Influence of Xanthan Gum Addition on the Short- and Long-Term Retrogradation of Corn Starches of Various Amylose Content
Abstract
1. Introduction
2. Materials and Methods
2.1. Materials
2.2. Sample Preparation
2.3. Pasting Characteristics
2.4. Dynamic Viscoelasticity
2.5. Gel Hardness
2.6. Syneresis
- a—the weight of empty container with its cap (g),
- b—the weight of container with its cap after filling it with a sample (g),
- c—the weight of container with its cap and sample after the separated water was removed (g).
2.7. Statistics
3. Results and Discussion
3.1. Pasting Characteristic of Blends
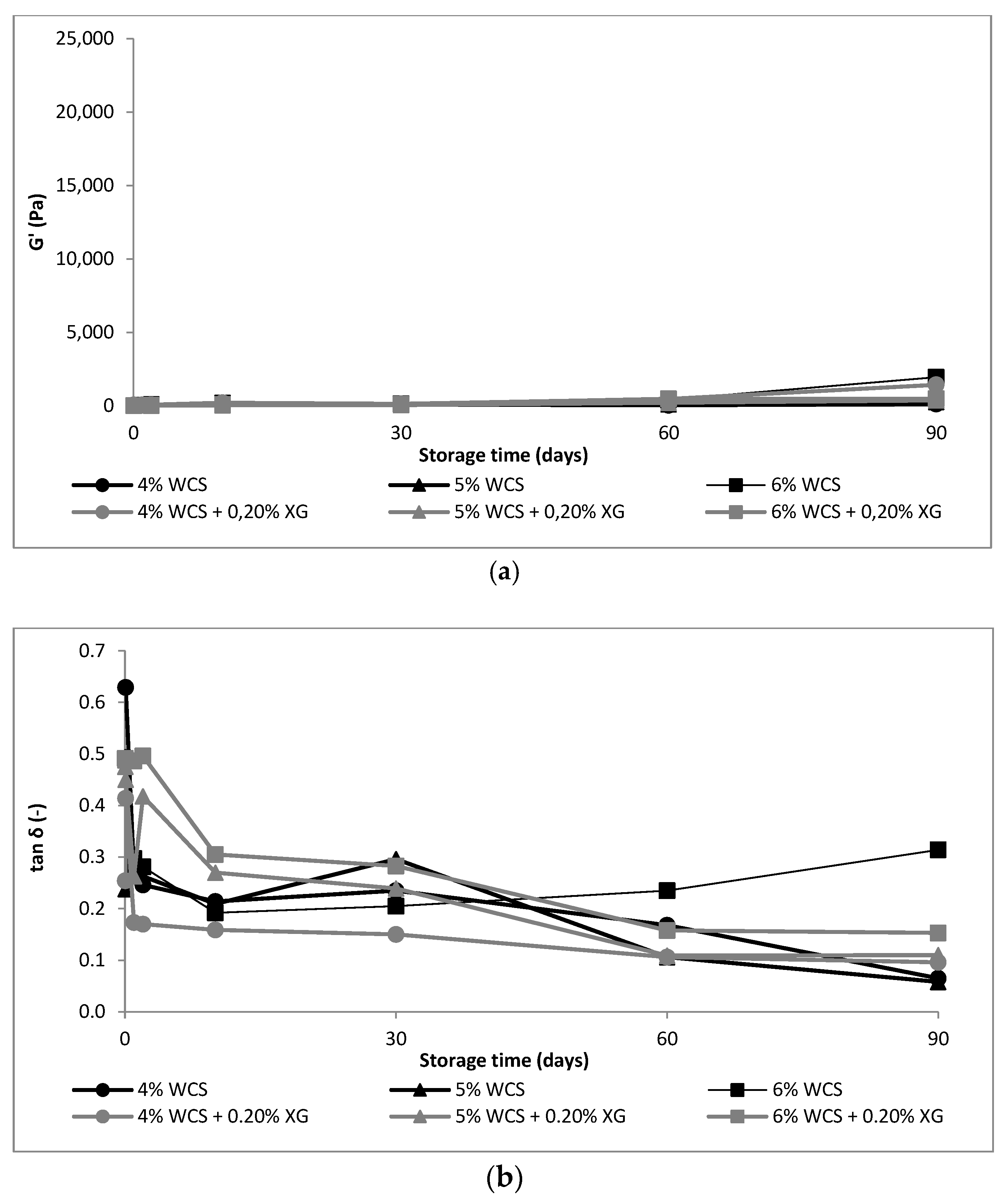
3.2. Rheology of Gels
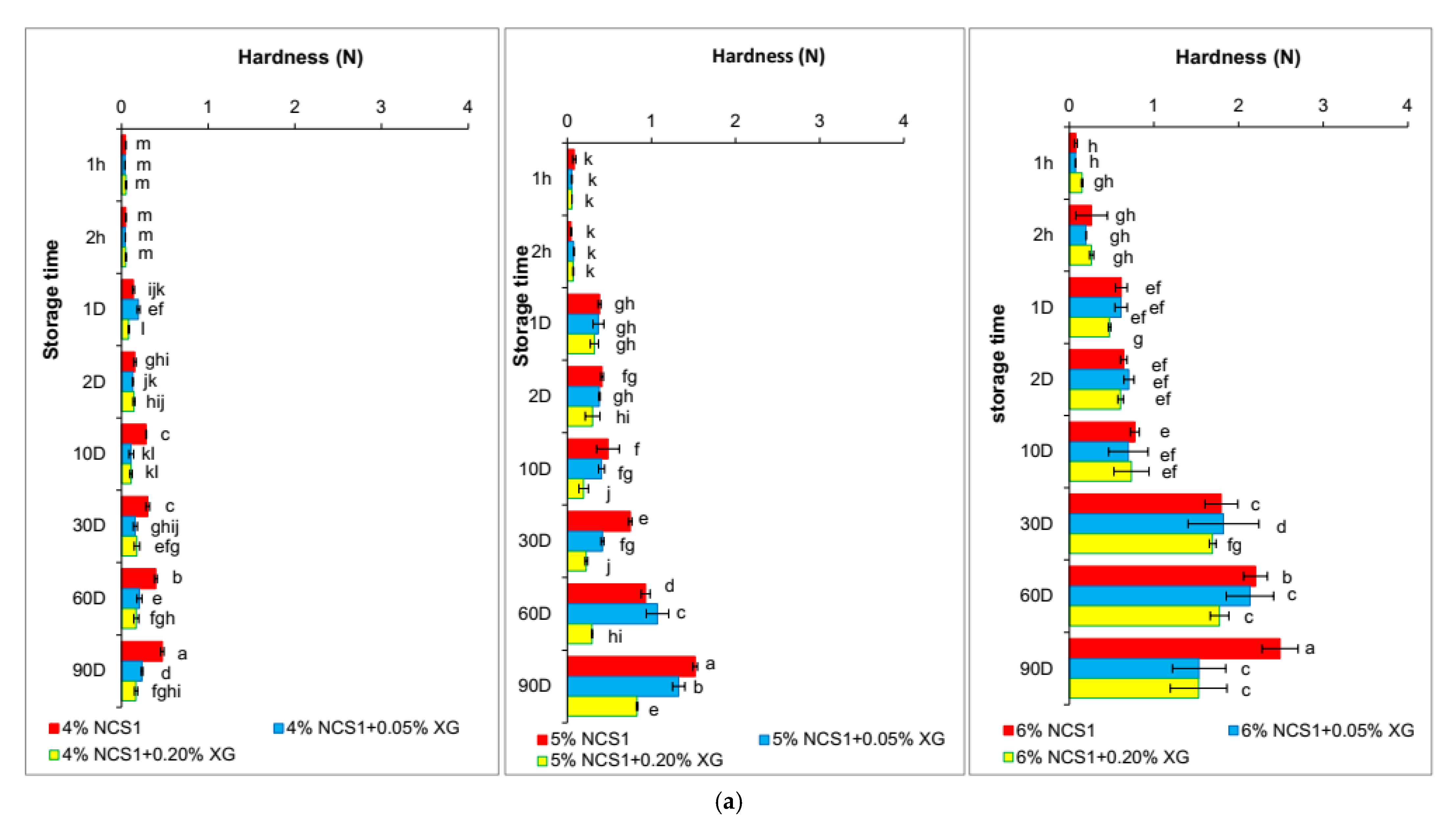
3.3. Hardness of Gels
3.4. Syneresis of Gels
3.5. Possible Explanation for Starch–Gum Interaction during Retrogradation Process
4. Conclusions
Author Contributions
Funding
Institutional Review Board Statement
Informed Consent Statement
Data Availability Statement
Conflicts of Interest
References
- Ring, S.G.; Colonna, P.; I’Anson, K.J.; Kalichevsky, M.T.; Miles, M.J.; Morris, V.J.; Orford, P.D. The gelation and crystallization of amylopectin. Carbohydr. Res. 1987, 162, 227–293. [Google Scholar] [CrossRef]
- Vandeputte, G.; Vermeylen, R.; Geeroms, J.; Delcour, J. Rice starches. III. Structural aspects provide insight in amylopectin retrogradation properties and gel texture. J. Cereal Sci. 2003, 38, 61–68. [Google Scholar] [CrossRef]
- Gunaratne, A.; Hoover, R. Effect of heat–moisture treatment on the structure and physicochemical properties of tuber and root starches. Carbohydr. Polym. 2002, 49, 425–437. [Google Scholar] [CrossRef]
- Jane, J.L.; Robyt, J.F. Structure studies of amylose V complexes and retrograded amylose by action of alpha amylase, a new method for preparing amylodextrins. Carbohydr. Res. 1984, 132, 105–110. [Google Scholar] [CrossRef]
- Krystyjan, M.; Adamczyk, G.; Sikora, M.; Tomasik, P. Long-term storage stability of selected potato starch—Non-starchy hydrocolloid binary gels. Food Hydrocoll. 2013, 31, 270–276. [Google Scholar] [CrossRef]
- Fu, Z.; BeMiller, J.N. Effect of hydrocolloids and salt on retrogradation of native and modified maize starch. Food Hydrocoll. 2017, 69, 36–48. [Google Scholar] [CrossRef]
- Krystyjan, M.; Sikora, M.; Adamczyk, G. Retrogradation of starch gels with an addition of xanthan gum. Zesz. Probl. Postępów Nauk. Rol. 2011, 566, 109–124. [Google Scholar]
- Kowalski, S.; Sikora, M.; Tomasik, P.; Krystyjan, M. Starch polysaccharide hydrocolloid gels. Polimery 2008, 53, 34–41. [Google Scholar] [CrossRef][Green Version]
- Baranowska, H.M.; Sikora, M.; Kowalski, S.; Tomasik, P. Interactions of potato starch with selected polysaccharide hydrocolloids as measured by low-field NMR. Food Hydrocoll. 2008, 22, 336–345. [Google Scholar] [CrossRef]
- Alloncle, M.; Lefebvre, J.; Llamas, G.; Doublier, J.L. A rheological characterization of cereal starch—Galactomannan mixtures. Cereal Chem. 1989, 66, 90–93. [Google Scholar]
- Sikora, M.; Kowalski, S.; Krystyjan, M.; Krawontka, J.; Sady, M. Optimization of corn starch/xanthan gum content for thickening of cocoa syrups. J. Food Qual. 2007, 30, 682–702. [Google Scholar] [CrossRef]
- Sikora, M.; Krystyjan, M. Interactions of Potato (Solanum tuberosum L.) Starch with Selected Polysaccharide Hydrocolloids—A Mini Review. Food 2009, 3, 72–78. [Google Scholar]
- Karim, A.A.; Norziah, M.H.; Seow, C.C. Methods for the study of starch retrogradation. Food Chem. 2000, 71, 9–36. [Google Scholar] [CrossRef]
- Hsu, S.; Lu, S.; Huang, C. Viscoelastic changes of rice starch suspensions during gelatinization. J. Food Sci. 2000, 65, 215–220. [Google Scholar] [CrossRef]
- Dobosz, A.; Sikora, M.; Krystyjan, M.; Lach, R.; Borczak, B. Influence of xanthan gum on the short- and long-term retrogradation of potato starches of various amylose content. Food Hydrocoll. 2020, 102, 105618. [Google Scholar] [CrossRef]
- Baranowska, H.M.; Sikora, M.; Krystyjan, K.; Dobosz, A.; Tomasik, P.; Walkowiak, K.; Masewicz, Ł.; Borczak, B. Analysis of the retrogradation processes in potato starches blended with non-starchy polysaccharide hydrocolloids by LF NMR. Food Biophys. 2020, 15, 64–71. [Google Scholar] [CrossRef]
- Sikora, M.; Dobosz, A.; Krystyjan, M.; Tomasik, P.; Borczak, B.; Berski, W.; Lukasiewicz, M. Long-Term Retrogradation of Corn Starch Gels. In Proceedings of the 14th International Conference on Polysaccharides—Glycoscience, Prague, Czech Republic, 7–9 November 2018; pp. 227–231. [Google Scholar]
- Sikora, M.; Krystyjan, M.; Dobosz, A.; Tomasik, P.; Walkowiak, K.; Masewicz, Ł.; Kowalczewski, P.Ł.; Baranowska, H.M. Molecular Analysis of Retrogradation of Corn Starches. Polymers 2019, 11, 1764. [Google Scholar] [CrossRef]
- Sikora, M.; Adamczyk, G.; Krystyjan, M.; Dobosz, A.; Tomasik, P.; Berski, W.; Lukasiewicz, M.; Izak, P. Thixotropic properties of normal potato starch depending on the degree of the granules pasting. Carbohydr. Polym. 2015, 121, 254–264. [Google Scholar] [CrossRef]
- Mandala, I.G.; Bayas, E. Xanthan effect on swelling, solubility and viscosity of wheat starch dispersion. Food Hydrocoll. 2004, 18, 191–201. [Google Scholar] [CrossRef]
- Mandala, I.G.; Palogou, E.D. Effect of preparation condition and starch/xanthan concentration on gelation process of potato starch systems. Int. J. Food Prop. 2003, 6, 311–328. [Google Scholar] [CrossRef]
- MacArthur, L.A.; D’Appolonia, B.L. Gamma radiation of wheat. II. Effect of low-dosage radiation on starch properties. Cereal Chem. 1984, 61, 321–326. [Google Scholar]
- Dobosz, A.; Sikora, M.; Krystyjan, M.; Tomasik, P.; Lach, R.; Borczak, B.; Berski, W.; Lukasiewicz, M. Short-and long-term retrogradation of potato starches with varying amylose content. J. Sci. Food Agric. 2018, 99, 2393–2403. [Google Scholar] [CrossRef] [PubMed]
- Ishiguro, K.; Noda, T.; Kitahara, K.; Yamakawa, O. Retrogradation of Sweetpotato Starch. Starch Starke 2000, 52, 13–17. [Google Scholar] [CrossRef]
- Chang, Y.-H.; Lin, J.-H. Effects of molecular size and structure of amylopectin on the retrogradation thermal properties of waxy rice and waxy corn starches. Food Hydrocoll. 2007, 21, 645–653. [Google Scholar] [CrossRef]
- Gudmundsson, M. Retrogradation of starch and the role of its components. Thermochim. Acta 1994, 246, 329–341. [Google Scholar] [CrossRef]
- Eliasson, A.-C.; Gudmundsson, M. Starch: Physicochemical and functional aspects. In Carbohydrates in Food, 2nd ed.; Eliasson, A.-C., Ed.; CRC Press—Taylor & Francis Group LLC: Boca Raton, FL, USA, 2006; pp. 319–469. [Google Scholar]
- He, H.; Zhang, Y.; Hong, Y.; Gu, Z. Effect of hydrocolloids on corn starch retrogradation. Starch Stärke 2015, 67, 348–354. [Google Scholar] [CrossRef]
- Hong, Y.; Wu, Y.; Liu, G.; Gu, Z. Effect of amylose on pasting and rheological properties of corn starch/xanthan lends. Starch Stärke 2015, 69, 98–106. [Google Scholar] [CrossRef]
- Pongsawatmanit, R.; Chantaro, P.; Nishinari, K. Thermal and rheological properties of tapioca starch gels with and without xanthan gum under cold storage. J. Food Eng. 2013, 117, 333–341. [Google Scholar] [CrossRef]
- Li, W.; Li, C.; Gu, Z.; Qiu, Y.; Cheng, L.; Hong, Y.; Li, Z. Retrogradation behavior of corn starch treated with 1,4-a-glucan branching enzyme. Food Chem. 2016, 203, 308–313. [Google Scholar] [CrossRef]
- Eidam, D.; Kulicke, W.-M.; Kuhn, K.; Stute, R. Formation of maize starch gels selectively regulated by the addition of hydrocolloids. Starch Stärke 1995, 47, 378–384. [Google Scholar] [CrossRef]
- Abdulmola, N.A.; Hember, M.W.N.; Richardson, R.K.; Morris, E.R. Effect of xanthan on the small-deformation rheology of crosslinked and uncrosslinked waxy maize starch. Carbohydr. Polym. 1996, 31, 65–78. [Google Scholar] [CrossRef]
- Achayuthakan, P.; Suphantharika, M. Pasting and rheological properties of waxy corn starch as affected by guar gum and xanthan gum. Carbohydr. Polym. 2008, 71, 9–17. [Google Scholar] [CrossRef]
- Kim, H.-S.; Patel, B.; BeMiller, J.N. Effects of the amylose–amylopectin ratio on starch-hydrocolloid interactions. Carbohydr. Polym. 2013, 98, 1438–1448. [Google Scholar] [CrossRef] [PubMed]
- Fredriksson, H.; Silverio, J.; Andersson, R.; Elliason, A.C.; Aman, P. The influence of amylose and amylopectin characteristics on gelatinization and retrogradation properties of different starches. Carbohydr. Polym. 1998, 35, 119–134. [Google Scholar] [CrossRef]
- Mua, J.P.; Jackson, D.S. Relationship between functional attributes and molecular structures of amylose and amylopectin fractions of corn starch. J. Agric. Food Chem. 1997, 45, 3848–3854. [Google Scholar] [CrossRef]
- Miles, M.J.; Morris, V.J.; Orford, P.D.; Ring, S.G. The roles of amylose and amylopectin in the gelation and retrogradation of starch. Carbohydr. Res. 1985, 135, 271–281. [Google Scholar] [CrossRef]
- Gallant, D.J.; Bouchet, B.; Baldwin, P.M. Miscoscopy of starch: Evidence of a new level of granule organization. Carbohydr. Polym. 1997, 32, 177–191. [Google Scholar] [CrossRef]
- Fannon, J.E.; Shull, J.M.; BeMiller, J.N. Interior channel of starch granules. Cereal Chem. 1993, 70, 611–613. [Google Scholar]
- BeMiller, J.N. Pasting, paste and gel properties of starch-hydrocolloid combination. Carbohydr. Polym. 2011, 86, 386–423. [Google Scholar] [CrossRef]
- Choi, H.M.; Yoo, B. Steady and dynamic shear rheology of sweet potato-xanthan gum mixtures. Food Chem. 2009, 116, 638–643. [Google Scholar] [CrossRef]








| Concentration of Starch (%) | Concentration of XG (%) | T0 (°C) | ηmax (BU) | η96°C (BU) | Setback (BU) |
|---|---|---|---|---|---|
| 4 | 0 | 81.4 ± 1.3 a | 88 ± 3 h | 88 ± 3 g | 54 ± 1 f |
| 0.05 | 67.2 ± 2.4 c | 122 ± 5 g | 122 ± 5 f | 60 ± 3 e | |
| 0.20 | 60.1 ± 0.3 d | 157 ± 11 f | 143 ± 13 e | 41 ± 4 g | |
| 5 | 0 | 80.1 ± 0.0 a | 158 ± 2 f | 152 ± 4 e | 107 ± 4 c |
| 0.05 | 66.7 ± 0.5 c | 199 ± 1 e | 199 ± 2 d | 96 ± 1 c,d | |
| 0.20 | 65.0 ± 1.3 c | 228 ± 5 d | 224 ± 3 c | 90 ± 1 d | |
| 6 | 0 | 75.1 ± 0.2 b | 256 ± 3 c | 236 ± 1 c | 175 ± 1 a |
| 0.05 | 65.0 ± 0.8 c | 297 ± 11 b | 282 ± 5 b | 152 ± 0 b | |
| 0.20 | 59.9 ± 1.6 d | 353 ± 11 a | 348 ± 5 a | 158 ± 6 b |
| Concentration of Starch (%) | Concentration of XG (%) | T0 (°C) | ηmax (BU) | η96°C (BU) | Setback (BU) |
|---|---|---|---|---|---|
| 4 | 0 | 84.4 ± 0.3 a | 97 ± 1 i | 96 ± 1 i | 65 ± 2 f |
| 0.05 | 68.1 ± 0.6 d | 118 ± 4 h | 113 ± 1 h | 62 ± 3 g | |
| 0.20 | 66.8 ± 0.3 d,e | 160 ± 4 g | 132 ± 1 g | 49 ± 4 h | |
| 5 | 0 | 80.3 ± 1.3 b | 179 ± 2 f | 167 ± 3 f | 127 ± 0 c |
| 0.05 | 65.0 ± 0.8 e | 211 ± 1 e | 209 ± 0 e | 103 ± 3 d | |
| 0.20 | 59.0 ± 0.8 g | 260 ± 6 d | 256 ± 8 d | 94 ± 0 e | |
| 6 | 0 | 75.2 ± 1.6 c | 296 ± c | 269 ± 1 c | 187 ± 1 a |
| 0.05 | 65.9 ± 1.1 e | 334 ± 3 b | 315 ± 4 b | 178 ± 1 b | |
| 0.20 | 61.4 ± 0.6 f | 376 ± 8 a | 371 ± 10 a | 172 ± 6 b |
| Concentration of Starch (%) | Concentration of XG (%) | T0 (°C) | ηmax (BU) | η96°C (BU) | Setback (BU) |
|---|---|---|---|---|---|
| 4 | 0 | 67.9 ± 0.3 a | 283 ± 3 f | 176 ± 4 h | 51 ± 1 e |
| 0.05 | 64.2 ± 0.8 b | 265 ± 1 f | 203 ± 4 g | 43 ± 1 f | |
| 0.20 | 58.6 ± 0.3 d | 338 ± 7 e | 265 ± 1 e | 52 ± 1 e | |
| 5 | 0 | 67.0 ± 0.0 a | 469 ± 4 c,d | 244 ± 3 f | 78 ± 1 d |
| 0.05 | 64.0 ± 0.6 b | 447 ± 11 d | 278 ± 6 d | 77 ± 2 d | |
| 0.20 | 62.6 ± 1.1 c | 487 ± 25 c | 323 ± 2 c | 85 ± 3 c | |
| 6 | 0 | 68.0 ± 0.8 a | 667 ± 1 a | 326 ± 1 c | 120 ± 2 a |
| 0.05 | 62.5 ± 0.6 c | 625 ± 6 b | 352 ± 9 b | 118 ± 2 a,b | |
| 0.20 | 61.2 ± 0.3 c | 661 ± 7 a | 399 ± 8 a | 112 ± 4 b |
Publisher’s Note: MDPI stays neutral with regard to jurisdictional claims in published maps and institutional affiliations. |
© 2022 by the authors. Licensee MDPI, Basel, Switzerland. This article is an open access article distributed under the terms and conditions of the Creative Commons Attribution (CC BY) license (https://creativecommons.org/licenses/by/4.0/).
Share and Cite
Krystyjan, M.; Dobosz-Kobędza, A.; Sikora, M.; Baranowska, H.M. Influence of Xanthan Gum Addition on the Short- and Long-Term Retrogradation of Corn Starches of Various Amylose Content. Polymers 2022, 14, 452. https://doi.org/10.3390/polym14030452
Krystyjan M, Dobosz-Kobędza A, Sikora M, Baranowska HM. Influence of Xanthan Gum Addition on the Short- and Long-Term Retrogradation of Corn Starches of Various Amylose Content. Polymers. 2022; 14(3):452. https://doi.org/10.3390/polym14030452
Chicago/Turabian StyleKrystyjan, Magdalena, Anna Dobosz-Kobędza, Marek Sikora, and Hanna Maria Baranowska. 2022. "Influence of Xanthan Gum Addition on the Short- and Long-Term Retrogradation of Corn Starches of Various Amylose Content" Polymers 14, no. 3: 452. https://doi.org/10.3390/polym14030452
APA StyleKrystyjan, M., Dobosz-Kobędza, A., Sikora, M., & Baranowska, H. M. (2022). Influence of Xanthan Gum Addition on the Short- and Long-Term Retrogradation of Corn Starches of Various Amylose Content. Polymers, 14(3), 452. https://doi.org/10.3390/polym14030452

