Effects of At-Home and In-Office Bleaching Agents on the Color Recovery of Esthetic CAD-CAM Restorations after Red Wine Immersion
Abstract
1. Introduction
2. Materials and Methods
2.1. Specimen Preparation
2.2. Color Measurements
2.3. Staining Procedure
2.4. Bleaching Procedures
2.4.1. At-Home Bleaching Procedures
2.4.2. In-Office Bleaching Procedures
2.5. Statistical Analysis
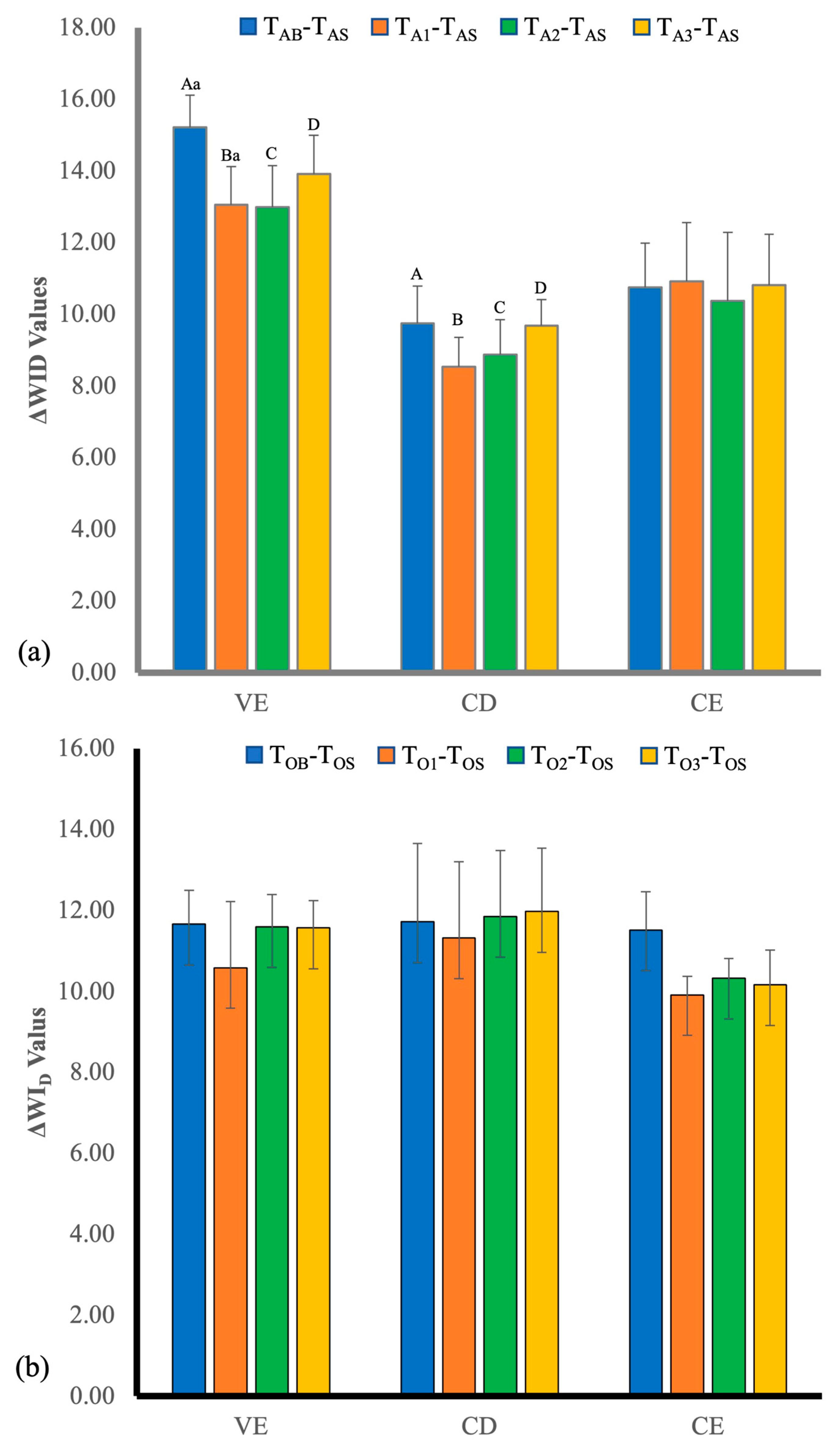
3. Results
4. Discussion
5. Conclusions
Author Contributions
Funding
Institutional Review Board Statement
Conflicts of Interest
References
- Shahabi, S.; Assadian, H.; Nahavandi, A.M.; Nokhbatolfoghahaei, H. Comparison of tooth color change after bleaching with conventional and different light-activated methods. J. Lasers Med. Sci. 2018, 9, 27–31. [Google Scholar] [CrossRef] [PubMed]
- Reinhardt, J.W.; Balbierz, M.M.; Schultz, C.M.; Simetich, B.; Beatty, M.W. Effect of tooth-whitening procedures on stained composite resins. Oper. Dent. 2019, 44, 65–75. [Google Scholar] [CrossRef]
- Arocha, M.A.; Basilio, J.; Llopis, J.; Di Bella, E.; Roig, M.; Ardu, S.; Mayoral, J.R. Colour stainability of indirect CAD–CAM processed composites vs. conventionally laboratory processed composites after immersion in staining solutions. J. Dent. 2014, 42, 831–838. [Google Scholar] [CrossRef]
- Ertas, E.; Gueler, A.U.; Yuecel, A.C.; Köprülü, H.; Güler, E. Color stability of resin composites after immersion in different drinks. Dent. Mater. J. 2006, 25, 371–376. [Google Scholar] [CrossRef] [PubMed]
- Paolone, G.; Formiga, S.; De Palma, F.; Abbruzzese, L.; Chirico, L.; Scolavino, S.; Goracci, C.; Cantatore, G.; Vichi, A. Color stability of resin-based composites: Staining procedures with liquids—A narrative review. J. Esthet. Restor. Dent. 2022, 34, 865–887. [Google Scholar] [CrossRef] [PubMed]
- Quek, S.; Yap, A.; Rosa, V.; Tan, K.; Teoh, K. Effect of staining beverages on color and translucency of CAD/CAM composites. J. Esthet. Restor. Dent. 2018, 30, E9–E17. [Google Scholar] [CrossRef]
- Karadas, M.; Alkurt, M.; Duymus, Z. Effects of hydrogen peroxide-based mouthwashes on color changes of stained direct composite resins. J. Res. Dent. 2016, 4, 11–16. [Google Scholar] [CrossRef]
- Mori, A.A.; Lima, F.F.; Benetti, A.R.; Terada, R.S.S.; Fujimaki, M.; Pascotto, R.C. Susceptibility to coffee staining during enamel remineralization following the in-office bleaching technique: An in situ assessment. J. Esthet. Restor. Dent. 2016, 28, S23–S31. [Google Scholar] [CrossRef]
- Maran, B.M.; de Paris Matos, T.; de Castro, A.d.S.; Vochikovski, L.; Amadori, A.L.; Loguercio, A.D.; Reis, A.; Berger, S.B. In-office bleaching with low/medium vs. high concentrate hydrogen peroxide: A systematic review and meta-analysis. J. Dent. 2020, 103, 103499. [Google Scholar] [CrossRef]
- Öztürk, C.; Çelik, E.; Özden, A.N. Influence of bleaching agents on the color change and translucency of resin matrix ceramics. J. Esthet. Restor. Dent. 2020, 32, 530–535. [Google Scholar] [CrossRef]
- Demir, N.; Karci, M.; Ozcan, M. Effects of 16% carbamide peroxide bleaching on the surface properties of glazed glassy matrix ceramics. BioMed Res. Int. 2020, 2020, 1864298. [Google Scholar] [CrossRef] [PubMed]
- Tinastepe, N.; Malkondu, O.; Iscan, I.; Kazazoglu, E. Effect of home and over the contour bleaching on stainability of CAD/CAM esthetic restorative materials. J. Esthet. Restor. Dent. 2021, 33, 303–313. [Google Scholar] [CrossRef] [PubMed]
- Awad, D.; Stawarczyk, B.; Liebermann, A.; Ilie, N. Translucency of esthetic dental restorative CAD/CAM materials and composite resins with respect to thickness and surface roughness. J. Prosthet. Dent. 2015, 113, 534–540. [Google Scholar] [CrossRef]
- Aydın, N.; Karaoğlanoğlu, S.; Oktay, E.A.; Kılıçarslan, M.A. Investigating the color changes on resin-based CAD/CAM Blocks. J. Esthet. Restor. Dent. 2020, 32, 251–256. [Google Scholar] [CrossRef] [PubMed]
- Vidal, M.; Pecho, O.; Collares, K.; Brandeburski, S.; Bona, A.D. Color change of resin-based composites after in vitro bleaching protocols: A systematic review and meta-analysis. Oper. Dent. 2022, 47, 149–162. [Google Scholar] [CrossRef]
- Paravina, R.D.; Ghinea, R.; Herrera, L.J.; Bona, A.D.; Igiel, C.; Linninger, M.; Sakai, M.; Takahashi, H.; Tashkandi, E.; Mar Perez, M.d. Color difference thresholds in dentistry. J. Esthet. Restor. Dent. 2015, 27, S1–S9. [Google Scholar] [CrossRef]
- Paravina, R.D.; Pérez, M.M.; Ghinea, R. Acceptability and perceptibility thresholds in dentistry: A comprehensive review of clinical and research applications. J. Esthet. Restor. Dent. 2019, 31, 103–112. [Google Scholar] [CrossRef]
- Karakaya, İ.; Cengiz, E. Effect of 2 bleaching agents with a content of high concentrated hydrogen peroxide on stained 2 CAD/CAM blocks and a nanohybrid composite resin: An AFM evaluation. BioMed Res. Int. 2017, 2017, 6347145. [Google Scholar] [CrossRef]
- Pérez, M.M.; Herrera, L.J.; Carrillo, F.; Pecho, O.E.; Dudea, D.; Gasparik, C.; Ghinea, R.; Della Bona, A. Whiteness difference thresholds in dentistry. Dent. Mater. 2019, 35, 292–297. [Google Scholar] [CrossRef]
- Esteves, L.M.B.; Dos Santos, P.H.; Fagundes, T.C.; de Oliveira Gallinari, M.; de Mello Antonaccio, G.B.; Cintra, L.T.Â.; Briso, A.L.F. Effect of bleaching gel volume on color change and postoperative sensitivity: A randomized clinical study. Clin. Oral Investig. 2022, 26, 2527–2536. [Google Scholar] [CrossRef]
- Kurt, M.; Bal, B.; Bal, C. Actual methods of color measurement: A systematic review. Turk. Klin. J. Dent. Sci. 2016, 22, 130–146. [Google Scholar] [CrossRef][Green Version]
- Salas, M.; Lucena, C.; Herrera, L.J.; Yebra, A.; Della Bona, A.; Pérez, M.M. Translucency thresholds for dental materials. Dent. Mater. 2018, 34, 1168–1174. [Google Scholar] [CrossRef] [PubMed]
- Al Amri, M.D.; Labban, N.; Alhijji, S.; Alamri, H.; Iskandar, M.; Platt, J.A. In Vitro Evaluation of Translucency and Color Stability of CAD/CAM Polymer-Infiltrated Ceramic Materials after Accelerated Aging. J. Prosthodont. 2021, 30, 318–328. [Google Scholar] [CrossRef] [PubMed]
- Chakravarthy, Y.; Clarence, S. The effect of red wine on colour stability of three different types of esthetic restorative materials: An in vitro study. J. Conserv. Dent. 2018, 21, 319–323. [Google Scholar] [PubMed]
- Miletic, V.; Trifković, B.; Stamenković, D.; Tango, R.N.; Paravina, R.D. Effects of staining and artificial aging on optical properties of gingiva-colored resin-based restorative materials. Clin. Oral Investig. 2022, 1–11. [Google Scholar] [CrossRef]
- Seyidaliyeva, A.; Rues, S.; Evagorou, Z.; Hassel, A.J.; Rammelsberg, P.; Zenthöfer, A. Color stability of polymer-infiltrated-ceramics compared with lithium disilicate ceramics and composite. J. Esthet. Restor. Dent. 2020, 32, 43–50. [Google Scholar] [CrossRef]
- Ardu, S.; Duc, O.; Di Bella, E.; Krejci, I.; Daher, R. Color stability of different composite resins after polishing. Odontology 2018, 106, 328–333. [Google Scholar] [CrossRef]
- Peng, P.-W.; Huang, C.-F.; Hsu, C.-Y.; Chen, A.; Ng, H.-H.; Cheng, M.-S.; Tsay, S.; Lai, J.-Y.; Yang, T.-S.; Lee, W.-F. Color stability and staining susceptibility of direct resin-based composites after light-activated in-office bleaching. Polymers 2021, 13, 2941. [Google Scholar] [CrossRef]
- Kurt, M.; Güngör, M.B.; Nemli, S.K.; Bal, B.T. Effects of glazing methods on the optical and surface properties of silicate ceramics. J. Prosthodont. Res. 2020, 64, 202–209. [Google Scholar] [CrossRef]
- Egilmez, F.; Ergun, G.; Cekic-Nagas, I.; Vallittu, P.K.; Lassila, L.V.J. Comparative color and surface parameters of current esthetic restorative CAD/CAM materials. J. Adv. Prosthodont. 2018, 10, 32–42. [Google Scholar] [CrossRef]
- Kim, H.-K.; Kim, S.-H.; Lee, J.-B.; Han, J.-S.; Yeo, I.-S. Effect of polishing and glazing on the color and spectral distribution of monolithic zirconia. J. Adv. Prosthodont. 2013, 5, 296–304. [Google Scholar] [CrossRef] [PubMed]
- Gouveia, T.H.N.; do Carmo Públio, J.; Ambrosano, G.M.B.; Paulillo, L.A.M.S.; Aguiar, F.H.B.; Lima, D.A.N.L. Effect of at-home bleaching with different thickeners and aging on physical properties of a nanocomposite. Eur. J. Dent. 2016, 10, 082–091. [Google Scholar] [CrossRef] [PubMed]
- Pecho, O.E.; Martos, J.; Pinto, K.V.; Pinto, K.V.; Baldissera, R.A. Effect of hydrogen peroxide on color and whiteness of resin-based composites. J. Esthet. Restor. Dent. 2019, 31, 132–139. [Google Scholar] [CrossRef]
- Johnston, W.M.; Ma, T.; Kienle, B.H. Translucency parameter of colorants for maxillofacial prostheses. Int. J. Prosthodont. 1995, 8, 79–86. [Google Scholar]
- Guler, A.U.; Yilmaz, F.; Kulunk, T.; Guler, E.; Kurt, S. Effects of different drinks on stainability of resin composite provisional restorative materials. J. Prosthet Dent. 2005, 94, 118–124. [Google Scholar] [CrossRef] [PubMed]
- Karaokutan, I.; Yilmaz Savas, T.; Aykent, F.; Ozdere, E. Color stability of CAD/CAM fabricated inlays after accelerated artificial aging. J. Prosthodont. 2016, 25, 472–477. [Google Scholar] [CrossRef] [PubMed]
- Li, Q.; Yu, H.; Wang, Y. Colour and surface analysis of carbamide peroxide bleaching effects on the dental restorative materials in situ. J. Dent. 2009, 37, 348–356. [Google Scholar] [CrossRef]
- Canay, Ş.; Çehreli, M.C. The effect of current bleaching agents on the color of light-polymerized composites in vitro. J. Prosthet. Dent. 2003, 89, 474–478. [Google Scholar] [CrossRef]
- Vidal, M.L.; Pecho, O.E.; Xavier, J.; Della Bona, A. Influence of the photoactivation distance on the color and whiteness stability of resin-based composite after bleaching and aging. J. Dent. 2020, 99, 103408. [Google Scholar] [CrossRef]
- Rattacaso, R.M.B.; Garcia, L.d.F.R.; Aguilar, F.G.; Consani, S.; Pires-de, F.d.C.P. Bleaching agent action on color stability, surface roughness and microhardness of composites submitted to accelerated artificial aging. Eur. J. Dent. 2011, 5, 143–149. [Google Scholar] [CrossRef]
- del Mar Pérez, M.; Ghinea, R.; Rivas, M.J.; Yebra, A.; Ionescu, A.M.; Paravina, R.D.; Herrera, L.J. Development of a customized whiteness index for dentistry based on CIELAB color space. Dent. Mater. 2016, 32, 461–467. [Google Scholar] [CrossRef] [PubMed]
- Pérez, M.M.; Pecho, O.E.; Ghinea, R.; Pulgar, R.; Della Bona, A. Recent advances in color and whiteness evaluations in dentistry. Curr. Dent. 2019, 1, 23–29. [Google Scholar] [CrossRef]





| Material | Code | Type | Shade | Manufacturer | Composition and Structure | Batch |
|---|---|---|---|---|---|---|
| CAD-CAM blocks | ||||||
| Vita Enamic | VE | polymer-infiltrated ceramics | 3M2-H2 | Vita Zahnfabrik; Bad Sackingen, Germany | 86 wt% feldsparthic-based ceramic (SiO2, Al2O3), 14% acrylate polymer (UDMA, TEGDMA) | 54,073 |
| Celtra Duo | CD | zirconia-reinforced lithium silicate | A3-LT | Dentsply Sirona, Bensheim, Germany | 58 wt% SiO2,18 wt% LiO, 10.1 wt% ZrO2, 5 wt% Phosphorus pentoxide, 1.9 wt% Al2O3, etc. | 18,018,969 |
| Ceresmart | CE | polymer-based composite | A3-HT | GC Dental ProducTS; Europe, Leuven, Belgium | 80 wt% nanoceramic fillers (SiO2 and barium glass), 20 wt% Acrylate polymer (Bis-MEPP, UDMA, DMA) | 1,611,281 |
| Bleaching agent | ||||||
| Flash Take Home | at-home | Home bleaching agent | Whitesmile GmbH, Germany | 16% carbamide peroxide, 5.6% hydrogen peroxide | 1,903,017 | |
| Power Whitening | in-office | In-office bleaching agent | Whitesmile GmbH, Germany | 40% carbamide peroxide, 32% hydrogen peroxide | 1,903,017 | |
| Staining solution | ||||||
| Red wine | Cabernet Sauvignon | Casillero del Diablo, Chile | 2020 | |||
| Value | Effect | Type III Sum of Squares | df | Mean Square | F | p Value |
|---|---|---|---|---|---|---|
| ΔE00 | Bleaching | 3.596 | 1 | 3.596 | 80.928 | 0.000 |
| Materials | 5.134 | 2 | 2.567 | 57.773 | 0.000 | |
| Bleaching × Materials | 1.801 | 2 | 0.901 | 20.270 | 0.000 | |
| ΔTP00 | Bleaching | 3.690 | 1 | 3.690 | 16.228 | 0.003 |
| Materials | 1.599 | 2 | 0.799 | 3.515 | 0.000 | |
| Bleaching × Materials | 0.906 | 2 | 0.453 | 1.991 | 0.001 | |
| ΔWID | Bleaching | 2.884 | 1 | 2.884 | 9.909 | 0.006 |
| Materials | 5.866 | 2 | 2.933 | 10.076 | 0.001 | |
| Bleaching × Materials | 1.293 | 2 | 0.646 | 2.220 | 0.137 |
Publisher’s Note: MDPI stays neutral with regard to jurisdictional claims in published maps and institutional affiliations. |
© 2022 by the authors. Licensee MDPI, Basel, Switzerland. This article is an open access article distributed under the terms and conditions of the Creative Commons Attribution (CC BY) license (https://creativecommons.org/licenses/by/4.0/).
Share and Cite
Lee, W.-F.; Takahashi, H.; Huang, S.-Y.; Zhang, J.-Z.; Teng, N.-C.; Peng, P.-W. Effects of At-Home and In-Office Bleaching Agents on the Color Recovery of Esthetic CAD-CAM Restorations after Red Wine Immersion. Polymers 2022, 14, 3891. https://doi.org/10.3390/polym14183891
Lee W-F, Takahashi H, Huang S-Y, Zhang J-Z, Teng N-C, Peng P-W. Effects of At-Home and In-Office Bleaching Agents on the Color Recovery of Esthetic CAD-CAM Restorations after Red Wine Immersion. Polymers. 2022; 14(18):3891. https://doi.org/10.3390/polym14183891
Chicago/Turabian StyleLee, Wei-Fang, Hidekazu Takahashi, Shiun-Yi Huang, Jia-Zhen Zhang, Nai-Chia Teng, and Pei-Wen Peng. 2022. "Effects of At-Home and In-Office Bleaching Agents on the Color Recovery of Esthetic CAD-CAM Restorations after Red Wine Immersion" Polymers 14, no. 18: 3891. https://doi.org/10.3390/polym14183891
APA StyleLee, W.-F., Takahashi, H., Huang, S.-Y., Zhang, J.-Z., Teng, N.-C., & Peng, P.-W. (2022). Effects of At-Home and In-Office Bleaching Agents on the Color Recovery of Esthetic CAD-CAM Restorations after Red Wine Immersion. Polymers, 14(18), 3891. https://doi.org/10.3390/polym14183891

