DOPO/Silicon/CNT Nanohybrid Flame Retardants: Toward Improving the Fire Safety of Epoxy Resins
Abstract
:1. Introduction
2. Materials and Methods
2.1. Raw Materials
2.2. Preparation of FR-CNTs Hybrid Flame Retardants
2.3. Preparation of the Nanocomposites
2.4. Characterization
3. Results
3.1. Characterization of FR-CNTs
3.2. The Dispersion of the Flame Retardants in EP Composites
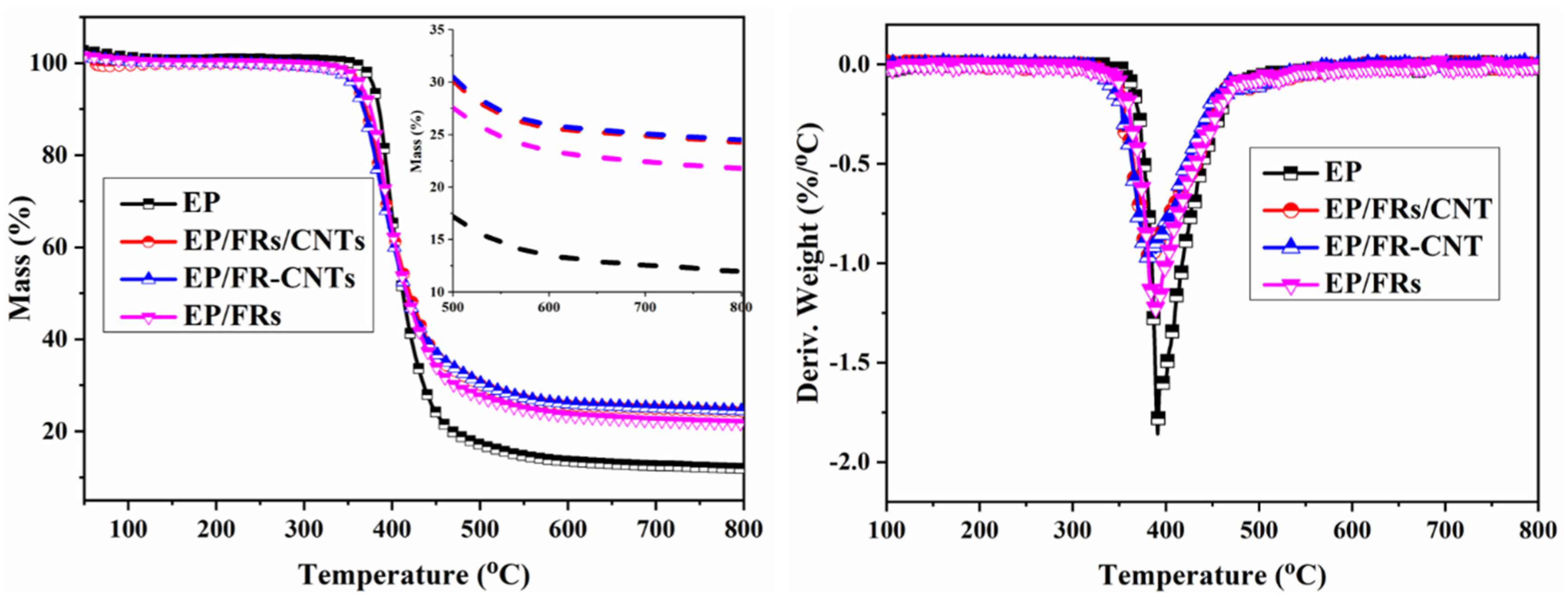
3.3. Thermal Stability of EP and Its Composites
3.4. Fire Hazard of EP and Its Composites
3.5. Char-Residue Analysis of Pure EP and Its Composites
4. Conclusions
Author Contributions
Funding
Institutional Review Board Statement
Informed Consent Statement
Conflicts of Interest
References
- Du, Y.; Shen, S.Z.; Cai, K.F.; Casey, P.S. Research progress on polymer-inorganic thermoelectric nanocomposite materials. Prog. Polym. Sci. 2012, 6, 820–841. [Google Scholar] [CrossRef]
- Li, Y.H.; Su, X.Z.; Sun, S. Preparation and Characterization of Polymer-Inorganic Nanocomposites by In Situ Melt Polycondensation of l-Lactic Acid and Surface-Hydroxylated MgO. Biomacromolecules 2010, 11, 1847–1855. [Google Scholar] [CrossRef]
- San, -E.; Zhu, F.-D.; Wang, J.-J.; Liu, L.-L.; Wang, C.; Wang, A.; Chun, Y.Y.; Bo, T.; Chen, Y.; Kabir, I.I.; et al. BODIPY coated on MXene nanosheets for improving mechanical and fire safety properties of ABS resin. Compos. Part B Eng. 2021, 223, 109130. [Google Scholar]
- Ntim, S.A.; Sae-Khow, O.; Witzmann, F.A.; Mitra, S. Effects of polymer wrapping and covalent functionalization on the stability of MWCNT in aqueous dispersions. J. Colloid. Interf. Sci. 2011, 2, 383–388. [Google Scholar] [CrossRef] [PubMed] [Green Version]
- Secchi, E.; Marbach, S.; Niguès, A.; Stein, D.; Siria, A.; Lydéric, B. Massive radius-dependent flow slippage in carbon nanotubes. Nature 2016, 6, 210213. [Google Scholar] [CrossRef] [PubMed]
- Murugesan, R.; Gopala, M.; Murali, G. Effect of Cu, Ni addition on the CNTs dispersion, wear and thermal expansion behavior of Al-CNT composites by molecular mixing and mechanical alloying. Appl. Surf. Sci. 2019, 30, 143542. [Google Scholar] [CrossRef]
- Kashiwahi, T.; Du, F.M.; Douglas, J.F.; Winey, K.I. Nanoparticle networks reduce the flammability of polymer nanocomposites. Nat. Mater. 2005, 4, 928–933. [Google Scholar] [CrossRef] [PubMed]
- Xing, W.Y.; Yang, W.; Yang, W.J.; Hu, Q.H.; Si, J.G.; Lu, H.D.; Yang, B.H.; Song, L.; Hu, Y.; Yuen, R.K.K. Functionalized Carbon Nanotubes with Phosphorus and Nitrogen Containing Agents: Effffective Reinforcer for Thermal, Mechanical, and Flame-Retardant Properties of Polystyrene Nanocomposites. ACS Appl. Mater. Interfaces 2016, 8, 26266–26274. [Google Scholar] [CrossRef] [PubMed]
- Wang, J. Flame Retardancy and Dispersion of Functionalized Carbon Nanotubes in Thiol-Ene Nanocomposites. Polymers 2021, 13, 3308. [Google Scholar] [CrossRef] [PubMed]
- Yang, W.; Tawiah, B.; Yu, C. Manufacturing, mechanical and flame retardant properties of poly(lactic acid) biocomposites based on calcium magnesium phytate and carbon nanotubes. Compos. Part A-Appl. Sci. Manuf. 2018, 110, 227–236. [Google Scholar] [CrossRef]
- Ma, C.; Yu, B.; Hong, N.; Pan, Y.; Hu, W.; Hu, Y. Facile Synthesis of a Highly Efficient, Halogen-Free, and Intumescent Flame Retardant for Epoxy Resins: Thermal Properties, Combustion Behaviors, and Flame-Retardant Mechanisms. Ind. Eng. Chem. Res. 2016, 55, 10868–10879. [Google Scholar] [CrossRef]
- Mondal, S.; Das, P.; Ganguly, S.; Ravindren, R. Thermal-air ageing treatment on mechanical, electrical, and electromagnetic interference shielding properties of lightweight carbon nanotube based polymer nanocomposites. Compos. Part. A Appl. Sci. 2018, 8, 447–460. [Google Scholar] [CrossRef]
- Chen, Y.; Zhang, H.B.; Yang, Y.B.; Wang, M.; Cao, A.Y.; Yu, Z.Z. High-Performance Epoxy Nanocomposites Reinforced with Three-Dimensional Carbon Nanotube Sponge for Electromagnetic Interference Shielding. Adv. Funct. Mater. 2016, 1, 447–455. [Google Scholar] [CrossRef]
- Qiu, S.L.; Ma, C.; Wang, X.; Zhou, X.; Feng, X.M.; Yuen, R.K.K.; Hu, Y. Melamine-containing polyphosphazene wrapped ammonium polyphosphate: A novel multifunctional organic-inorganic hybrid flame retardant. J. Hazard. Mater. 2018, 2, 839–848. [Google Scholar] [CrossRef]
- Gao, T.-Y.; Wang, F.-D.; Xu, Y.; Wei, C.-X.; Zhu, S.E.; Yang, W.; Lu, H.-D. Luteolin-based epoxy resin with exceptional heat resistance, mechanical and flame retardant properties. Chem. Eng. J. 2022, 428, 131173. [Google Scholar] [CrossRef]
- Qian, X.D.; Song, L.; Yuan, B.H.; Yu, B.; Shi, Y.Q.; Hu, Y.; Yuen, R.K.K. Organic/inorganic flame retardants containing phosphorus, nitrogen and silicon: Preparation and their performance on the flame retardancy of epoxy resins as a novel intumescent flame retardant system. Mater. Chem. Phys. 2014, 2, 1243–1252. [Google Scholar] [CrossRef]
- Kim, H.S.; Khamis, A.M. Fracture and impact behaviours of hollow micro-sphere/epoxy resin composites. Compos. Part A Appl. Sci. 2001, 9, 1311–1317. [Google Scholar] [CrossRef]
- Liu, S.; Chevali, V.S.; Xu, Z.G.; Hu, D.; Wang, H. A review of extending performance of epoxy resins using carbon nanomaterials. Compos. Part B Eng. 2018, 3, 197–214. [Google Scholar] [CrossRef]
- Zhou, K.Q.; Tang, G.; Gao, R.; Jiang, S.D. In situ growth of 0D silica nanospheres on 2D molybdenum disulfide nanosheets: Towards reducing fire hazards of epoxy resin. J. Hazard. Mater. 2018, 344, 1078–1089. [Google Scholar] [CrossRef]
- Xu, M.J.; Xu, G.R.; Leng, Y.; Li, B. Synthesis of a novel flame retardant based on cyclotriphosphazene and DOPO groups and its application in epoxy resins. Polym. Degrad. Stab. 2016, 123, 105–114. [Google Scholar] [CrossRef]
- Zaman, I.; Kuan, H.C.; Meng, Q.S.; Michelmore, A.; Kawashima, N.; Pitt, T.; Zhang, L.Q.; Goud, S.; Luong, L.; Ma, J. A Facile Approach to Chemically Modified Graphene and its Polymer Nanocompositesl. Adv. Funct. Mater. 2012, 22, 2735–2743. [Google Scholar] [CrossRef] [Green Version]
- Li, Q.; Chen, L.; Gadinski, M.R.; Zhang, S.H. Flexible high-temperature dielectric materials from polymer nanocomposites. Nature 2015, 523, 576–579. [Google Scholar] [CrossRef]
- Thakur, H.; Kumar, V.; Kumar, R.J. Recent Progress on Ferroelectric Polymer-Based Nanocomposites for High Energy Density Capacitors: Synthesis, Dielectric Properties, and Future Aspects. Chem. Rev. 2016, 116, 4260–4317. [Google Scholar]
- Vasiljević, J.; Jerman, I.; Jakša, G.; Alongi, J.; Malucelli, G.; Zorko, M.; Tomšič, B.; Simončič, B. Functionalization of cellulose fibres with DOPO-polysilsesquioxane flame retardant nanocoating. Cellulose 2015, 22, 1893–1910. [Google Scholar] [CrossRef]
- He, X.D.; Zhang, W.C.; Yang, R.J. The characterization of DOPO/MMT nanocompound and its effect on flame retardancy of epoxy resin. Compos. Part A Appl. Sci. 2017, 98, 124–135. [Google Scholar] [CrossRef]
- Liu, S.; Fang, Z.P.; Yan, H.Q.; Wang, H. Superior flame retardancy of epoxy resin by the combined addition of graphene nanosheets and DOPO. RSC Adv. 2016, 6, 5288–5295. [Google Scholar] [CrossRef]
- Ji, X.Y.; Chen, D.Y.; Wang, Q.W.; Shen, J.B.; Guo, S.Y. Synergistic effect of flame retardants and carbon nanotubes on flame retarding and electromagnetic shielding properties of thermoplastic polyurethane. Compos. Sci. Technol. 2018, 163, 49–55. [Google Scholar] [CrossRef]
- Przybylak, M.; Maciejewski, H.; Dutkiewicz, A.; Wesołek, D. Multifunctional, strongly hydrophobic and flame-retarded cotton fabrics modified with flame retardant agents and silicon compounds. Polym. Degrad. Stab. 2016, 128, 55–64. [Google Scholar] [CrossRef]
- Qian, X.D.; Pan, H.F.; Xing, W.Y.; Song, L.; Yuen, R.K.K.; Hu, Y. Thermal Properties of Novel 9,10-Dihydro-9-oxa-10-phosphaphenanthrene 10-Oxide-based Organic/Inorganic Hybrid Materials Prepared by Sol-Gel and UV-Curing Processes. Ind. Eng. Chem. Res. 2012, 51, 85–94. [Google Scholar] [CrossRef]
- Wu, K.; Song, L.; Hu, Y. Synthesis and characterization of a functional polyhedral oligomeric silsesquioxane and its flflame retardancy in epoxy resin. Prog. Org. Coat. 2009, 65, 490–497. [Google Scholar] [CrossRef]
- Sadezky, A.; Muckenhuber, H.; Grothe, H.; Niessner, R.; Poschl, U. Microspectroscopy of Soot and Related Carbonaceous Materials: Spectral Analysis and Structural Information. Carbon 2001, 43, 731–1742. [Google Scholar] [CrossRef]
- Landi, B.J.; Ruf, H.J.; Evans, C.M.; Cress, C.D.; Raffaelle, R.P. Purity Assessment of Single-Wall Carbon Nanotubes, Using Optical Absorption Spectroscopy. J. Phys. Chem. B 2005, 109, 9952–9965. [Google Scholar] [CrossRef]
- Mostovoy, A.S.; Kadykova, N.; Yu, A.; Bekeshev, A.Z. Highly Efficient Plasticizers-Antipirenes for Epoxy Polymers A. Inorg. Mater. Appl. Res. 2019, 10, 1135–1139. [Google Scholar] [CrossRef]
- Bao, X.B.; Wu, F.Y.; Wang, J.B. Thermal Degradation Behavior of Epoxy Resin Containing Modified Carbon Nanotubes. Polymers 2021, 13, 3332. [Google Scholar] [CrossRef]
- Qian, X.D.; Song, L. Novel organic-inorganic flame retardants containing exfoliated graphene: Preparation and their performance on the flame retardancy of epoxy resins. J. Mater. Chem. A 2013, 1, 6822–6830. [Google Scholar] [CrossRef]











| Samples | Flame Retardants Contents | LOI (%) | UL-94 | T-10%/°C | Tmax/°C | Char Residues at 800 °C/% | HRR kW/m2 |
|---|---|---|---|---|---|---|---|
| EP | 0 | 22.0 | Not classified | 385.1 | 391.0 | 11.9 | 1177.2 |
| EP/FRs/CNTs | FRs 7.2%; | 29.5 | V-1 | 362.1 | 388.4 | 24.2 | 725.6 |
| CNTs 0.8% | |||||||
| EP/FR-CNTs | FR-CNTs 8% | 31.0 | V-0 | 364.3 | 381.0 | 24.4 | 599.4 |
| EP/FRs | FRs 8% | 28.0 | V-1 | 375.1 | 381.2 | 21.7 | 816.5 |
Publisher’s Note: MDPI stays neutral with regard to jurisdictional claims in published maps and institutional affiliations. |
© 2022 by the authors. Licensee MDPI, Basel, Switzerland. This article is an open access article distributed under the terms and conditions of the Creative Commons Attribution (CC BY) license (https://creativecommons.org/licenses/by/4.0/).
Share and Cite
Zhang, Y.; Shi, C.; Qian, X.; Jing, J.; Jin, L. DOPO/Silicon/CNT Nanohybrid Flame Retardants: Toward Improving the Fire Safety of Epoxy Resins. Polymers 2022, 14, 565. https://doi.org/10.3390/polym14030565
Zhang Y, Shi C, Qian X, Jing J, Jin L. DOPO/Silicon/CNT Nanohybrid Flame Retardants: Toward Improving the Fire Safety of Epoxy Resins. Polymers. 2022; 14(3):565. https://doi.org/10.3390/polym14030565
Chicago/Turabian StyleZhang, Yingzhe, Congling Shi, Xiaodong Qian, Jingyun Jing, and Longzhe Jin. 2022. "DOPO/Silicon/CNT Nanohybrid Flame Retardants: Toward Improving the Fire Safety of Epoxy Resins" Polymers 14, no. 3: 565. https://doi.org/10.3390/polym14030565
APA StyleZhang, Y., Shi, C., Qian, X., Jing, J., & Jin, L. (2022). DOPO/Silicon/CNT Nanohybrid Flame Retardants: Toward Improving the Fire Safety of Epoxy Resins. Polymers, 14(3), 565. https://doi.org/10.3390/polym14030565

