Flame Retardancy and Thermal Degradation Behaviors of Thiol-Ene Composites Containing a Novel Phosphorus and Silicon-Containing Flame Retardant
Abstract
:1. Introduction
2. Materials and Methods
2.1. Materials
2.2. Preparation of DOPO-V-PA
2.3. Preparation of Thiol-Ene Composites
2.4. Characterization and Measurement
3. Results and Discussion
3.1. Flame Retardancy
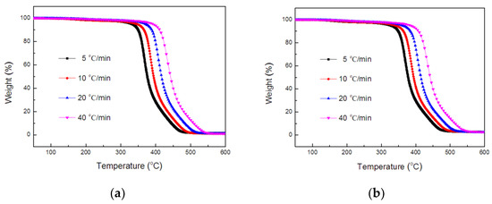
3.2. Thermal Stability
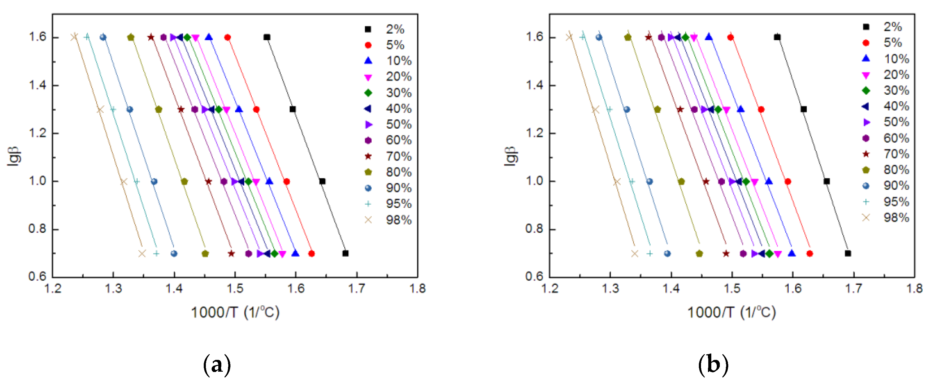
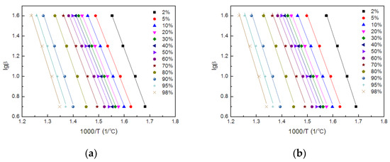
3.3. Thermal Degradation Kinetics
4. Conclusions
Author Contributions
Funding
Institutional Review Board Statement
Informed Consent Statement
Data Availability Statement
Acknowledgments
Conflicts of Interest
References
- Wang, X.; Wang, X.; Song, L.; Xing, W.; Tang, G.; Hua, W.; Hu, Y. Preparation and thermal stability of UV-cured epoxy-based coatings modified with octamercaptopropyl POSS. Thermochim. Acta 2013, 568, 130–139. [Google Scholar] [CrossRef]
- Yao, H.-Y.; Lin, H.-R.; Sue, G.-P.; Lin, Y.-J. Chitosan-based hydrogels prepared by UV polymerization for wound dressing. Polym. Polym. Compos. 2019, 27, 155–167. [Google Scholar] [CrossRef]
- Qian, J.; Li, Z.; Huang, N.; Lu, Q.; Xia, J. UV-Irradiation Polymerization of Bis-EDOT Methane Derivatives and Their Appli-cation for Br2 Detection. Polymer 2021, 226, 123808. [Google Scholar] [CrossRef]
- Bayramoglu, G.; Kahraman, M.; Kayaman-Apohan, N.; Gungor, A. Synthesis and characterization of UV-curable dual hybrid oligomers based on epoxy acrylate containing pendant alkoxysilane groups. Prog. Org. Coat. 2006, 57, 50–55. [Google Scholar] [CrossRef]
- Kwisnek, L.; Heinz, S.; Wiggins, J.S.; Nazarenko, S. Multifunctional thiols as additives in UV-cured PEG-diacrylate membranes for CO2 separation. J. Membr. Sci. 2011, 369, 429–436. [Google Scholar] [CrossRef]
- Kalaithong, W.; Molloy, R.; Nalampang, K.; Somsunan, R. Design and optimization of polymerization parameters of carboxymethyl chitosan and sodium 2-acrylamido-2-methylpropane sulfonate hydrogels as wound dressing materials. Eur. Polym. J. 2021, 143, 110186. [Google Scholar] [CrossRef]
- Wang, J.; Tsai, C.; Tsai, N.; Chiang, C.; Li, Y. An injectable, dual crosslinkable hybrid pectin methacrylate (PECMA)/gelatin methacryloyl (GelMA) hydrogel for skin hemostasis applications. Int. J. Biol. Macromol. 2021, 185, 441–450. [Google Scholar] [CrossRef]
- Manjunath, M.; Naveen, K.; Vinod, P.; Balashanmugam, N.; Shankar, M. Mechanical characterization of UV photopolymerized PMMA with different photo-initiator concentration. Appl. Mech. Mater. 2021, 903, 11–16. [Google Scholar] [CrossRef]
- Yu, B.; Wang, X.; Xing, W.; Yang, H.; Wang, X.; Song, L.; Hu, Y.; Lo, S.M. Enhanced thermal and mechanical properties of functionalized graphene/thiol-ene systems by photopolymerization technology. Chem. Eng. J. 2013, 228, 318–326. [Google Scholar] [CrossRef] [Green Version]
- Lee, J.; Lee, Y.; Park, S.; Ha, K. Preparation and Properties of Thiol-ene UV-cured Nanocomposites with Methacrylate-grafted Cellulose Nanocrystals as Fillers. Polym. Korea 2019, 43, 612–620. [Google Scholar] [CrossRef]
- Kwisnek, L.; Nazarenko, S.; Hoyle, C.E. Oxygen Transport Properties of Thiol−Ene Networks. Macromolecules 2009, 42, 7031–7041. [Google Scholar] [CrossRef]
- Magenau, A.J.D.; Chan, J.W.; Hoyle, C.E.; Storey, R.F. Facile polyisobutylene functionalization via thiol–ene click chemistry. Polym. Chem. 2010, 1, 831–833. [Google Scholar] [CrossRef]
- Ma, S.; Wang, Y.; Zhang, H.; Li, Y.; Ou, J.; Wei, Y.; Ye, M. One-step fabrication of cinchona-based hybrid monolithic chiral stationary phases via photo-initiated thiol-ene polymerization for cLC enantioseparation. Talanta 2019, 198, 432–439. [Google Scholar] [CrossRef] [PubMed]
- Romera, C.; Oliveira, D.; Araújo, P.; Sayer, C. Biobased ester 2-(10-undecenoyloxy)ethyl methacrylate as asymmetrical diene monomer in thiol-ene polymerization. Ind. Eng. Chem. Res. 2019, 58, 21044–21055. [Google Scholar] [CrossRef]
- Le, C.M.Q.; Morlet-Savary, F.; Chemtob, A. Role of thiol oxidation by air in the mechanism of the self-initiated thermal thiol–ene polymerization. Polym. Chem. 2021, 12, 6594–6605. [Google Scholar] [CrossRef]
- Çakmakçı, E.; Mülazim, Y.; Kahraman, M.V.; Apohan, N.K. Flame retardant thiol–ene photocured coatings. React. Funct. Polym. 2011, 71, 36–41. [Google Scholar] [CrossRef]
- Çakmakçı, E.; Mülazim, Y.; Kahraman, M.; Apohan, N. Preparation and characterization of boron containing thiol-ene photocured hybrid coatings. Prog. Org. Coat. 2012, 75, 28–32. [Google Scholar] [CrossRef]
- Chen, S.; Bao, X.; Wu, F.; Wang, J. Fire Retardancy and Thermogravimetric Kinetics of Thiol-Ene Degradation as Affected by Added 9,10-Dihydro-9-Oxa-10-Phosphaphenanthrene-10-Oxide (DOPO). J. Macromol. Sci. Part B 2021, 61, 1–9. [Google Scholar] [CrossRef]
- Kang, N.; Du, Z.; Li, H.; Zhang, C. Synthesis and characterization of P/Si flame retardant and its application in epoxy systems. Polym. Adv. Technol. 2012, 23, 1329–1334. [Google Scholar] [CrossRef]
- Chao, P.; Li, Y.; Gu, X.; Han, D.; Jia, X.; Wang, M.; Zhou, T.; Wang, T. Novel phosphorus–nitrogen–silicon flame retardants and their application in cycloaliphatic epoxy systems. Polym. Chem. 2015, 6, 2977–2985. [Google Scholar] [CrossRef]
- Gawłowski, A.; Fabia, J.; Graczyk, T.; Ślusarczyk, C.; Janicki, J.; Sarna, E. Study of PET fibers modified with phosphorus-silicon retardants. J. Therm. Anal. Calorim. 2016, 125, 1327–1334. [Google Scholar] [CrossRef] [Green Version]
- Zhang, L.; Wang, Y.; Liu, Q.; Cai, X. Synergistic effects between silicon-containing flame retardant and DOPO on flame retardancy of epoxy resins. J. Therm. Anal. Calorim. 2016, 123, 1343–1350. [Google Scholar] [CrossRef]
- Li, J.; Wang, H.; Li, S. A novel phosphorus−silicon containing epoxy resin with enhanced thermal stability, flame retardancy and mechanical properties. Polym. Degrad. Stab. 2019, 164, 36–45. [Google Scholar] [CrossRef]
- Zhu, S.; Gong, W.; Luo, J.; Meng, X.; Xin, Z.; Wu, J.; Jiang, Z. Flame Retardancy and Mechanism of Novel Phosphorus-Silicon Flame Retardant Based on Polysilsesquioxane. Polymers 2019, 11, 1304. [Google Scholar] [CrossRef] [PubMed] [Green Version]
- Bao, X.; Wu, F.; Wang, J. Effect of a Reactive-Type Flame Retardant on Thermal Stability of Thiol-ene Composites. J. Macromol. Sci. Part B 2021. [Google Scholar] [CrossRef]
- Qian, X.; Pan, H.; Xing, X. Thermal properties of novel 9,10-dihydro-9-oxa-10-phosphaphenanthrene 10-oxide-based organic/inorganic hybrid materials prepared by sol–gel and UV-curing processes. Ind. Eng. Chem. Res. 2012, 51, 85–94. [Google Scholar] [CrossRef]
- Wang, J. Synthesis and characterization of flame-retardant-wrapped carbon nanotubes and its flame retardancy in epoxy nanocomposites. Polym. Polym. Compos. 2021, 29, S835–S843. [Google Scholar] [CrossRef]
- Li, H.; Wang, N.; Han, X.; Yuan, H.; Xie, J. Mechanism Identification and Kinetics Analysis of Thermal Degradation for Carbon Fiber/Epoxy Resin. Polymers 2021, 13, 569. [Google Scholar] [CrossRef]
- Pigłowska, M.; Kurc, B.; Rymaniak, Ł.; Lijewski, P.; Fuć, P. Kinetics and Thermodynamics of Thermal Degradation of Different Starches and Estimation the OH Group and H2O Content on the Surface by TG/DTG-DTA. Polymers 2020, 12, 357. [Google Scholar] [CrossRef] [Green Version]
- Kissinger, H.E. Reaction Kinetics in Differential Thermal Analysis. Anal. Chem. 1957, 29, 1702–1706. [Google Scholar] [CrossRef]
- Flynn, J.H.; Wall, L.A. A quick, direct method for the determination of activation energy from thermogravimetric data. J. Polym. Sci. Part B Polym. Lett. 1966, 4, 323–328. [Google Scholar] [CrossRef]
- Flynn, J.H.; Wall, L.A. Initial kinetic parameters from thermogravimetric rate and conversion data. J. Polym. Sci. Part B Polym. Lett. 1967, 5, 191–196. [Google Scholar] [CrossRef]










| Sample | Temperature (°C) 1 | Peak Rate (wt%/°C) 2 | Residue Char (wt%) 3 | |
|---|---|---|---|---|
| T5wt% | Tmax | |||
| TE | 345.7 | 385.9 | 1.95 | 1.33 |
| FRTE | 341.0 | 386.4 | 1.83 | 2.66 |
| Temperature (°C) | E (kJ/mol) | lnA (1/min) | ||||
|---|---|---|---|---|---|---|
| 5 °C/min | 10 °C/min | 20 °C/min | 40 °C/min | |||
| TE | 367.5 | 385.9 | 407.5 | 433.4 | 107.4 | 11.4 |
| FRTE | 369.3 | 386.4 | 406.9 | 433.3 | 111.1 | 12.1 |
Publisher’s Note: MDPI stays neutral with regard to jurisdictional claims in published maps and institutional affiliations. |
© 2022 by the authors. Licensee MDPI, Basel, Switzerland. This article is an open access article distributed under the terms and conditions of the Creative Commons Attribution (CC BY) license (https://creativecommons.org/licenses/by/4.0/).
Share and Cite
Wu, F.; Bao, X.; Wang, J. Flame Retardancy and Thermal Degradation Behaviors of Thiol-Ene Composites Containing a Novel Phosphorus and Silicon-Containing Flame Retardant. Polymers 2022, 14, 820. https://doi.org/10.3390/polym14040820
Wu F, Bao X, Wang J. Flame Retardancy and Thermal Degradation Behaviors of Thiol-Ene Composites Containing a Novel Phosphorus and Silicon-Containing Flame Retardant. Polymers. 2022; 14(4):820. https://doi.org/10.3390/polym14040820
Chicago/Turabian StyleWu, Fangyi, Xiaohui Bao, and Jiangbo Wang. 2022. "Flame Retardancy and Thermal Degradation Behaviors of Thiol-Ene Composites Containing a Novel Phosphorus and Silicon-Containing Flame Retardant" Polymers 14, no. 4: 820. https://doi.org/10.3390/polym14040820
APA StyleWu, F., Bao, X., & Wang, J. (2022). Flame Retardancy and Thermal Degradation Behaviors of Thiol-Ene Composites Containing a Novel Phosphorus and Silicon-Containing Flame Retardant. Polymers, 14(4), 820. https://doi.org/10.3390/polym14040820
