.M. Multilayer structures based on annealed electrospun biopolymer coatings of interest in water and aroma barrier fiber-based food packaging applications. J. Appl. Polym. Sci. 2018, 135. [Google Scholar] [CrossRef]
- Wei, L.; Liang, S.; McDonald, A.G. Thermophysical properties and biodegradation behavior of green composites made from polyhydroxybutyrate and potato peel waste fermentation residue. Ind. Crops Prod. 2015, 69, 91–103. [Google Scholar] [CrossRef]
- Quiles-Carrillo, L.; Montanes, N.; Garcia-Garcia, D.; Carbonell-Verdu, A.; Balart, R.; Torres-Giner, S. Effect of different compatibilizers on injection-molded green composite pieces based on polylactide filled with almond shell flour. Compos. Part B Eng. 2018, 147, 76–85. [Google Scholar] [CrossRef]
- Tănase, E.E.; Popa, M.E.; Râpă, M.; Popa, O. PHB/Cellulose fibers based materials: Physical, mechanical and barrier properties. Agric. Agric. Sci. Proc. 2015, 6, 608–615. [Google Scholar] [CrossRef] [Green Version]
- Babu, R.P.; O’Connor, K.; Seeram, R. Current progress on bio-based polymers and their future trends. Prog. Biomater. 2013, 2, 8. [Google Scholar] [CrossRef] [Green Version]
- A European Strategy for Plastics in a Circular Economy. European Parliament. Available online: https://ec.europa.eu/transparency/documents-register/detail?ref=COM(2018)28&lang=en/ (accessed on 10 January 2022).
- Single-Use Plastics: New EU Rules to Reduce Marine Litter. Delegation of the European Union to Montenegro. Available online: https://eeas.europa.eu/delegations/montenegro_fa/45931/Single-use%20plastics:%20New%20EU%20rules%20to%20reduce%20marine%20litter/ (accessed on 10 January 2022).
- Lucas, N.; Bienaime, C.; Belloy, C.; Queneudec, M.; Silvestre, F.; Nava-Saucedo, J.E. Polymer biodegradation: Mechanisms and estimation techniques—A review. Chemosphere 2008, 73, 429–442. [Google Scholar] [CrossRef]
- Eubeler, J.P.; Zok, S.; Bernhard, M.; Knepper, T.P. Environmental biodegradation of synthetic polymers I. Test methodologies and procedures. TrAC Trends Anal. Chem. 2009, 28, 1057–1072. [Google Scholar] [CrossRef]
- Joyyi, L.; Ahmad Thirmizir, M.Z.; Salim, M.S.; Han, L.; Murugan, P.; Kasuya, K.; Maurer, F.H.J.; Zainal Arifin, M.I.; Sudesh, K. Composite properties and biodegradation of biologically recovered P(3HB- co -3HHx) reinforced with short kenaf fibers. Polym. Degrad. Stab. 2017, 137, 100–108. [Google Scholar] [CrossRef]
- Musioł, M.; Jurczyk, S.; Sobota, M.; Klim, M.; Sikorska, W.; Zięba, M.; Janeczek, H.; Rydz, J.; Kurcok, P.; Johnston, B.; et al. (Bio)Degradable Polymeric Materials for Sustainable Future—Part 3: Degradation Studies of the PHA/Wood Flour-Based Composites and Preliminary Tests of Antimicrobial Activity. Materials 2020, 13, 2200. [Google Scholar] [CrossRef]
- Šerá, J.; Serbruyns, L.; De Wilde, B.; Koutný, M. Accelerated biodegradation testing of slowly degradable polyesters in soil. Polym. Degrad. Stab. 2020, 171, 109031. [Google Scholar] [CrossRef]
- Chan, C.M.; Vandi, L.-J.; Pratt, S.; Halley, P.; Richardson, D.; Werker, A.; Laycock, B. Insights into the biodegradation of PHA / wood composites: Micro- and macroscopic changes. Sustain. Mater. Technol. 2019, 21, e00099. [Google Scholar] [CrossRef] [Green Version]
- Iwańczuk, A.; Kozłowski, M.; Łukaszewicz, M.; Jabłoński, S. Anaerobic biodegradation of polymer composites filled with natural fibers. J. Polym. Environ. 2015, 23, 277–282. [Google Scholar] [CrossRef] [Green Version]
- Narancic, T.; Verstichel, S.; Reddy Chaganti, S.; Morales-Gamez, L.; Kenny, S.T.; De Wilde, B.; Babu Padamati, R.; O’Connor, K.E. Biodegradable plastic blends create new possibilities for end-of-life management of plastics but they are not a panacea for plastic pollution. Environ. Sci. Technol. 2018, 52, 10441–10452. [Google Scholar] [CrossRef] [PubMed]
- Jain, R.; Tiwari, A. Biosynthesis of planet friendly bioplastics using renewable carbon source. J. Environ. Heal. Sci. Eng. 2015, 13, 11. [Google Scholar] [CrossRef] [PubMed] [Green Version]
- Benn, N.; Zitomer, D. Pretreatment and anaerobic co-digestion of selected PHB and PLA bioplastics. Front. Environ. Sci. 2018, 5, 93. [Google Scholar] [CrossRef] [Green Version]
- Volova, T.G.; Prudnikova, S.V.; Vinogradova, O.N.; Syrvacheva, D.A.; Shishatskaya, E.I. Microbial degradation of polyhydroxyalkanoates with different chemical compositions and their biodegradability. Microb. Ecol. 2017, 73, 353–367. [Google Scholar] [CrossRef]
- Gómez, E.F.; Michel, F.C. Biodegradability of conventional and bio-based plastics and natural fiber composites during composting, anaerobic digestion and long-term soil incubation. Polym. Degrad. Stab. 2013, 98, 2583–2591. [Google Scholar] [CrossRef]
- Dilkes-Hoffman, L.S.; Lane, J.L.; Grant, T.; Pratt, S.; Lant, P.A.; Laycock, B. Environmental impact of biodegradable food packaging when considering food waste. J. Clean. Prod. 2018, 180, 325–334. [Google Scholar] [CrossRef]
- Chiemchaisri, W.; Chiemchaisri, C.; Boonchaiyuttasak, J. Utilization of stabilized wastes for reducing methane emission from municipal solid waste disposal. Bioresour. Technol. 2013, 141, 199–204. [Google Scholar] [CrossRef]
- Behera, S.K.; Park, J.M.; Kim, K.H.; Park, H.-S. Methane production from food waste leachate in laboratory-scale simulated landfill. Waste Manag. 2010, 30, 1502–1508. [Google Scholar] [CrossRef]
- Ghosh, P.; Shah, G.; Chandra, R.; Sahota, S.; Kumar, H.; Vijay, V.K.; Thakur, I.S. Assessment of methane emissions and energy recovery potential from the municipal solid waste landfills of Delhi, India. Bioresour. Technol. 2019, 272, 611–615. [Google Scholar] [CrossRef] [PubMed]
- Kaouche, N.; Mebrek, M.; Mokaddem, A.; Doumi, B.; Belkheir, M.; Boutaous, A. Theoretical study of the effect of the plant and synthetic fibers on the fiber-matrix interface damage of biocomposite materials based on PHAs (polyhydroxyalkanoates) biodegradable matrix. Polym. Bull. 2021, 1–21. [Google Scholar] [CrossRef]
- Srubar, W.V.; Billington, S.L. Nonlonear micromechanical modleing of hygrothermal effect on structural biobased composite materials. In Multiscale and Multiphysics Processes in Geomechanics; Springer: Berlin/Heidelberg, Germany, 2011; pp. 189–192. [Google Scholar]
- Kabbej, M.; Guillard, V.; Angellier-Coussy, H.; Wolf, C.; Gontard, N.; Gaucel, S. 3D Modelling of mass transfer into bio-composite. Polymers 2021, 13, 2257. [Google Scholar] [CrossRef] [PubMed]
- Deierling, P.E.; Zhupanska, O.I. Computational modeling of the effective properties of spatially graded composites. Int. J. Mech. Sci. 2018, 145, 145–157. [Google Scholar] [CrossRef]
- Villada Castillo, H.S.; Navia Porras, D.P.; Castañedad Niño, J.P. Biodegradable Films Obtained from Cassava Starch and Their Manufacture Process. U.S. Patent No. 9,416,275, 16 August 2016. [Google Scholar]
- Mount, E.; Palta, D. Film with compostable heat seal. U.S. Patent 9,162,421 B2, 20 October 2015. [Google Scholar]
- Khemani, K.; Schmidt, H. Biodegradable Polymer Films and Sheets Suitable for Use as Laminate Coatings as well as Wraps and Other Packaging Materials. EP Patent 0879946A2, 28 December 2011. [Google Scholar]
- Mohanty, A.; Khan, M.; Hinrichsen, G. Influence of chemical surface modification on the properties of biodegradable jute fabrics—polyester amide composites. Compos. Part A Appl. Sci. Manuf. 2000, 31, 143–150. [Google Scholar] [CrossRef]
- Constantinou, J. Composite Materials, Methods of Making, Methods of Use, and Articles Incorporating the Composites Materials. U.S. Patent 10,91,9257 B2, 16 February 2021. [Google Scholar]
- Wilke, J.; Kaiser, C.; Schuster, P. Film Packaging for Oral Biologics. EP Patent 277598 B1, 7 November 2012. [Google Scholar]
- Bastioli, C.; Capuzzi, L.; Milizia, T.; Rallis, A.; Vallero, R. Compositions Containing New Polyester. U.S. Patent 10,738,149, 11 August 2020. [Google Scholar]
- Neuman, T.; Konieezny, N.; Pelled, I. Biodegradable Sheets. U.S. Patent 10,675,845 B2, 9 June 2020. [Google Scholar]
- Nissenbaum, D.; Neuman, T.; Pelled, D.; Garty, S.; Konieezny, N. Biodegradable Sheet. U.S. Patent 10,239,292 B2, 36 March 2019. [Google Scholar]
- Kann, Y. Biobased Modifiers for Polyvinylchloride Blends. U.S. Patent 9,464,187, 11 October 2016. [Google Scholar]
- Khemani, K. Biodegradable Polymer Films and Sheet Suitable for Use as Laminate Coatings as well as Wraps and Other Packaging Materials. EP Patent 2 357 209 B1, 16 March 2016. [Google Scholar]
- Planchard, H. Multilayer Article Comprising a Biodegradable Polymer-Based Layer and a Cellulose-Fiber Based Support; Method of Manufacturinga Multilayer Article and Food Accessory Comprising a Multilayer Article. U.S. Patent 9,956,741, 1 May 2018. [Google Scholar]




| Process | Matrix | Fiber | Additive | Applications | Reference |
|---|---|---|---|---|---|
| Casting | PHB | Luffa | * | Packaging | [71] |
| PHBV | Ceiba | * | Fresh fruit packaging | [56] | |
| PLLA, PHB | MCC | Tributyl citrate | Food packaging | [72] | |
| P34HB | Cotton | Benzoyl peroxide and maleic anhydride. | Paper-based packing | [73] | |
| Compression | PHB | Seagrass, almond shell, rice husk | Food packaging | [74] | |
| PHB | Microcrystalline cellulose | * | Biomedical and engineering uses | [58] | |
| PHBV | Radiata pine | Polymethylene diphenyl diisocyanate | * | [75] | |
| PHB | Coconut, sisal | Glycerol | Small tubes and plastic bags for planting | [76] | |
| Extrusion–compression | PHB | Wheat straw | * | Biomedical and food packaging, biodegradable polymer | [77] |
| PHBV | Bamboo, luffa | * | * | [78] | |
| PHBV | Rice husk | TGIC, DCP | Food packaging | [51] | |
| PHBV | Coconut | Food packaging | [57] | ||
| Extrusion–injection | PHBV | Bamboo | * | * | [53] |
| PHBV | Olive husk | * | Environmentally-friendly material | [79] | |
| PHBV | Radiata pine | * | Improved mechanical properties of PHBV composites | [80] | |
| PHBV | Wood/basalt | * | Long-life material products | [81] | |
| PHBV | Cellulose | * | Biocomposites with tailored properties | [54] | |
| PHB | Piassaba | * | * | [66] | |
| PHBV | Posidonia oceanica | * | Bio-container for plants | [82] | |
| PHBV, TPU | Cellulose | Hexamethylene diisocyanate, joncryl, TGIC. | * | [64] | |
| PHB, PBAT | Babassu | * | Several applications | [69] | |
| PHBV | Posidonia oceanica | ATBC | Seawater applications. | [83] | |
| Extrusion–injection | PHBV | Miscanthus | DCP | * | [65] |
| Injection | PHBV | Nanocellulose, walnut, eggshell, tuff | * | Packaging for airline cosmetics food | [84] |
| Micro-compounding | PHBV | Vine shoots | Biodegradable materials | [85] | |
| Stacking–compression | PHA, PLA, PBS, PP | Flax | * | Adjustable mechanical properties for industrial products | [86] |
| PHBV, PBAT, ENR | Flax | Epoxy sizing | * | [70] | |
| PHB, PLA | Cotton | * | Building, furniture, or automotive products | [87] | |
| PHB | Efb, kenaf bast fiber | Triethyl citrate | Replacement of wood products | [42] |
Publisher’s Note: MDPI stays neutral with regard to jurisdictional claims in published maps and institutional affiliations. |
© 2022 by the authors. Licensee MDPI, Basel, Switzerland. This article is an open access article distributed under the terms and conditions of the Creative Commons Attribution (CC BY) license (https://creativecommons.org/licenses/by/4.0/).
Share and Cite
Gómez-Gast, N.; López Cuellar, M.D.R.; Vergara-Porras, B.; Vieyra, H. Biopackaging Potential Alternatives: Bioplastic Composites of Polyhydroxyalkanoates and Vegetal Fibers. Polymers 2022, 14, 1114. https://doi.org/10.3390/polym14061114
Gómez-Gast N, López Cuellar MDR, Vergara-Porras B, Vieyra H. Biopackaging Potential Alternatives: Bioplastic Composites of Polyhydroxyalkanoates and Vegetal Fibers. Polymers. 2022; 14(6):1114. https://doi.org/10.3390/polym14061114
Chicago/Turabian StyleGómez-Gast, Natalia, Ma Del Rocío López Cuellar, Berenice Vergara-Porras, and Horacio Vieyra. 2022. "Biopackaging Potential Alternatives: Bioplastic Composites of Polyhydroxyalkanoates and Vegetal Fibers" Polymers 14, no. 6: 1114. https://doi.org/10.3390/polym14061114
APA StyleGómez-Gast, N., López Cuellar, M. D. R., Vergara-Porras, B., & Vieyra, H. (2022). Biopackaging Potential Alternatives: Bioplastic Composites of Polyhydroxyalkanoates and Vegetal Fibers. Polymers, 14(6), 1114. https://doi.org/10.3390/polym14061114

