Fiber-Reinforced Polymer-Confined Non-Circular Columns with Shape Modification: A Comprehensive Review
Abstract
:1. Introduction
2. Implementation of SM before FRP Wrapping
2.1. Implementation of SM before FRP Wrapping for Strengthening/Repairing Existing RC Columns
2.2. New Structural Members with SC and FRP Confinement
3. Section Circularization and Section Ellipticalization
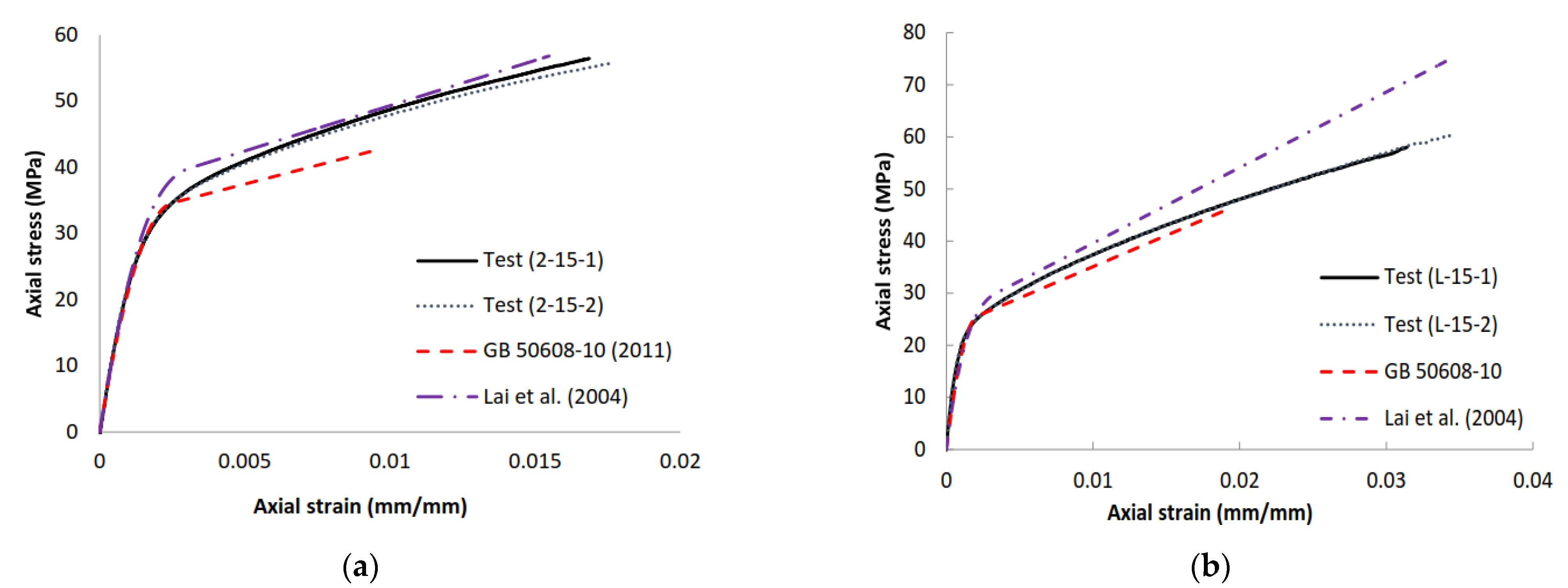
4. Section Curvilinearization
5. Existing Models for FRP-Confined Concrete in Columns with SM
5.1. Model of Yan and Pantelides (2006)
5.2. Model of Zeng et al. (2017)
5.3. Model of GB-50608 (2010) for CRCs
5.4. Model of Lai et al. (2004) for CRCs
6. Concluding Remarks and Future Study
- (1)
- Extensive studies have conducted been on FRP-confined concrete columns with section circularization/ellipticalization, leading to a unified conclusion that the effectiveness of FRP confinement is substantially enhanced owning to section circularization/ellipticalization.
- (2)
- Existing models for FRP-confined concrete in columns with SM are mainly conservative, and they are basically applicable to columns with section circularization/ellipticalization. Design results can be conservative and acceptable for engineers based on the strength of the old concrete, given that the strength of the additional concrete/cement mortar is greater than the old concrete.
- (3)
- Adding new concrete bolsters and casting new concrete in FRP stay-in-place formworks are both applicable in the context of the SM of columns before FRP jacketing. However, the difference of the above SM approaches and the effects of the above SM approaches on FRP confinement mechanism remain unclear.
- (4)
- An increase of the cross-sectional area of columns as a result of SC is much smaller than that of columns with section circularization/ellipticalization, and implementing SC to rectangular columns before FRP jacketing also substantially enhances the effectiveness of FRP confinement.
- (5)
- Studies on FRP-confined concrete in curvilinearized square/rectangular columns are far from adequate when it comes to establishing an accurate stress–strain model for FRP-confined concrete in curvilinearized square/rectangular columns.
Funding
Institutional Review Board Statement
Informed Consent Statement
Data Availability Statement
Conflicts of Interest
References
- Teng, J.G.; Chen, J.F.; Smith, S.T.; Lam, L. FRP-Strengthened RC Structures; John Wiley and Sons, Ltd.: Oxford, UK, 2002. [Google Scholar]
- Abokwiek, R.; Abdalla, J.A.; Hawileh, R.A.; El Maaddawy, T. RC Columns Strengthened with NSM-CFRP Strips and CFRP Wraps under Axial and Uniaxial Bending: Experimental Investigation and Capacity Models. J. Compos. Constr. 2021, 25, 04021009. [Google Scholar] [CrossRef]
- Wu, Y.-F.; Jiang, C. Effect of load eccentricity on the stress–strain relationship of FRP-confined concrete columns. Compos. Struct. 2013, 98, 228–241. [Google Scholar] [CrossRef]
- Shayanfar, J.; Barros, J.A.O.; Rezazadeh, N. Generalized Analysis-oriented model of FRP confined concrete circular columns. Compos. Struct. 2021, 270, 114026. [Google Scholar] [CrossRef]
- Lai, M.H.; Liang, Y.W.; Wang, Q.; Ren, F.M.; Chen, M.T.; Ho, J.C.M. A stress-path dependent stress-strain model for FRP-confined concrete. Eng. Struct. 2020, 203, 109824. [Google Scholar] [CrossRef]
- Koutas, L.N.; Tetta, Z.; Bournas, D.A.; Triantafillou, T.C. Strengthening of concrete structures with textile reinforced mortars: State-of-the-art review. J. Compos. Constr. 2019, 23, 03118001. [Google Scholar] [CrossRef]
- Al Ajarmeh, O.S.; Manalo, A.C.; Benmokrane, B.; Karunasena, K.; Ferdous, W.; Mendis, P. Hollow concrete columns: Review of structural behavior and new designs using GFRP reinforcement. Eng. Struct. 2020, 203, 109829. [Google Scholar] [CrossRef]
- Bai, Y.-L.; Yan, Z.-W.; Ozbakkaloglu, T.; Gao, W.-Y.; Zeng, J.-J. Mechanical behavior of large-rupture-strain (LRS) polyethylene naphthalene fiber bundles at different strain rates and temperatures. Constr. Build. Mater. 2021, 297, 123786. [Google Scholar] [CrossRef]
- Song, J.; Gao, W.-Y.; Ouyang, L.-J.; Zeng, J.-J.; Yang, J.; Liu, W.-D. Compressive behavior of heat-damaged square concrete prisms confined with basalt fiber-reinforced polymer jackets. Eng. Struct. 2021, 242, 112504. [Google Scholar] [CrossRef]
- Liao, J.-J.; Zeng, J.-J.; Gong, Q.-M.; Quach, W.-M.; Gao, W.-Y.; Zhang, L.-H. Design-oriented stress-strain model for FRP-confined ultra-high performance concrete (UHPC). Constr. Build. Mater. 2022, 318, 126200. [Google Scholar] [CrossRef]
- Zhou, J.-K.; Lin, W.-K.; Guo, S.-X.; Zeng, J.-J.; Bai, Y.-L. Behavior of FRP-confined FRP spiral reinforced concrete square columns (FCFRCs) under axial compression. J. Build. Eng. 2022, 45, 103452. [Google Scholar] [CrossRef]
- Ferrotto, M.F.; Fischer, O.; Cavaleri, L. A strategy for the finite element modeling of FRP-confined concrete columns subjected to preload. Eng. Struct. 2018, 173, 1054–1067. [Google Scholar] [CrossRef]
- Bai, Y.-L.; Zhang, Y.-F.; Jia, J.-F.; Mei, S.-J.; Han, Q.; Dai, J.-G. Simplified plasticity damage model for large rupture strain (LRS) FRP-confined concrete. Compos. Struct. 2021, 280, 114916. [Google Scholar] [CrossRef]
- Pellegrino, C.; Modena, C. Analytical model for FRP confinement of concrete columns with and without internal steel reinforcement. J. Compos. Constr. 2011, 14, 693–705. [Google Scholar] [CrossRef]
- Zeng, J.-J.; Chen, S.-P.; Zhuge, Y.; Gao, W.-Y.; Duan, Z.-J.; Guo, Y.-C. Three-dimensional finite element modeling and theoretical analysis of concrete confined with FRP rings. Eng. Struct. 2021, 234, 111966. [Google Scholar] [CrossRef]
- Zeng, J.-J.; Duan, Z.-J.; Gao, W.Y.; Bai, Y.-L.; Ouyang, L.-J. Compressive behavior of FRP-wrapped seawater sea-sand concrete with a square cross-section. Constr. Build. Mater. 2020, 262, 120881. [Google Scholar] [CrossRef]
- Liao, J.J.; Yang, K.Y.; Zeng, J.J.; Quach, W.M.; Ye, Y.Y.; Zhang, L. Compressive behavior of FRP-confined ultra-high performance concrete (UHPC) in circular columns. Eng. Struct. 2021, 249, 113246. [Google Scholar] [CrossRef]
- Guo, Y.-C.; Xiao, S.-H.; Shi, S.-H.; Zeng, J.-J.; Wang, W.-Q.; Zhao, H.-C. Axial compressive behavior of concrete-filled FRP-steel wire reinforced thermoplastics pipe hybrid columns. Compos. Struct. 2020, 244, 112237. [Google Scholar] [CrossRef]
- Fanaradelli, T.; Rousakis, T.; Karabinis, A. Reinforced concrete columns of square and rectangular section, confined with FRP—Prediction of stress and strain at failure. Compos. Part B Eng. 2019, 174, 107046. [Google Scholar] [CrossRef]
- Isleem, H.F.; Wang, D.Y.; Wang, Z.Y. Modeling the axial compressive stress-strain behaviour of CFRP-confined rectangular RC columns under monotonic and cyclic loading. Compos. Struct. 2018, 185, 229–240. [Google Scholar] [CrossRef]
- Ilki, A.; Peker, O.; Karamuk, E.; Demir, C.; Kumbasar, N. FRP retrofit of low and medium strength circular and rectangular reinforced concrete columns. J. Mater. Civ. Eng. 2008, 20, 169–188. [Google Scholar] [CrossRef]
- Ozcan, O.; Binici, B.; Ozcebe, G. Seismic strengthening of rectangular reinforced concrete columns using fiber reinforced polymers. Eng. Struct. 2010, 32, 964–973. [Google Scholar] [CrossRef]
- Pessiki, S.; Harries, K.A.; Kestner, J.; Sause, R.; Ricles, J.M. The axial behavior of concrete confined with fiber reinforced composite jackets. J. Compos. Constr. 2001, 5, 237–245. [Google Scholar] [CrossRef]
- Yuan, F.; Wu, Y.-F.; Li, C.-Q. Modelling plastic hinge of FRP-confined RC columns. Eng. Struct. 2017, 131, 651–668. [Google Scholar] [CrossRef]
- Eid, R.; Paultre, P. Compressive behavior of FRP-confined reinforced concrete columns. Eng. Struct. 2017, 132, 518–530. [Google Scholar] [CrossRef]
- Chellapandian, M.; Prakash, S.S.; Rajagopal, A. Analytical and finite element studies on hybrid FRP strengthened RC columns elements under axial and eccentric compression. Compos. Struct. 2018, 184, 234–248. [Google Scholar] [CrossRef]
- Lam, L.; Teng, J.G. Design-oriented stress-strain model for FRP-confined concrete in rectangular columns. J. Reinf. Plast. Compos. 2003, 22, 1149–1186. [Google Scholar] [CrossRef]
- Rocca, S.; Galati, N.; Nanni, A. Review of design guidelines for FRP confinement of reinforced concrete columns of noncircular cross sections. J. Compos. Constr. 2008, 12, 80–92. [Google Scholar] [CrossRef] [Green Version]
- Wu, Y.-F.; Wei, Y.-Y. Effect of cross-sectional aspect ratio on the strength of CFRP-confined rectangular concrete columns. Eng. Struct. 2010, 32, 32–45. [Google Scholar] [CrossRef]
- Ren, F.M.; Liang, Y.W.; Ho, J.C.M.; Lai, M.H. Behaviour of FRP tube-concrete-encased steel composite columns. Compos. Struct. 2020, 241, 112139. [Google Scholar] [CrossRef]
- Guo, Y.C.; Xiao, S.H.; Luo, J.W.; Ye, Y.Y.; Zeng, J.J. Confined concrete in square columns partially wrapped with FRP strips: Axial compressive behavior and strain distributions by particle image velocimetry sensing technique. Sensors 2018, 12, 4118. [Google Scholar] [CrossRef] [Green Version]
- ACI 440.2R-17; Guide for the Design and Construction of Externally Bonded FRP Systems for Strengthening Concrete Structures. American Concrete Institute: Farmington Hills, MI, USA, 2017.
- CNR-DT200; Guide for the Design and Construction of Externally Bonded FRP Systems for Strengthening Existing Structures. Advisory Committee on Technical Recommendations for Construction, National Research Council: Rome, Italy, 2013.
- Concrete Society. Design Guidance for Strengthening Concrete Structures using Fibre Composite Materials, 3rd ed.; Concrete Society Technical Report No. 55; Concrete Society: Berkshire, UK, 2012. [Google Scholar]
- GB-50608; Technical Code for Infrastructure Application of FRP Composites. China Architecture and Building Press: Beijing, China, 2010.
- Rocca, S.; Galati, N.; Nanni, A. Large-size reinforced concrete columns strengthened with carbon FRP: Experimental evaluation. In Proceedings of the 3rd International Conference on FRP Composites in Civil Engineering, Miami, FL, USA, 13–15 December 2006. [Google Scholar]
- Wang, L.-M.; Wu, Y.-F. Effect of corner radius on the performance of CFRP-confined square concrete columns: Test. Eng. Struct. 2008, 30, 493–505. [Google Scholar] [CrossRef]
- Seible, F.; Priestley, M.J.N. Strengthening of rectangular bridge columns for increased ductility. In Proceedings of the Symposium on Practical Solutions for Bridge Strengthening and Rehabilitation, Des Moines, IA, USA, 5–6 April 1993. [Google Scholar]
- Priestley, M.J.N.; Seible, F.; Xiao, Y.; Verma, R. Steel jacket retrofitting of reinforced concrete bridge columns for enhanced shear strength—Part 1: Theoretical considerations and test design. ACI Struct. J. 1994, 91, 394–405. [Google Scholar]
- Priestley, M.J.N.; Seible, F. Design of seismic retrofit measures for concrete and masonry structures. Constr. Build. Mater. 1995, 9, 365–377. [Google Scholar] [CrossRef]
- Seible, F.; Priestley, M.J.N.; Hegemier, G.A.; Innamorato, D. Seismic retrofit of RC columns with continuous carbon fiber jacket. J. Compos. Constr. 1997, 1, 52–62. [Google Scholar] [CrossRef]
- Saadatmanesh, H.; Ehsani, M.R.; Jin, L. Seismic retrofitting of rectangular bridge columns with composite straps. Earthq. Spectra 1997, 13, 281–304. [Google Scholar] [CrossRef]
- Teng, J.G.; Lam, L. Compressive behavior of carbon fiber reinforced polymer-confined concrete in elliptical columns. J. Struct. Eng. 2002, 128, 1535–1543. [Google Scholar] [CrossRef]
- Teng, J.G.; Wu, J.Y.; Casalboni, S.; Xiao, Q.G.; Zhao, Y. Behavior and modeling of fiber-reinforced polymer-confined concrete in elliptical columns. Adv. Struct. Eng. 2016, 19, 1359–1378. [Google Scholar] [CrossRef]
- El Maaddawy, T.; El Sayed, M.; Abdel-Magid, B. The effects of cross-sectional shape and loading condition on performance of rein-forced concrete members confined with carbon fiber reinforced polymers. Mater. Des. 2010, 31, 2330–2341. [Google Scholar] [CrossRef]
- Yan, Z.; Pantelides, C.P. Concrete column shape modification with FRP shells and expansive cement concrete. Constr. Build. Mater. 2011, 25, 396–405. [Google Scholar] [CrossRef]
- Hadi, M.N.S.; Pham, T.M.; Lei, X. New method of strengthening reinforced concrete square columns by circularizing and wrap-ping with fiber-reinforced polymer or steel straps. J. Compos. Constr. 2013, 17, 229–238. [Google Scholar] [CrossRef]
- Pham, T.M.; Doan, L.V.; Hadi, M.N.S. Strengthening square reinforced concrete columns by circularisation and FRP confinement. Constr. Build. Mater. 2013, 49, 490–499. [Google Scholar] [CrossRef] [Green Version]
- Hadi, M.N.S.; Jameel, M.T.; Sheikh, M.N. Behavior of circularized hollow RC columns under different loading conditions. J. Compos. Constr. 2017, 21, 04017025. [Google Scholar] [CrossRef] [Green Version]
- Pantelides, C.P.; Yan, Z.H. Confinement model of concrete with externally bonded FRP jackets or posttensioned FRP shells. J. Struct. Eng. 2007, 133, 1288–1296. [Google Scholar] [CrossRef]
- Parvin, A.; Wang, W. Behavior of FRP jacketed concrete columns under eccentric loading. J. Compos. Constr. 2001, 5, 146–152. [Google Scholar] [CrossRef]
- Pan, J.L.; Xu, T.; Hu, Z.J. Experimental investigation of load carrying capacity of the slender reinforced concrete columns wrapped with FRP. Constr. Build. Mater. 2007, 21, 1991–1996. [Google Scholar] [CrossRef]
- Jin, X.N. Experimental Research on Mechanical Properties of Axisymmetric Confined Concrete. Ph.D. Thesis, Harbin Institute of Technology, Harbin, China, 2002. (In Chinese). [Google Scholar]
- Jin, X.N.; Pan, J.L.; Lai, W.H.; Wang, Y.G. Mechanical behavior of short reinforced concrete columns wrapped with FRP under axial compression. Low Temp. Archit. Technol. 2002, 2002, 2. (In Chinese) [Google Scholar]
- Lai, W.H. Experimental Research on Stress-Strain Behavior of FRP-Confined Concrete. Master’s Thesis, Harbin Institute of Technology, Harbin, China, 2003. (In Chinese). [Google Scholar]
- Lai, W.H.; Pan, J.L.; Jin, X.N. Compressive stress-strain behavior of concrete confined by fiber reinforced polymer. Ind. Constr. 2004, 34. (In Chinese) [Google Scholar]
- Zhu, J.Y. FRP-Confined Curvilinearized Square Concrete Columns under Axial Compression. Master’s Thesis, Department of Civil and Structural Engineering, Hong Kong Polytechnic University, Hong Kong, China, 2014. [Google Scholar]
- Zhao, W. Experimental Behaviour of Curvilinearised Square Columns Confined with Fiber-Reinforced Polymer. Master’s Thesis, Department of Civil and Structural Engineering, The Hong Kong Polytechnic University, Hong Kong, China, 2012. [Google Scholar]
- Zhu, J.Y.; Lin, G.; Teng, J.G.; Chan, T.M.; Zeng, J.J.; Li, L.J. FRP-confined square concrete columns with section curvilinearization under axial compression. J. Compos. Constr. 2020, 24, 04020004. [Google Scholar] [CrossRef]
- Zeng, J.J.; Lin, G.; Teng, J.G.; Li, L.J. Axial compressive behavior of large-scale FRP-confined rectangular RC columns with section curvilinearization. J. Compos. Constr. 2021, 25, 04020124. [Google Scholar] [CrossRef]
- Zeng, J.J. Behaviour and Modelling of Large-Scale FRP-Confined Rectangular and Curvilinearized Rectangular RC Columns. Ph.D. Thesis, Department of Civil and Environmental Engineering, The Hong Kong Polytechnic University, Hong Kong, China, 2017. [Google Scholar]
- Teng, J.-G.; Wang, Z.; Yu, T.; Zhao, Y.; Li, L.-J. Double-tube concrete columns with a high-strength internal steel tube: Concept and behaviour under compression. Adv. Struct. Eng. 2018, 21, 1585–1594. [Google Scholar] [CrossRef]
- Guo, Y.-C.; Ye, Y.-Y.; Lin, G.; Lv, J.-F.; Bai, Y.-L.; Zeng, J.-J. Effective usage of high strength steel tubes: Axial compressive behavior of hybrid FRP-concrete-steel solid columns. Thin-Walled Struct. 2020, 154, 106796. [Google Scholar] [CrossRef]
- Chen, G.M.; Lan, Z.H.; Xiong, M.X.; Xu, Z. Compressive behavior of FRP-confined steel-reinforced high strength concrete columns. Eng. Struct. 2020, 220, 110990. [Google Scholar] [CrossRef]
- Ozbakkaloglu, T. A novel FRP–dual-grade concrete-steel composite column system. Thin-Walled Struct. 2015, 96, 295–306. [Google Scholar] [CrossRef]
- Fanggi, B.A.L.; Ozbakkaloglu, T. Square FRP-HSC-steel composite columns: Behavior under axial compression. Eng. Struct. 2015, 92, 156–171. [Google Scholar] [CrossRef]
- Ye, Y.-Y.; Liang, S.-D.; Feng, P.; Zeng, J.-J. Recyclable LRS FRP composites for engineering structures: Current status and future opportunities. Compos. Part B Eng. 2021, 212, 108689. [Google Scholar] [CrossRef]
- Ouyang, L.J.; Chai, M.X.; Song, J.; Hu, L.L.; Gao, W.Y. Repair of thermally damaged circular concrete cylinders with basalt fiber-reinforced polymer jackets. J. Build. Eng. 2021, 44, 102673. [Google Scholar] [CrossRef]
- Shi, C.; Wu, Z.; Xiao, J.; Wang, D.; Huang, Z.; Fang, Z. A review on ultra high performance concrete: Part I. Raw materials and mixture design. Constr. Build. Mater. 2015, 101, 741–751. [Google Scholar] [CrossRef]
- Dong, Z.; Wu, G.; Zhao, X.-L.; Zhu, H.; Shao, X. Behaviors of hybrid beams composed of seawater sea-sand concrete (SWSSC) and a prefabricated UHPC shell reinforced with FRP bars. Constr. Build. Mater. 2019, 213, 32–42. [Google Scholar] [CrossRef]
- Yu, K.Q.; Yu, J.-T.; Dai, J.-G.; Lu, Z.-D.; Shah, S.P. Development of ultra-high performance engineered cementitious composites using polyethylene (PE) fibers. Constr. Build. Mater. 2018, 158, 217–227. [Google Scholar] [CrossRef]
- Liu, Y.W.; Zhang, Z.H.; Shi, C.J.; Zhu, D.J.; Li, N.; Deng, Y.L. Development of ultra-high performance geopolymer concrete (UHPGC): Influence of steel fiber on mechanical properties. Cem. Concr. Compos. 2020, 112, 103670. [Google Scholar] [CrossRef]
- Bertola, N.; Schittz, P.; Denaria, E.; Brühwiler, E. A Review of the Use of UHPFRC in Bridge Rehabilitation and New Con-struction in Switzerland. Front. Built Environ. 2021, 7, 769686. [Google Scholar] [CrossRef]
- Huang, B.-T.; Yu, J.; Wu, J.-Q.; Dai, J.-G.; Leung, C.K.Y. Seawater sea-sand Engineered Cementitious Composites (SS-ECC) for marine and coastal applications. Compos. Commun. 2020, 20, 100353. [Google Scholar] [CrossRef]
- Al-Gemeel, A.N.; Zhuge, Y. Using textile reinforced engineered cementitious composite for concrete columns confinement. Compos. Struct. 2019, 210, 695–706. [Google Scholar] [CrossRef]
- Jiang, J.F.; Jiang, C.; Li, B.B.; Feng, P. Bond behavior of basalt textile meshes in ultra-high ductility cementitious composites. Compos. Part B Eng. 2019, 174, 107022. [Google Scholar] [CrossRef]
- Pan, B.Z.; Liu, F.; Zhuge, Y.; Zeng, J.-J.; Liao, J.J. ECC/UHPFRCC with and without FRP reinforcement for structural strengthening/repairing: A state-of-the-art review. Constr. Build. Mater. 2022, 316, 125824. [Google Scholar] [CrossRef]
- D’Antino, T.; Focacci, F.; Sneed, L.H.; Pellegrino, C. Shear strength model for RC beams with U-wrapped FRCM composites. J. Compos. Constr. 2020, 24, 04019057. [Google Scholar] [CrossRef]
- Ye, Y.Y.; Smith, S.T.; Zeng, J.J.; Zhuge, Y.; Quach, W.M. Novel Ultra-High-Performance Concrete Composite Plates Rein-forced with FRP Grid: Development and Mechanical Behaviour. Compos. Struct. 2021, 268, 114033. [Google Scholar] [CrossRef]
- Zheng, Y.-Z.; Wang, W.-W.; Mosalam, K.M.; Zhu, Z.-F. Mechanical behavior of ultra-high toughness cementitious composite strengthened with fiber reinforced polymer grid. Compos. Struct. 2018, 184, 1–10. [Google Scholar] [CrossRef]
- Yan, Z.; Pantelides, C.P.; Reaveley, L.D. Fiber-reinforced polymer jacketed and shape-modified compression members: I—Experimental behavior. ACI Struct. J. 2006, 103, 885–893. [Google Scholar]
- Parvin, A.; Schroeder, J.M. Investigation of eccentrically loaded CFRP-confined elliptical concrete columns. J. Compos. Constr. 2008, 12, 93–101. [Google Scholar] [CrossRef]
- Hadi, M.N.S.; Tran, T.M. Retrofitting nonseismically detailed exterior beam-column joints using concrete covers together with CFRP jacket. Constr. Build. Mater. 2014, 63, 161–173. [Google Scholar] [CrossRef] [Green Version]
- Alsayed, S.H.; Almusallam, T.H.; Ibrahim, S.M.; Al-Hazmi, N.M.; Al-Salloum, Y.A.; Abbas, H. Experimental and numerical investigation for compression response of CFRP strengthened shape modified wall-like RC column. Constr. Build. Mater. 2014, 63, 72–80. [Google Scholar] [CrossRef]
- Zeng, J.-J.; Guo, Y.-C.; Gao, W.-Y.; Li, J.-Z.; Xie, J.-H. Behavior of partially and fully FRP-confined circularized square columns under axial compression. Constr. Build. Mater. 2017, 152, 319–332. [Google Scholar] [CrossRef]
- Youssf, O.; Hassanli, R.; Mills, J. Retrofitting square columns using FRP-confined crumb rubber concrete to improve confinement efficiency. Constr. Build. Mater. 2017, 153, 146–156. [Google Scholar] [CrossRef]
- Mai, A.D.; Sheikh, M.N.; Hadi, M.N.S. Performance evaluation of intermittently CFRP wrapped square and circularised square reinforced concrete columns under different loading conditions. Struct. Infrastruct. Eng. 2019, 15, 696–710. [Google Scholar] [CrossRef] [Green Version]
- Yan, Z.; Pantelides, C.P. Fiber-Reinforced Polymer Jacketed and shape-Modified Compression Members: II—Model. ACI Struct. J. 2006, 103, 894–903. [Google Scholar]
- Lam, L.; Teng, J.G. Design-oriented stress-strain model for FRP-confined concrete. Constr. Build. Mater. 2003, 17, 471–489. [Google Scholar] [CrossRef]
















| References | SCir | SEll | SCurv | Main Thematic Results |
|---|---|---|---|---|
| Priestley and Seible [40] | √ | Confinement efficiency for columns with corner rounding was only 50% of that for columns with SCir. | ||
| Teng and Lam [43] | √ | The confinement effectiveness decreased with the a/b ratio and the stress–strain curve exhibited a descending branch if the effective confinement ratio was equal to or less than 0.11. A strength model was developed for FRP-confined concrete in elliptical columns. | ||
| Yan et al. [81] | √ | √ | SCir/SEll yielded the post-peak hardening behavior of FRP-confined square/rectangular columns. A higher axial compressive strength and higher energy absorption were observed for SM square/rectangular columns with post-tensioned FRP shells compared with members confined using bonded FRP jackets. | |
| Parvin and Schroeder [82] | √ | The effectiveness of CFRP wrapping was substantially reduced for eccentric loading compared with concentric loading, and the CFRP jacket was more effective in the axial direction than the CFRP jacket in the hoop direction for eccentrically loaded columns. | ||
| Hadi et al. [47] | √ | Both corner rounding and section circularization were effective is enhancing the compressive behavior of FRP-confined concrete in square columns. The added concrete covers effectively enhanced the load carrying capacity of the column by increasing the cross-sectional area and increasing the effectiveness of the FRP confinement. | ||
| Pham et al. [48] | √ | Section circularization is effective in enhancing the FRP confinement efficiency. The concrete covers with a higher strength exhibited a higher load-carrying capacity than the concrete covers with a lower strength. | ||
| Hadi and Tran [83] | √ | The performances of the original columns were improved significantly after being strengthened using SCir. The columns with SCir with increased FRP thickness helped to relocate the failure of the beam-column connection from the joint location to any preferred location in the beam span. | ||
| Alsayed et al. [84] | √ | CFRP confinement increased both the strength and ductility of confined concrete in rectangular RC columns with SE. The stresses in the lateral ties became almost uniform across the cross-section owning to the confinement provided by the CFRP wrap. | ||
| Zeng et al. [85] | √ | SCir can significantly improve the effectiveness of FRP confinement. The combination of SCir and the partial use of the FRP strengthening technique saved as much as 50% of the FRP material in the volumetric ratio. | ||
| Youssef et al. [86] | √ | The axial stress–strain behavior of circularized square columns had a satisfactory performance, and the crumb rubber concrete was able to exhibit a smoother transition zone than that of conventional concrete. | ||
| Mai et al. [87] | √ | SCir combined with intermittent wrapping significantly improved the strength and ductility of square RC columns. | ||
| Pan et al. [52] | √ | The strengthening effect decreased with an increase in the slenderness ratio. The load carrying capacity of FRP-wrapped columns was 20% higher than that of an ordinary reinforced concrete column when the slenderness ratio was less than 17.5. | ||
| Lai et al. [56] | √ | A CSC exhibits better axial stress–strain behavior than a square column with corner rounding. | ||
| Zhao [58] | √ | The maximum gain in compressive strength was 124% for the specimens with a highest ratio (i.e., 1/10), and the minimum enhancement was 88% for the specimen with an ratio of 1/20. | ||
| Zhu et al. [59] | √ | The size effect is very limited in these FRP-confined CSCs. The compressive strength of FRP-confined concrete in CSCs can be effectively enhanced by using the SC method, but the ultimate axial strain was not greatly affected. | ||
| Zeng et al. [60] | √ | The slope of the linear second segment of the stress–strain curve of FRP-confined concrete in a CRC was much larger than that of the corresponding rectangular column without SCurv. Besides, the ultimate axial stress of FRP-confined concrete in CRCs increased with an increase in the ratio and the corner radius ratio. Compared with a corresponding rectangular column, the CRCs with ratios of 1/20, 1/15, and 1/10 achieved enhancements of 20%, 40%, and 73%, respectively, in ultimate axial stress. Also, an ratio of 1/15 and a corner radius ratio of 0.2 may be the optimum values for satisfactory enhancement in terms of both FRP confinement effectiveness and ultimate axial stress. |
Publisher’s Note: MDPI stays neutral with regard to jurisdictional claims in published maps and institutional affiliations. |
© 2022 by the authors. Licensee MDPI, Basel, Switzerland. This article is an open access article distributed under the terms and conditions of the Creative Commons Attribution (CC BY) license (https://creativecommons.org/licenses/by/4.0/).
Share and Cite
He, C.; Zeng, J.-J. Fiber-Reinforced Polymer-Confined Non-Circular Columns with Shape Modification: A Comprehensive Review. Polymers 2022, 14, 564. https://doi.org/10.3390/polym14030564
He C, Zeng J-J. Fiber-Reinforced Polymer-Confined Non-Circular Columns with Shape Modification: A Comprehensive Review. Polymers. 2022; 14(3):564. https://doi.org/10.3390/polym14030564
Chicago/Turabian StyleHe, Chunbao, and Jun-Jie Zeng. 2022. "Fiber-Reinforced Polymer-Confined Non-Circular Columns with Shape Modification: A Comprehensive Review" Polymers 14, no. 3: 564. https://doi.org/10.3390/polym14030564
APA StyleHe, C., & Zeng, J.-J. (2022). Fiber-Reinforced Polymer-Confined Non-Circular Columns with Shape Modification: A Comprehensive Review. Polymers, 14(3), 564. https://doi.org/10.3390/polym14030564

